Long-term retrieval performance is associated with CA1 hippocampal volume in older adults and individuals at risk for dementia.

IF 7.6 1区 医学 Q1 CLINICAL NEUROLOGY
Claudia Bartels, Joy Tzu-Yueh Chen, Michael Belz, Renat Yakupov, Emrah Düzel, Wenzel Glanz, Falk Lüsebrink, Peter Dechent, Luca Kleineidam, Melina Stark, Annika Spottke, Marie Coenjaerts, Klaus Fließbach, Anja Schneider, Ayda Rostamzadeh, Frank Jessen, Björn H Schott, Jens Wiltfang, Ingo Frommann, Michael Wagner, Roberto Goya-Maldonado
{"title":"Long-term retrieval performance is associated with CA1 hippocampal volume in older adults and individuals at risk for dementia.","authors":"Claudia Bartels, Joy Tzu-Yueh Chen, Michael Belz, Renat Yakupov, Emrah Düzel, Wenzel Glanz, Falk Lüsebrink, Peter Dechent, Luca Kleineidam, Melina Stark, Annika Spottke, Marie Coenjaerts, Klaus Fließbach, Anja Schneider, Ayda Rostamzadeh, Frank Jessen, Björn H Schott, Jens Wiltfang, Ingo Frommann, Michael Wagner, Roberto Goya-Maldonado","doi":"10.1186/s13195-025-01833-4","DOIUrl":null,"url":null,"abstract":"<p><strong>Background: </strong>Long-term retrieval (LTR) and accelerated long-term forgetting (ALF) paradigms might help differentiating individuals at increased dementia risk from healthy controls (HC).</p><p><strong>Objective: </strong>We investigated the utility of a LTR paradigm in discriminating subjective cognitive decline (SCD) from HC and its relationship to the CA1 body volume, a hippocampal structure pivotal to the memory circuitry.</p><p><strong>Methods: </strong>LTR was assessed via recall rates of the ADAS-cog word list and the FCSRT-IR free recall in 59 DELCODE study participants, including individuals with SCD and mild cognitive impairment (MCI), as well as HC, all of them DELCODE study participants. LTR performance was compared between groups and its discriminability between SCD and HC was assessed using ROC curve analysis. 32 SCD and HC participants had FreeSurfer-segmented MRI data, and hippocampal subfield volumes were correlated with LTR rates.</p><p><strong>Results: </strong>Only FCSRT-IR LTR rates sufficiently differentiated SCD from HC (AUC of 0.701; 95% CI 0.537-0.865). Moderate associations of the FCSRT-IR LTR rate with CA1 bodies in both hemispheres (left CA1 body r = 0.419, p = 0.017; right: r = 0.412, p = 0.019), in addition to the left C3 body were observed (r = 0.525, p = 0.002).</p><p><strong>Conclusions: </strong>LTR may constitute a potential indicator of memory circuitry integrity in older adults, which is also mirrored by its association with CA1 volume. Thus, assessment of LTR and associated neural circuits may help to better identify individuals at risk for future cognitive decline today indistinguishable from HC, ultimately paving the way for early intervention.</p>","PeriodicalId":7516,"journal":{"name":"Alzheimer's Research & Therapy","volume":"17 1","pages":"195"},"PeriodicalIF":7.6000,"publicationDate":"2025-08-22","publicationTypes":"Journal Article","fieldsOfStudy":null,"isOpenAccess":false,"openAccessPdf":"https://www.ncbi.nlm.nih.gov/pmc/articles/PMC12372344/pdf/","citationCount":"0","resultStr":null,"platform":"Semanticscholar","paperid":null,"PeriodicalName":"Alzheimer's Research & Therapy","FirstCategoryId":"3","ListUrlMain":"https://doi.org/10.1186/s13195-025-01833-4","RegionNum":1,"RegionCategory":"医学","ArticlePicture":[],"TitleCN":null,"AbstractTextCN":null,"PMCID":null,"EPubDate":"","PubModel":"","JCR":"Q1","JCRName":"CLINICAL NEUROLOGY","Score":null,"Total":0}
引用次数: 0

Abstract

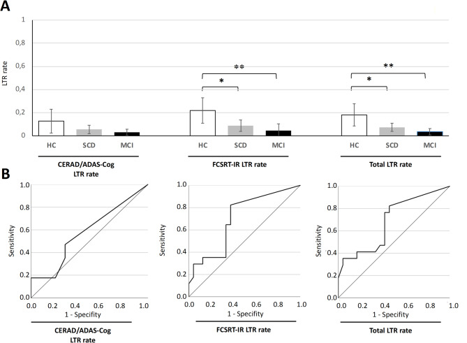
Background: Long-term retrieval (LTR) and accelerated long-term forgetting (ALF) paradigms might help differentiating individuals at increased dementia risk from healthy controls (HC).

Objective: We investigated the utility of a LTR paradigm in discriminating subjective cognitive decline (SCD) from HC and its relationship to the CA1 body volume, a hippocampal structure pivotal to the memory circuitry.

Methods: LTR was assessed via recall rates of the ADAS-cog word list and the FCSRT-IR free recall in 59 DELCODE study participants, including individuals with SCD and mild cognitive impairment (MCI), as well as HC, all of them DELCODE study participants. LTR performance was compared between groups and its discriminability between SCD and HC was assessed using ROC curve analysis. 32 SCD and HC participants had FreeSurfer-segmented MRI data, and hippocampal subfield volumes were correlated with LTR rates.

Results: Only FCSRT-IR LTR rates sufficiently differentiated SCD from HC (AUC of 0.701; 95% CI 0.537-0.865). Moderate associations of the FCSRT-IR LTR rate with CA1 bodies in both hemispheres (left CA1 body r = 0.419, p = 0.017; right: r = 0.412, p = 0.019), in addition to the left C3 body were observed (r = 0.525, p = 0.002).

Conclusions: LTR may constitute a potential indicator of memory circuitry integrity in older adults, which is also mirrored by its association with CA1 volume. Thus, assessment of LTR and associated neural circuits may help to better identify individuals at risk for future cognitive decline today indistinguishable from HC, ultimately paving the way for early intervention.

Abstract Image

Abstract Image

Abstract Image

在老年人和有痴呆风险的个体中,长期检索能力与CA1海马体积有关。
背景:长期检索(LTR)和加速长期遗忘(ALF)范式可能有助于区分痴呆风险增加的个体和健康对照(HC)。目的:研究LTR范式在区分主观认知衰退(SCD)和HC中的作用及其与CA1体体积的关系,CA1体体积是记忆回路的关键海马结构。方法:采用ADAS-cog单词表回忆率和FCSRT-IR自由回忆率对59名DELCODE研究参与者进行LTR评估,这些参与者包括SCD、轻度认知障碍(MCI)和HC患者。比较各组间的LTR表现,并采用ROC曲线分析评估SCD与HC之间的可辨性。32名SCD和HC参与者有freesurfer分割的MRI数据,海马子区体积与LTR率相关。结果:只有FCSRT-IR LTR率能够充分区分SCD和HC (AUC为0.701;95% CI为0.537-0.865)。FCSRT-IR LTR率与两脑CA1小体(左CA1小体r = 0.419, p = 0.017;右CA1小体r = 0.412, p = 0.019)以及左C3小体均有中度相关性(r = 0.525, p = 0.002)。结论:LTR可能是老年人记忆回路完整性的一个潜在指标,这也反映在它与CA1体积的关联上。因此,对LTR和相关神经回路的评估可能有助于更好地识别有未来认知能力下降风险的个体,今天与HC难以区分,最终为早期干预铺平道路。
本文章由计算机程序翻译,如有差异,请以英文原文为准。
求助全文
约1分钟内获得全文 求助全文
来源期刊
Alzheimer's Research & Therapy
Alzheimer's Research & Therapy 医学-神经病学
CiteScore
13.10
自引率
3.30%
发文量
172
审稿时长
>12 weeks
期刊介绍: Alzheimer's Research & Therapy is an international peer-reviewed journal that focuses on translational research into Alzheimer's disease and other neurodegenerative diseases. It publishes open-access basic research, clinical trials, drug discovery and development studies, and epidemiologic studies. The journal also includes reviews, viewpoints, commentaries, debates, and reports. All articles published in Alzheimer's Research & Therapy are included in several reputable databases such as CAS, Current contents, DOAJ, Embase, Journal Citation Reports/Science Edition, MEDLINE, PubMed, PubMed Central, Science Citation Index Expanded (Web of Science) and Scopus.
×
引用
GB/T 7714-2015
复制
MLA
复制
APA
复制
导出至
BibTeX EndNote RefMan NoteFirst NoteExpress
×
提示
您的信息不完整,为了账户安全,请先补充。
现在去补充
×
提示
您因"违规操作"
具体请查看互助需知
我知道了
×
提示
确定
请完成安全验证×
copy
已复制链接
快去分享给好友吧!
我知道了
右上角分享
点击右上角分享
0
联系我们:info@booksci.cn Book学术提供免费学术资源搜索服务,方便国内外学者检索中英文文献。致力于提供最便捷和优质的服务体验。 Copyright © 2023 布克学术 All rights reserved.
京ICP备2023020795号-1
ghs 京公网安备 11010802042870号
Book学术文献互助
Book学术文献互助群
群 号:604180095
Book学术官方微信