Depression and the Risk of All-Cause and Cardiovascular Mortality in Patients With Chronic Obstructive Pulmonary Disease: A Study From NHANES 2005-2018.

IF 2.1 4区 医学 Q3 RESPIRATORY SYSTEM
Canadian respiratory journal Pub Date : 2025-08-04 eCollection Date: 2025-01-01 DOI:10.1155/carj/8833533
Hui Wei, Fachao Shi, Qin We, Bin Wang, Guoqin Qiu, Caoyang Fang
{"title":"Depression and the Risk of All-Cause and Cardiovascular Mortality in Patients With Chronic Obstructive Pulmonary Disease: A Study From NHANES 2005-2018.","authors":"Hui Wei, Fachao Shi, Qin We, Bin Wang, Guoqin Qiu, Caoyang Fang","doi":"10.1155/carj/8833533","DOIUrl":null,"url":null,"abstract":"<p><p><b>Objective:</b> At present, there is a lack of studies on depression and the likelihood for mortality among those suffering from chronic obstructive pulmonary disease (COPD). This research explores the connection between depression and the risks of overall mortality as well as cardiovascular mortality in individuals with COPD. <b>Methods:</b> A total of 1336 COPD patients from seven cycles of the National Health and Nutrition Examination Survey (NHANES) conducted between 2005 and 2018 were selected. We created a multivariate Cox proportional hazards model and performed a subgroup analysis to investigate the connection between depression and both overall and cardiovascular mortality. Additionally, we used restricted cubic spline (RCS) curves to examine the relationship between depression and both overall and cardiovascular mortality to better reveal the association between the two. The Kaplan-Meier technique was employed to determine the likelihood of survival. <b>Results:</b> Over the course of a mean follow-up period of 91 months, 1336 COPD patients were studied, of which 340 patients experienced overall mortality, and 82 had cardiovascular-related deaths. Using RCSs, we found that depression was positively correlated with both all-cause and cardiovascular mortality in COPD patients. In the multivariable-adjusted model, individuals suffering from moderate to severe depression had a greater likelihood of overall and cardiovascular mortality compared to those without depression. The results were consistent in subgroup analyses based on age, gender, body mass index (BMI), and poverty income ratio (PIR), and there was no significant interaction between these traits and depression (<i>p</i> for interaction > 0.05). <b>Conclusion:</b> In COPD patients, depression is associated with higher risks of both cardiovascular and overall mortality. However, further validation of this finding is needed in large-scale prospective studies with sufficient follow-up time.</p>","PeriodicalId":9416,"journal":{"name":"Canadian respiratory journal","volume":"2025 ","pages":"8833533"},"PeriodicalIF":2.1000,"publicationDate":"2025-08-04","publicationTypes":"Journal Article","fieldsOfStudy":null,"isOpenAccess":false,"openAccessPdf":"https://www.ncbi.nlm.nih.gov/pmc/articles/PMC12339155/pdf/","citationCount":"0","resultStr":null,"platform":"Semanticscholar","paperid":null,"PeriodicalName":"Canadian respiratory journal","FirstCategoryId":"3","ListUrlMain":"https://doi.org/10.1155/carj/8833533","RegionNum":4,"RegionCategory":"医学","ArticlePicture":[],"TitleCN":null,"AbstractTextCN":null,"PMCID":null,"EPubDate":"2025/1/1 0:00:00","PubModel":"eCollection","JCR":"Q3","JCRName":"RESPIRATORY SYSTEM","Score":null,"Total":0}
引用次数: 0

Abstract

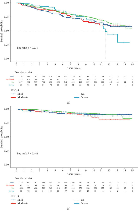
Objective: At present, there is a lack of studies on depression and the likelihood for mortality among those suffering from chronic obstructive pulmonary disease (COPD). This research explores the connection between depression and the risks of overall mortality as well as cardiovascular mortality in individuals with COPD. Methods: A total of 1336 COPD patients from seven cycles of the National Health and Nutrition Examination Survey (NHANES) conducted between 2005 and 2018 were selected. We created a multivariate Cox proportional hazards model and performed a subgroup analysis to investigate the connection between depression and both overall and cardiovascular mortality. Additionally, we used restricted cubic spline (RCS) curves to examine the relationship between depression and both overall and cardiovascular mortality to better reveal the association between the two. The Kaplan-Meier technique was employed to determine the likelihood of survival. Results: Over the course of a mean follow-up period of 91 months, 1336 COPD patients were studied, of which 340 patients experienced overall mortality, and 82 had cardiovascular-related deaths. Using RCSs, we found that depression was positively correlated with both all-cause and cardiovascular mortality in COPD patients. In the multivariable-adjusted model, individuals suffering from moderate to severe depression had a greater likelihood of overall and cardiovascular mortality compared to those without depression. The results were consistent in subgroup analyses based on age, gender, body mass index (BMI), and poverty income ratio (PIR), and there was no significant interaction between these traits and depression (p for interaction > 0.05). Conclusion: In COPD patients, depression is associated with higher risks of both cardiovascular and overall mortality. However, further validation of this finding is needed in large-scale prospective studies with sufficient follow-up time.

Abstract Image

Abstract Image

Abstract Image

慢性阻塞性肺疾病患者抑郁与全因死亡率和心血管死亡率风险:一项来自NHANES 2005-2018的研究
目的:目前,关于慢性阻塞性肺疾病(COPD)患者抑郁和死亡可能性的研究缺乏。这项研究探讨了抑郁症与慢性阻塞性肺病患者总体死亡率风险以及心血管死亡率之间的联系。方法:选取2005 - 2018年全国健康与营养调查(NHANES) 7个周期的1336例COPD患者。我们创建了一个多变量Cox比例风险模型,并进行了亚组分析,以调查抑郁症与总体死亡率和心血管死亡率之间的关系。此外,我们使用限制性三次样条(RCS)曲线来检验抑郁症与总体死亡率和心血管死亡率之间的关系,以更好地揭示两者之间的关联。Kaplan-Meier技术用于确定存活的可能性。结果:在平均91个月的随访期间,研究了1336名COPD患者,其中340名患者总体死亡,82名患者心血管相关死亡。使用RCSs,我们发现抑郁症与COPD患者的全因死亡率和心血管死亡率呈正相关。在多变量调整模型中,与没有抑郁症的人相比,患有中度至重度抑郁症的人总体死亡率和心血管死亡率的可能性更大。基于年龄、性别、身体质量指数(BMI)和贫困收入比(PIR)的亚组分析结果一致,这些特征与抑郁之间没有显著的相互作用(相互作用p < 0.05)。结论:在慢性阻塞性肺病患者中,抑郁症与心血管疾病和总死亡率的高风险相关。然而,这一发现需要在大规模的前瞻性研究中进一步验证,并有足够的随访时间。
本文章由计算机程序翻译,如有差异,请以英文原文为准。
求助全文
约1分钟内获得全文 求助全文
来源期刊
Canadian respiratory journal
Canadian respiratory journal 医学-呼吸系统
CiteScore
4.20
自引率
0.00%
发文量
61
审稿时长
6-12 weeks
期刊介绍: Canadian Respiratory Journal is a peer-reviewed, Open Access journal that aims to provide a multidisciplinary forum for research in all areas of respiratory medicine. The journal publishes original research articles, review articles, and clinical studies related to asthma, allergy, COPD, non-invasive ventilation, therapeutic intervention, lung cancer, airway and lung infections, as well as any other respiratory diseases.
×
引用
GB/T 7714-2015
复制
MLA
复制
APA
复制
导出至
BibTeX EndNote RefMan NoteFirst NoteExpress
×
提示
您的信息不完整,为了账户安全,请先补充。
现在去补充
×
提示
您因"违规操作"
具体请查看互助需知
我知道了
×
提示
确定
请完成安全验证×
copy
已复制链接
快去分享给好友吧!
我知道了
右上角分享
点击右上角分享
0
联系我们:info@booksci.cn Book学术提供免费学术资源搜索服务,方便国内外学者检索中英文文献。致力于提供最便捷和优质的服务体验。 Copyright © 2023 布克学术 All rights reserved.
京ICP备2023020795号-1
ghs 京公网安备 11010802042870号
Book学术文献互助
Book学术文献互助群
群 号:604180095
Book学术官方微信