Gauge Gravitation Theory in Riemann–Cartan Space-Time and the Nonsingular Universe

IF 1 4区 物理与天体物理 Q3 ASTRONOMY & ASTROPHYSICS
A. V. Minkevich
{"title":"Gauge Gravitation Theory in Riemann–Cartan Space-Time and the Nonsingular Universe","authors":"A. V. Minkevich","doi":"10.1134/S0202289325700215","DOIUrl":null,"url":null,"abstract":"<p>The gauge gravitation theory in the Riemann–Cartan space-time is investigated in order to solve the fundamental problems of the general relativity theory. The constraints on indefinite parameters of the theory, under which the solutions of isotropic cosmology describe a nonsingular accelerating Universe, are given. Numerical solutions of cosmological equations are obtained near the limiting energy density at a transition from gravitational compression to expansion, in dependence on the energy density, in the case of flat, closed and open models. Some physical and astrophysical consequences of the gauge gravitational theory in Riemann–Cartan space-time are discussed.</p>","PeriodicalId":583,"journal":{"name":"Gravitation and Cosmology","volume":"31 3","pages":"336 - 343"},"PeriodicalIF":1.0000,"publicationDate":"2025-09-04","publicationTypes":"Journal Article","fieldsOfStudy":null,"isOpenAccess":false,"openAccessPdf":"","citationCount":"0","resultStr":null,"platform":"Semanticscholar","paperid":null,"PeriodicalName":"Gravitation and Cosmology","FirstCategoryId":"4","ListUrlMain":"https://link.springer.com/article/10.1134/S0202289325700215","RegionNum":4,"RegionCategory":"物理与天体物理","ArticlePicture":[],"TitleCN":null,"AbstractTextCN":null,"PMCID":null,"EPubDate":"","PubModel":"","JCR":"Q3","JCRName":"ASTRONOMY & ASTROPHYSICS","Score":null,"Total":0}
引用次数: 0

Abstract

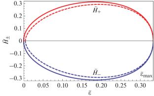
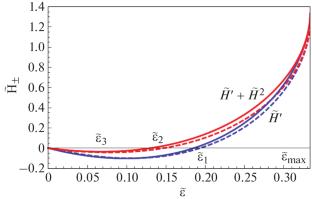
The gauge gravitation theory in the Riemann–Cartan space-time is investigated in order to solve the fundamental problems of the general relativity theory. The constraints on indefinite parameters of the theory, under which the solutions of isotropic cosmology describe a nonsingular accelerating Universe, are given. Numerical solutions of cosmological equations are obtained near the limiting energy density at a transition from gravitational compression to expansion, in dependence on the energy density, in the case of flat, closed and open models. Some physical and astrophysical consequences of the gauge gravitational theory in Riemann–Cartan space-time are discussed.

Abstract Image

Abstract Image

黎曼-卡坦时空和非奇异宇宙中的规范引力理论
为了解决广义相对论的基本问题,研究了黎曼-卡尔坦时空中的规范引力理论。给出了各向同性宇宙学解描述非奇异加速宇宙的理论的不定参数约束。在平面模型、封闭模型和开放模型的情况下,得到了从引力压缩到膨胀过渡的极限能量密度附近的宇宙学方程的数值解,并与能量密度有关。讨论了规范引力理论在黎曼-卡尔坦时空中的一些物理和天体物理结果。
本文章由计算机程序翻译,如有差异,请以英文原文为准。
求助全文
约1分钟内获得全文 求助全文
来源期刊
Gravitation and Cosmology
Gravitation and Cosmology ASTRONOMY & ASTROPHYSICS-
CiteScore
1.70
自引率
22.20%
发文量
31
审稿时长
>12 weeks
期刊介绍: Gravitation and Cosmology is a peer-reviewed periodical, dealing with the full range of topics of gravitational physics and relativistic cosmology and published under the auspices of the Russian Gravitation Society and Peoples’ Friendship University of Russia. The journal publishes research papers, review articles and brief communications on the following fields: theoretical (classical and quantum) gravitation; relativistic astrophysics and cosmology, exact solutions and modern mathematical methods in gravitation and cosmology, including Lie groups, geometry and topology; unification theories including gravitation; fundamental physical constants and their possible variations; fundamental gravity experiments on Earth and in space; related topics. It also publishes selected old papers which have not lost their topicality but were previously published only in Russian and were not available to the worldwide research community
×
引用
GB/T 7714-2015
复制
MLA
复制
APA
复制
导出至
BibTeX EndNote RefMan NoteFirst NoteExpress
×
提示
您的信息不完整,为了账户安全,请先补充。
现在去补充
×
提示
您因"违规操作"
具体请查看互助需知
我知道了
×
提示
确定
请完成安全验证×
copy
已复制链接
快去分享给好友吧!
我知道了
右上角分享
点击右上角分享
0
联系我们:info@booksci.cn Book学术提供免费学术资源搜索服务,方便国内外学者检索中英文文献。致力于提供最便捷和优质的服务体验。 Copyright © 2023 布克学术 All rights reserved.
京ICP备2023020795号-1
ghs 京公网安备 11010802042870号
Book学术文献互助
Book学术文献互助群
群 号:604180095
Book学术官方微信