Alectinib Efficacy Post-Brigatinib Against Advanced ALK+ Non-Small Cell Lung Cancer (BrigALK2-GFPC 02-2019 Study).

IF 3.3 Q1 ONCOLOGY
Lung Cancer: Targets and Therapy Pub Date : 2025-08-12 eCollection Date: 2025-01-01 DOI:10.2147/LCTT.S522038
Renaud Descourt, Florian Guisier, Maurice Pérol, Jacques Cadranel, Helene Doubre, Michael Duruisseaux, Stéphane Culine, Bertrand Mennecier, Olivier Bylicki, Christos Chouaid, Laurent Greillier
{"title":"Alectinib Efficacy Post-Brigatinib Against Advanced <i>ALK</i>+ Non-Small Cell Lung Cancer (BrigALK2-GFPC 02-2019 Study).","authors":"Renaud Descourt, Florian Guisier, Maurice Pérol, Jacques Cadranel, Helene Doubre, Michael Duruisseaux, Stéphane Culine, Bertrand Mennecier, Olivier Bylicki, Christos Chouaid, Laurent Greillier","doi":"10.2147/LCTT.S522038","DOIUrl":null,"url":null,"abstract":"<p><strong>Background: </strong>Brigatinib and alectinib are next-generation anaplastic lymphoma kinase inhibitors (ALKis) showing efficacy against naïve and post-crizotinib-treated advanced <i>ALK</i>+ non-small-cell lung cancers (NSCLCs). Real-world data on alectinib efficacy after brigatinib failure are lacking.</p><p><strong>Methods: </strong>Alectinib efficacy was retrospectively assessed in patients previously treated with brigatinib during an early-access program (EAP) from 1 August 2016 to 21 January 2019. The primary endpoint was alectinib median progression-free survival (mPFS) according to local investigators.</p><p><strong>Results: </strong>Among the 183 patients included in the brigatinib EAP, 92 (50.3%) received ≥1 agent(s) post-brigatinib; 30 (16.4%) received alectinib, 19 (10.4%) immediately post-brigatinib; 11 (6%) after ≥1 other treatment line(s). With median follow-up at 25.5 (95% CI: 10.6-30.5) months, mPFS on brigatinib for the study population (n = 30) was 13.6 (95% CI: 6.3-17.7) months. For patients given alectinib immediately post-brigatinib, mPFS and median overall survival (mOS) were 4.8 (95% CI: 2.0-12.5) and 27 (95% CI: 12.5-not reached (NR)) months, respectively. In this subgroup, brigatinib was discontinued for toxicity or progression for 5/19 (26%) or 14/19 (74%) patients, with mPFS lasting 12.5 (95% CI: 3.3-17.9 and 3.4 (95% CI: 0.9-9.2) months, respectively. For patients receiving ≥1 agent(s) between brigatinib and alectinib, with median follow-up at 13.3 (95% CI: 2.3-31.5) months, mPFS and mOS were 5.0 (95% CI: 0.5-18.8) and 19 (95% CI: 2.3-NR) months, respectively.</p><p><strong>Conclusion: </strong>According to the results of this retrospective real-world study, alectinib post-brigatinib showed limited overall activity but remains an option for patients with advanced <i>ALK</i>+ NSCLCs, especially when brigatinib was discontinued because of toxicity.</p>","PeriodicalId":18066,"journal":{"name":"Lung Cancer: Targets and Therapy","volume":"16 ","pages":"107-114"},"PeriodicalIF":3.3000,"publicationDate":"2025-08-12","publicationTypes":"Journal Article","fieldsOfStudy":null,"isOpenAccess":false,"openAccessPdf":"https://www.ncbi.nlm.nih.gov/pmc/articles/PMC12357567/pdf/","citationCount":"0","resultStr":null,"platform":"Semanticscholar","paperid":null,"PeriodicalName":"Lung Cancer: Targets and Therapy","FirstCategoryId":"1085","ListUrlMain":"https://doi.org/10.2147/LCTT.S522038","RegionNum":0,"RegionCategory":null,"ArticlePicture":[],"TitleCN":null,"AbstractTextCN":null,"PMCID":null,"EPubDate":"2025/1/1 0:00:00","PubModel":"eCollection","JCR":"Q1","JCRName":"ONCOLOGY","Score":null,"Total":0}
引用次数: 0

Abstract

Background: Brigatinib and alectinib are next-generation anaplastic lymphoma kinase inhibitors (ALKis) showing efficacy against naïve and post-crizotinib-treated advanced ALK+ non-small-cell lung cancers (NSCLCs). Real-world data on alectinib efficacy after brigatinib failure are lacking.

Methods: Alectinib efficacy was retrospectively assessed in patients previously treated with brigatinib during an early-access program (EAP) from 1 August 2016 to 21 January 2019. The primary endpoint was alectinib median progression-free survival (mPFS) according to local investigators.

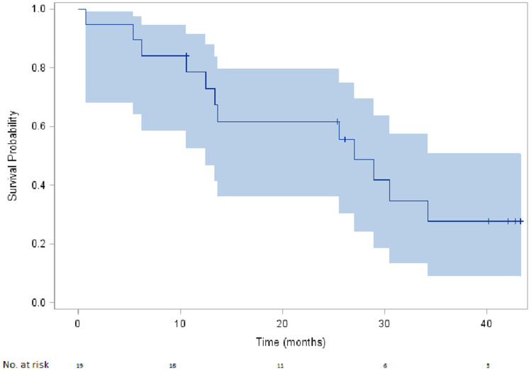
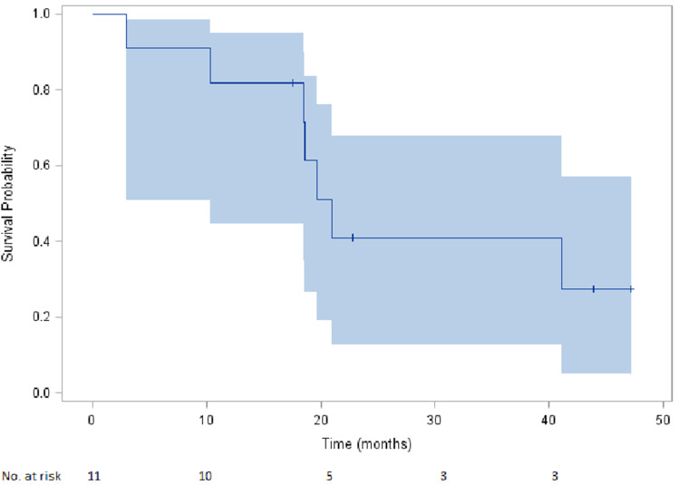
Results: Among the 183 patients included in the brigatinib EAP, 92 (50.3%) received ≥1 agent(s) post-brigatinib; 30 (16.4%) received alectinib, 19 (10.4%) immediately post-brigatinib; 11 (6%) after ≥1 other treatment line(s). With median follow-up at 25.5 (95% CI: 10.6-30.5) months, mPFS on brigatinib for the study population (n = 30) was 13.6 (95% CI: 6.3-17.7) months. For patients given alectinib immediately post-brigatinib, mPFS and median overall survival (mOS) were 4.8 (95% CI: 2.0-12.5) and 27 (95% CI: 12.5-not reached (NR)) months, respectively. In this subgroup, brigatinib was discontinued for toxicity or progression for 5/19 (26%) or 14/19 (74%) patients, with mPFS lasting 12.5 (95% CI: 3.3-17.9 and 3.4 (95% CI: 0.9-9.2) months, respectively. For patients receiving ≥1 agent(s) between brigatinib and alectinib, with median follow-up at 13.3 (95% CI: 2.3-31.5) months, mPFS and mOS were 5.0 (95% CI: 0.5-18.8) and 19 (95% CI: 2.3-NR) months, respectively.

Conclusion: According to the results of this retrospective real-world study, alectinib post-brigatinib showed limited overall activity but remains an option for patients with advanced ALK+ NSCLCs, especially when brigatinib was discontinued because of toxicity.

Abstract Image

Abstract Image

Abstract Image

Alectinib Post-Brigatinib对晚期ALK+非小细胞肺癌的疗效(BrigALK2-GFPC 02-2019研究)。
背景:布里加替尼和阿勒替尼是下一代间变性淋巴瘤激酶抑制剂(ALKis),对naïve和克唑替尼治疗后的晚期ALK+非小细胞肺癌(nsclc)有疗效。缺乏布加替尼失效后alectinib疗效的实际数据。方法:回顾性评估2016年8月1日至2019年1月21日早期准入计划(EAP)期间曾接受布加替尼治疗的患者的阿勒替尼疗效。根据当地调查人员的数据,主要终点是阿勒替尼的中位无进展生存期(mPFS)。结果:在布加替尼EAP纳入的183例患者中,92例(50.3%)在布加替尼治疗后接受了≥1种药物治疗;30人(16.4%)接受了阿勒替尼治疗,19人(10.4%)在布加替尼治疗后立即接受了治疗;≥1条其他治疗线后11例(6%)。中位随访时间为25.5个月(95% CI: 10.6-30.5),研究人群(n = 30)布加替尼的mPFS为13.6个月(95% CI: 6.3-17.7)。对于布加替尼后立即给予阿勒替尼的患者,mPFS和中位总生存期(mOS)分别为4.8个月(95% CI: 2.0-12.5)和27个月(95% CI: 12.5-未达到(NR))。在该亚组中,5/19(26%)或14/19(74%)患者因毒性或进展而停用布加替尼,mPFS分别持续12.5个月(95% CI: 3.3-17.9)和3.4个月(95% CI: 0.9-9.2)。对于布加替尼和阿勒替尼之间接受≥1种药物治疗的患者,中位随访时间为13.3个月(95% CI: 2.3-31.5), mPFS和mOS分别为5.0个月(95% CI: 0.5-18.8)和19个月(95% CI: 2.3-NR)。结论:根据这项回顾性现实世界研究的结果,布加替尼后的阿勒替尼显示出有限的总体活性,但对于晚期ALK+ nsclc患者仍然是一种选择,特别是当布加替尼因毒性而停用时。
本文章由计算机程序翻译,如有差异,请以英文原文为准。
求助全文
约1分钟内获得全文 求助全文
来源期刊
CiteScore
8.10
自引率
0.00%
发文量
10
审稿时长
16 weeks
×
引用
GB/T 7714-2015
复制
MLA
复制
APA
复制
导出至
BibTeX EndNote RefMan NoteFirst NoteExpress
×
提示
您的信息不完整,为了账户安全,请先补充。
现在去补充
×
提示
您因"违规操作"
具体请查看互助需知
我知道了
×
提示
确定
请完成安全验证×
copy
已复制链接
快去分享给好友吧!
我知道了
右上角分享
点击右上角分享
0
联系我们:info@booksci.cn Book学术提供免费学术资源搜索服务,方便国内外学者检索中英文文献。致力于提供最便捷和优质的服务体验。 Copyright © 2023 布克学术 All rights reserved.
京ICP备2023020795号-1
ghs 京公网安备 11010802042870号
Book学术文献互助
Book学术文献互助群
群 号:604180095
Book学术官方微信