Risk factors for mortality in Finnish bronchiectasis patients: A four-year study.

IF 2.3 3区 医学 Q2 RESPIRATORY SYSTEM
Chronic Respiratory Disease Pub Date : 2025-01-01 Epub Date: 2025-08-17 DOI:10.1177/14799731251358596
Jarkko Mäntylä, Witold Mazur, Tanja Törölä, Paula Reiterä, Paula Kauppi
{"title":"Risk factors for mortality in Finnish bronchiectasis patients: A four-year study.","authors":"Jarkko Mäntylä, Witold Mazur, Tanja Törölä, Paula Reiterä, Paula Kauppi","doi":"10.1177/14799731251358596","DOIUrl":null,"url":null,"abstract":"<p><p>BackgroundWe aimed to identify the risk factors associated with all-cause mortality in non-cystic fibrosis bronchiectasis (BE) patients in a Finnish cohort.MethodsIn this 4-years follow-up study, the data of non-cystic fibrosis adult BE patients were collected annually from medical records. Finnish translation of the disease-specific quality of life-bronchiectasis (QoL-B) questionnaire, the bronchiectasis severity index (BSI), FACED score, E-FACED score (exacerbations, (E), FEV1 (F), age (A), pulmonary bacterial colonization (C), number of lobes affected by BE (E), and dyspnoea (D), and modified Medical Research Council (mMRC) dyspnoea scale were used. Cox's regression analysis was used to evaluate factors with mortality.ResultsA total of 95 out of 205 adult non-cystic fibrosis BE patients were included and 79% of them were women with mean age of 69 years (SD ± 13). During the follow-up, eight patients died (8.4%). High scores of FACED (HR 1.9 CI 1.1-3.0), E-FACED (HR 1.5 CI 1.1-2.1) and mMRC (HR 3.2 CI 1.5-6.9) were increased the risk of mortality. The specific aetiology of BE, however, does not affect mortality. Low score of domains in QoL-B, physical (<i>p</i> < 0.01), vitality (<i>p</i> = 0.01), respiration (<i>p</i> = 0.03) and health (<i>p</i> < 0.01), were associated with mortality.ConclusionMultifactorial FACED and BSI scores increased the risk of mortality. In addition, mMRC which is a single patient reported variable was predictive for mortality. The simple mMRC scale could provide a valuable tool for clinical use.</p>","PeriodicalId":10217,"journal":{"name":"Chronic Respiratory Disease","volume":"22 ","pages":"14799731251358596"},"PeriodicalIF":2.3000,"publicationDate":"2025-01-01","publicationTypes":"Journal Article","fieldsOfStudy":null,"isOpenAccess":false,"openAccessPdf":"https://www.ncbi.nlm.nih.gov/pmc/articles/PMC12361718/pdf/","citationCount":"0","resultStr":null,"platform":"Semanticscholar","paperid":null,"PeriodicalName":"Chronic Respiratory Disease","FirstCategoryId":"3","ListUrlMain":"https://doi.org/10.1177/14799731251358596","RegionNum":3,"RegionCategory":"医学","ArticlePicture":[],"TitleCN":null,"AbstractTextCN":null,"PMCID":null,"EPubDate":"2025/8/17 0:00:00","PubModel":"Epub","JCR":"Q2","JCRName":"RESPIRATORY SYSTEM","Score":null,"Total":0}
引用次数: 0

Abstract

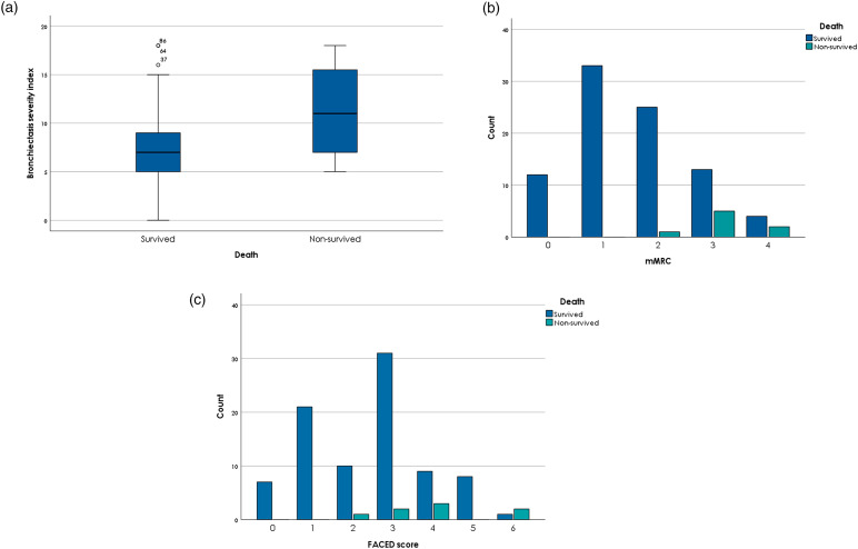
BackgroundWe aimed to identify the risk factors associated with all-cause mortality in non-cystic fibrosis bronchiectasis (BE) patients in a Finnish cohort.MethodsIn this 4-years follow-up study, the data of non-cystic fibrosis adult BE patients were collected annually from medical records. Finnish translation of the disease-specific quality of life-bronchiectasis (QoL-B) questionnaire, the bronchiectasis severity index (BSI), FACED score, E-FACED score (exacerbations, (E), FEV1 (F), age (A), pulmonary bacterial colonization (C), number of lobes affected by BE (E), and dyspnoea (D), and modified Medical Research Council (mMRC) dyspnoea scale were used. Cox's regression analysis was used to evaluate factors with mortality.ResultsA total of 95 out of 205 adult non-cystic fibrosis BE patients were included and 79% of them were women with mean age of 69 years (SD ± 13). During the follow-up, eight patients died (8.4%). High scores of FACED (HR 1.9 CI 1.1-3.0), E-FACED (HR 1.5 CI 1.1-2.1) and mMRC (HR 3.2 CI 1.5-6.9) were increased the risk of mortality. The specific aetiology of BE, however, does not affect mortality. Low score of domains in QoL-B, physical (p < 0.01), vitality (p = 0.01), respiration (p = 0.03) and health (p < 0.01), were associated with mortality.ConclusionMultifactorial FACED and BSI scores increased the risk of mortality. In addition, mMRC which is a single patient reported variable was predictive for mortality. The simple mMRC scale could provide a valuable tool for clinical use.

Abstract Image

Abstract Image

Abstract Image

芬兰支气管扩张患者死亡率的危险因素:一项为期四年的研究。
背景:我们的目的是在芬兰队列中确定与非囊性纤维化支气管扩张(BE)患者全因死亡率相关的危险因素。方法在这项为期4年的随访研究中,每年从医疗记录中收集非囊性纤维化成人BE患者的数据。使用芬兰语翻译的疾病特异性生活质量-支气管扩张(QoL-B)问卷,支气管扩张严重程度指数(BSI), face评分,E- face评分(恶化,(E), FEV1 (F),年龄(A),肺细菌定植(C), BE影响的肺叶数(E)和呼吸困难(D),以及修订的医学研究委员会(mMRC)呼吸困难量表。采用Cox回归分析评价影响死亡率的因素。结果205例成人非囊性纤维化BE患者共纳入95例,其中79%为女性,平均年龄69岁(SD±13)。随访期间死亡8例(8.4%)。较高的face评分(HR 1.9 CI 1.1-3.0)、E-FACED评分(HR 1.5 CI 1.1-2.1)和mMRC评分(HR 3.2 CI 1.5-6.9)增加了死亡风险。然而,BE的具体病因并不影响死亡率。QoL-B、体力(p < 0.01)、活力(p = 0.01)、呼吸(p = 0.03)和健康(p < 0.01)的低评分域与死亡率相关。结论多因素的face和BSI评分增加了死亡风险。此外,单个患者报告的mMRC变量可预测死亡率。简单的mMRC量表可以为临床应用提供有价值的工具。
本文章由计算机程序翻译,如有差异,请以英文原文为准。
求助全文
约1分钟内获得全文 求助全文
来源期刊
Chronic Respiratory Disease
Chronic Respiratory Disease RESPIRATORY SYSTEM-
CiteScore
5.90
自引率
7.30%
发文量
47
审稿时长
11 weeks
期刊介绍: Chronic Respiratory Disease is a peer-reviewed, open access, scholarly journal, created in response to the rising incidence of chronic respiratory diseases worldwide. It publishes high quality research papers and original articles that have immediate relevance to clinical practice and its multi-disciplinary perspective reflects the nature of modern treatment. The journal provides a high quality, multi-disciplinary focus for the publication of original papers, reviews and commentary in the broad area of chronic respiratory disease, particularly its treatment and management.
×
引用
GB/T 7714-2015
复制
MLA
复制
APA
复制
导出至
BibTeX EndNote RefMan NoteFirst NoteExpress
×
提示
您的信息不完整,为了账户安全,请先补充。
现在去补充
×
提示
您因"违规操作"
具体请查看互助需知
我知道了
×
提示
确定
请完成安全验证×
copy
已复制链接
快去分享给好友吧!
我知道了
右上角分享
点击右上角分享
0
联系我们:info@booksci.cn Book学术提供免费学术资源搜索服务,方便国内外学者检索中英文文献。致力于提供最便捷和优质的服务体验。 Copyright © 2023 布克学术 All rights reserved.
京ICP备2023020795号-1
ghs 京公网安备 11010802042870号
Book学术文献互助
Book学术文献互助群
群 号:604180095
Book学术官方微信