Synthesis, in-vitro, in-silico, and global DNA methylation studies of curcumin-benzoquinone analog in triple-negative breast cancer (TNBC) cells.

IF 2.1 4区 医学 Q3 TOXICOLOGY
Toxicology Research Pub Date : 2025-08-20 eCollection Date: 2025-08-01 DOI:10.1093/toxres/tfaf128
Başak Günçer, Funda Özkök, Ebru Hacıosmanoğlu Aldoğan, Yasemin Oyacı, Esra Nazlıgül, Bilge Özerman Edis, Sama Akbarzadeh, Nihal Onul, Atilla Akdemir, Vildan Enisoğlu Atalay, Sacide Pehlivan
{"title":"Synthesis, in-vitro, <i>in-silico</i>, and global DNA methylation studies of curcumin-benzoquinone analog in triple-negative breast cancer (TNBC) cells.","authors":"Başak Günçer, Funda Özkök, Ebru Hacıosmanoğlu Aldoğan, Yasemin Oyacı, Esra Nazlıgül, Bilge Özerman Edis, Sama Akbarzadeh, Nihal Onul, Atilla Akdemir, Vildan Enisoğlu Atalay, Sacide Pehlivan","doi":"10.1093/toxres/tfaf128","DOIUrl":null,"url":null,"abstract":"<p><p>Curcumin is a well-known anticancer agent used for many malignancies; however, its low bioavailability and solubility limit its use in clinical applications. To enhance its efficacy, we synthesized a novel curcumin-benzoquinone analog, JWB1 (3), and evaluated its anticancer potential against triple-negative breast cancer (TNBC) in vitro. We designed JWB1 (3) and structurally identified it using NMR, FTIR, MS, and UV-Vis techniques. The MTT assay was used to evaluate JWB1 (3) cytotoxicity in the MDA-MB-231, MCF-7, and HUVEC cell lines. Flow cytometry was used to examine apoptotic activation and reactive oxygen species (ROS) levels. Global DNA methylation was measured using an ELISA kit. Docking studies and molecular dynamics simulations revealed potential JWB1 (3) interactions with double-stranded DNA (dsDNA). JWB1 (3) showed selective cytotoxicity towards MDA-MB-231 cells (IC<sub>50</sub>: 2.94 μg/mL, SI: 23.5 in 24 h), with minimal effects on HUVECs. Treatment with 10 μg/mL JWB1 (3) increased global DNA methylation levels in MDA-MB-231 cells (from 0.87% to 1.92%) more than in MCF-7 cells. The apoptosis assay showed that JWB1 (3) significantly induced MDA-MB-231 cells in the early apoptosis phase (early apoptosis: 45.65% vs. 2.95% in the controls). Furthermore, post-treatment, cancer cells showed a notable decrease in ROS levels. Supported by 100 ns molecular dynamics simulation, molecular docking investigations also showed a stable 3D structure and intercalation of JWB1 (3) with DNA. These findings imply that JWB1 (3) has notable anticancer potential against TNBC by inducing apoptosis, epigenetic modification, and DNA interaction.</p>","PeriodicalId":105,"journal":{"name":"Toxicology Research","volume":"14 4","pages":"tfaf128"},"PeriodicalIF":2.1000,"publicationDate":"2025-08-20","publicationTypes":"Journal Article","fieldsOfStudy":null,"isOpenAccess":false,"openAccessPdf":"https://www.ncbi.nlm.nih.gov/pmc/articles/PMC12365976/pdf/","citationCount":"0","resultStr":null,"platform":"Semanticscholar","paperid":null,"PeriodicalName":"Toxicology Research","FirstCategoryId":"3","ListUrlMain":"https://doi.org/10.1093/toxres/tfaf128","RegionNum":4,"RegionCategory":"医学","ArticlePicture":[],"TitleCN":null,"AbstractTextCN":null,"PMCID":null,"EPubDate":"2025/8/1 0:00:00","PubModel":"eCollection","JCR":"Q3","JCRName":"TOXICOLOGY","Score":null,"Total":0}
引用次数: 0

Abstract

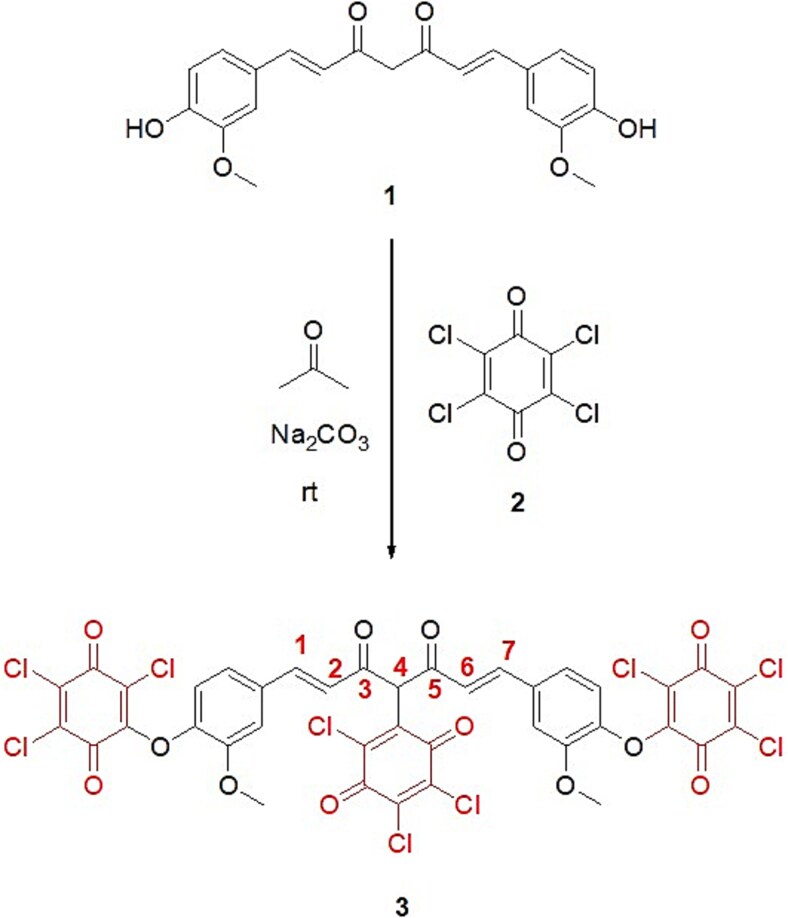
Curcumin is a well-known anticancer agent used for many malignancies; however, its low bioavailability and solubility limit its use in clinical applications. To enhance its efficacy, we synthesized a novel curcumin-benzoquinone analog, JWB1 (3), and evaluated its anticancer potential against triple-negative breast cancer (TNBC) in vitro. We designed JWB1 (3) and structurally identified it using NMR, FTIR, MS, and UV-Vis techniques. The MTT assay was used to evaluate JWB1 (3) cytotoxicity in the MDA-MB-231, MCF-7, and HUVEC cell lines. Flow cytometry was used to examine apoptotic activation and reactive oxygen species (ROS) levels. Global DNA methylation was measured using an ELISA kit. Docking studies and molecular dynamics simulations revealed potential JWB1 (3) interactions with double-stranded DNA (dsDNA). JWB1 (3) showed selective cytotoxicity towards MDA-MB-231 cells (IC50: 2.94 μg/mL, SI: 23.5 in 24 h), with minimal effects on HUVECs. Treatment with 10 μg/mL JWB1 (3) increased global DNA methylation levels in MDA-MB-231 cells (from 0.87% to 1.92%) more than in MCF-7 cells. The apoptosis assay showed that JWB1 (3) significantly induced MDA-MB-231 cells in the early apoptosis phase (early apoptosis: 45.65% vs. 2.95% in the controls). Furthermore, post-treatment, cancer cells showed a notable decrease in ROS levels. Supported by 100 ns molecular dynamics simulation, molecular docking investigations also showed a stable 3D structure and intercalation of JWB1 (3) with DNA. These findings imply that JWB1 (3) has notable anticancer potential against TNBC by inducing apoptosis, epigenetic modification, and DNA interaction.

Abstract Image

Abstract Image

Abstract Image

姜黄素-苯醌类似物在三阴性乳腺癌(TNBC)细胞中的合成、体外、硅内和整体DNA甲基化研究
姜黄素是一种众所周知的抗癌药物,用于治疗许多恶性肿瘤;然而,其低生物利用度和溶解度限制了其临床应用。为了提高其疗效,我们合成了一种新的姜黄素-苯醌类似物JWB1(3),并在体外评估了其对三阴性乳腺癌(TNBC)的抗癌潜力。我们设计了JWB1(3),并使用NMR、FTIR、MS和UV-Vis技术对其进行了结构鉴定。采用MTT法评价JWB1(3)对MDA-MB-231、MCF-7和HUVEC细胞系的细胞毒性。流式细胞术检测细胞凋亡激活和活性氧(ROS)水平。采用ELISA试剂盒检测整体DNA甲基化。对接研究和分子动力学模拟揭示了JWB1(3)与双链DNA (dsDNA)的潜在相互作用。JWB1(3)对MDA-MB-231细胞表现出选择性细胞毒性(24 h内IC50: 2.94 μg/mL, SI: 23.5),对HUVECs的作用最小。10 μg/mL JWB1(3)处理使MDA-MB-231细胞的整体DNA甲基化水平比MCF-7细胞增加(从0.87%增加到1.92%)。凋亡实验显示,JWB1(3)显著诱导MDA-MB-231细胞处于早期凋亡阶段(早期凋亡率为45.65%,对照组为2.95%)。此外,治疗后,癌细胞的ROS水平明显下降。在100 ns分子动力学模拟的支持下,分子对接研究也表明JWB1(3)具有稳定的三维结构和与DNA的嵌入。这些发现表明JWB1(3)通过诱导细胞凋亡、表观遗传修饰和DNA相互作用,对TNBC具有显著的抗癌潜力。
本文章由计算机程序翻译,如有差异,请以英文原文为准。
求助全文
约1分钟内获得全文 求助全文
来源期刊
Toxicology Research
Toxicology Research TOXICOLOGY-
CiteScore
3.60
自引率
0.00%
发文量
82
期刊介绍: A multi-disciplinary journal covering the best research in both fundamental and applied aspects of toxicology
×
引用
GB/T 7714-2015
复制
MLA
复制
APA
复制
导出至
BibTeX EndNote RefMan NoteFirst NoteExpress
×
提示
您的信息不完整,为了账户安全,请先补充。
现在去补充
×
提示
您因"违规操作"
具体请查看互助需知
我知道了
×
提示
确定
请完成安全验证×
copy
已复制链接
快去分享给好友吧!
我知道了
右上角分享
点击右上角分享
0
联系我们:info@booksci.cn Book学术提供免费学术资源搜索服务,方便国内外学者检索中英文文献。致力于提供最便捷和优质的服务体验。 Copyright © 2023 布克学术 All rights reserved.
京ICP备2023020795号-1
ghs 京公网安备 11010802042870号
Book学术文献互助
Book学术文献互助群
群 号:604180095
Book学术官方微信