Preoperative decompression for left-sided obstructive colorectal cancer: a comparative study between a stent and a decompression tube.

IF 1.9 4区 医学 Q2 SURGERY
Videosurgery and Other Miniinvasive Techniques Pub Date : 2025-07-04 eCollection Date: 2025-07-08 DOI:10.20452/wiitm.2025.17956
Xin-Chun Guo, Qiang Lu, Yu-Fei Fu, Xin Lu
{"title":"Preoperative decompression for left-sided obstructive colorectal cancer: a comparative study between a stent and a decompression tube.","authors":"Xin-Chun Guo, Qiang Lu, Yu-Fei Fu, Xin Lu","doi":"10.20452/wiitm.2025.17956","DOIUrl":null,"url":null,"abstract":"<p><strong>Introduction: </strong>Stents and decompression tubes (DTs) are both commonly utilized for preoperative decompression in patients with left-sided obstructive colorectal cancer (OCRC). However, the comparative effectiveness and oncological safety of these 2 approaches remain uncertain.</p><p><strong>Aim: </strong>The aim of this study was to compare clinical performance and long-term oncological outcomes of preoperative stent and DT insertion in patients with left-sided OCRC.</p><p><strong>Materials and methods: </strong>The study included 87 consecutive patients, diagnosed with left-sided OCRC between January 2022 and December 2024. All patients underwent preoperative decompression using either a stent or a DT. Clinical decompression efficacy, surgical outcomes, and oncological parameters were compared between the groups.</p><p><strong>Results: </strong>Among the 87 patients enrolled, 45 received a stent and 42, a DT. Technical success rates were similar between the groups (stent, 95.6% vs DT, 97.6%; P >0.99), as were clinical success rates (stent, 88.9% vs DT, 90.5%; P >0.99). Perforation occurred in 3 patients (6.7%) in the stent group and 1 participant (2.4%) in the DT group (P = 0.62). Primary anastomosis was achieved in 84.4% of the stent patients and 81% of the DT patients (P = 0.67). Median disease-free survival was 32 (21-43) months in the stent group and 34 (25-43) months in the DT group (P = 0.35), while median overall survival was 38 (29-47) and 39 (34-44) months, respectively (P = 0.53), with no apparent differences between the groups.</p><p><strong>Conclusions: </strong>Both stent and DT insertion are safe and effective strategies for preoperative left-sided OCRC management. No significant differences in either short-term clinical outcomes or long-term oncological results were observed between the 2 methods.</p>","PeriodicalId":49361,"journal":{"name":"Videosurgery and Other Miniinvasive Techniques","volume":"20 2","pages":"172-176"},"PeriodicalIF":1.9000,"publicationDate":"2025-07-04","publicationTypes":"Journal Article","fieldsOfStudy":null,"isOpenAccess":false,"openAccessPdf":"https://www.ncbi.nlm.nih.gov/pmc/articles/PMC12329667/pdf/","citationCount":"0","resultStr":null,"platform":"Semanticscholar","paperid":null,"PeriodicalName":"Videosurgery and Other Miniinvasive Techniques","FirstCategoryId":"3","ListUrlMain":"https://doi.org/10.20452/wiitm.2025.17956","RegionNum":4,"RegionCategory":"医学","ArticlePicture":[],"TitleCN":null,"AbstractTextCN":null,"PMCID":null,"EPubDate":"2025/7/8 0:00:00","PubModel":"eCollection","JCR":"Q2","JCRName":"SURGERY","Score":null,"Total":0}
引用次数: 0

Abstract

Introduction: Stents and decompression tubes (DTs) are both commonly utilized for preoperative decompression in patients with left-sided obstructive colorectal cancer (OCRC). However, the comparative effectiveness and oncological safety of these 2 approaches remain uncertain.

Aim: The aim of this study was to compare clinical performance and long-term oncological outcomes of preoperative stent and DT insertion in patients with left-sided OCRC.

Materials and methods: The study included 87 consecutive patients, diagnosed with left-sided OCRC between January 2022 and December 2024. All patients underwent preoperative decompression using either a stent or a DT. Clinical decompression efficacy, surgical outcomes, and oncological parameters were compared between the groups.

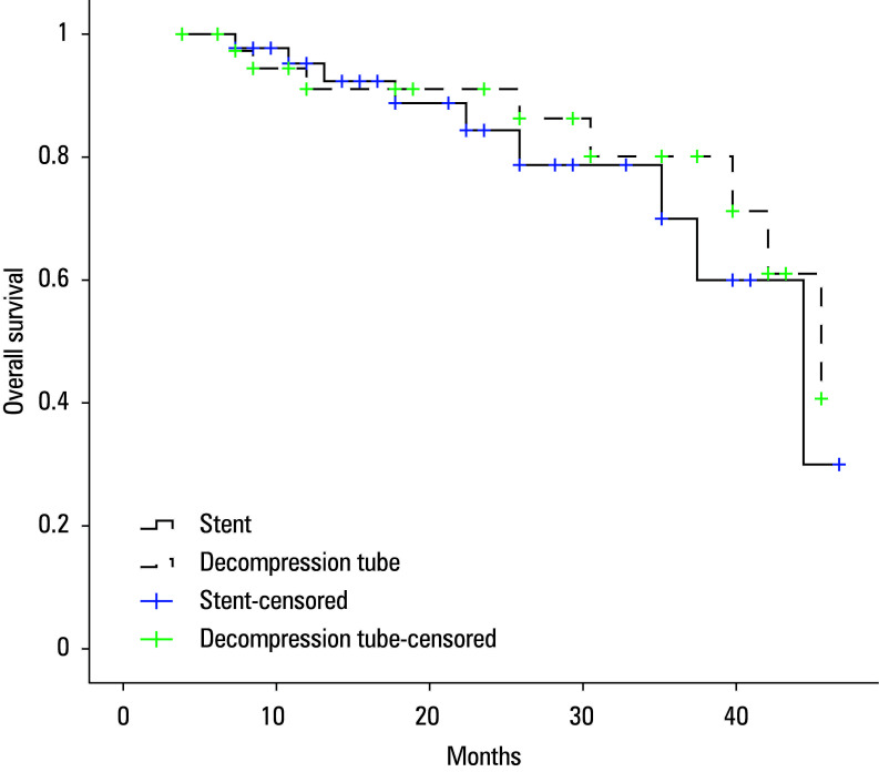
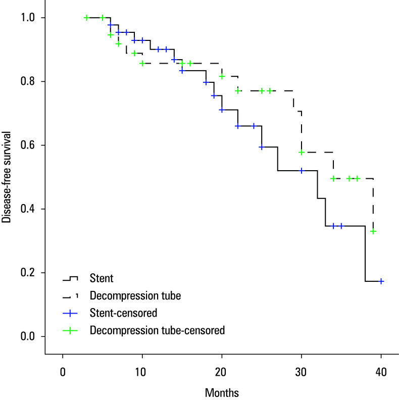
Results: Among the 87 patients enrolled, 45 received a stent and 42, a DT. Technical success rates were similar between the groups (stent, 95.6% vs DT, 97.6%; P >0.99), as were clinical success rates (stent, 88.9% vs DT, 90.5%; P >0.99). Perforation occurred in 3 patients (6.7%) in the stent group and 1 participant (2.4%) in the DT group (P = 0.62). Primary anastomosis was achieved in 84.4% of the stent patients and 81% of the DT patients (P = 0.67). Median disease-free survival was 32 (21-43) months in the stent group and 34 (25-43) months in the DT group (P = 0.35), while median overall survival was 38 (29-47) and 39 (34-44) months, respectively (P = 0.53), with no apparent differences between the groups.

Conclusions: Both stent and DT insertion are safe and effective strategies for preoperative left-sided OCRC management. No significant differences in either short-term clinical outcomes or long-term oncological results were observed between the 2 methods.

Abstract Image

Abstract Image

左侧梗阻性结直肠癌术前减压:支架与减压管的比较研究。
导语:支架和减压管(DTs)都是左侧梗阻性结直肠癌(OCRC)患者术前常用的减压方法。然而,这两种方法的相对有效性和肿瘤安全性仍然不确定。目的:本研究的目的是比较左侧OCRC患者术前支架置入和DT置入的临床表现和长期肿瘤预后。材料和方法:该研究纳入了2022年1月至2024年12月诊断为左侧OCRC的87例连续患者。所有患者术前均行支架或DT减压。比较两组患者的临床减压效果、手术结果及肿瘤参数。结果:87例入组患者中,45例接受支架植入,42例接受DT植入。两组间技术成功率相似(支架,95.6% vs DT, 97.6%;P < 0.99),临床成功率(支架,88.9% vs DT, 90.5%;P > 0.99)。支架组出现穿孔3例(6.7%),DT组出现穿孔1例(2.4%)(P = 0.62)。支架组和DT组一期吻合率分别为84.4%和81% (P = 0.67)。支架组中位无病生存期为32(21-43)个月,DT组中位无病生存期为34(25-43)个月(P = 0.35),总生存期中位分别为38(29-47)个月和39(34-44)个月(P = 0.53),两组间无明显差异。结论:支架植入和DT植入是术前治疗左侧OCRC安全有效的策略。两种方法的短期临床结果和长期肿瘤学结果均无显著差异。
本文章由计算机程序翻译,如有差异,请以英文原文为准。
求助全文
约1分钟内获得全文 求助全文
来源期刊
CiteScore
2.80
自引率
23.50%
发文量
48
审稿时长
12 weeks
期刊介绍: Videosurgery and other miniinvasive techniques serves as a forum for exchange of multidisciplinary experiences in fields such as: surgery, gynaecology, urology, gastroenterology, neurosurgery, ENT surgery, cardiac surgery, anaesthesiology and radiology, as well as other branches of medicine dealing with miniinvasive techniques.
×
引用
GB/T 7714-2015
复制
MLA
复制
APA
复制
导出至
BibTeX EndNote RefMan NoteFirst NoteExpress
×
提示
您的信息不完整,为了账户安全,请先补充。
现在去补充
×
提示
您因"违规操作"
具体请查看互助需知
我知道了
×
提示
确定
请完成安全验证×
copy
已复制链接
快去分享给好友吧!
我知道了
右上角分享
点击右上角分享
0
联系我们:info@booksci.cn Book学术提供免费学术资源搜索服务,方便国内外学者检索中英文文献。致力于提供最便捷和优质的服务体验。 Copyright © 2023 布克学术 All rights reserved.
京ICP备2023020795号-1
ghs 京公网安备 11010802042870号
Book学术文献互助
Book学术文献互助群
群 号:604180095
Book学术官方微信