Characteristics of Cardiomyopathy in Patients With Chronic Left Bundle Branch Block Undergoing Right Ventricular Pacing.

IF 1.3
Pacing and clinical electrophysiology : PACE Pub Date : 2025-09-01 Epub Date: 2025-08-08 DOI:10.1111/pace.70020
Temidayo A Abe, Favour Markson, Daniel J Friedman, Larry R Jackson
{"title":"Characteristics of Cardiomyopathy in Patients With Chronic Left Bundle Branch Block Undergoing Right Ventricular Pacing.","authors":"Temidayo A Abe, Favour Markson, Daniel J Friedman, Larry R Jackson","doi":"10.1111/pace.70020","DOIUrl":null,"url":null,"abstract":"<p><strong>Background: </strong>Left bundle branch block (LBBB) and right ventricular pacing (RVP) are associated with abnormal myocardial mechanics and cardiomyopathy. Consequently, chronic LBBB may increase the risk of heart failure and mortality in patients undergoing RVP.</p><p><strong>Methods: </strong>Using the TriNetX Analytics Network database, we identified patients who underwent pacemaker implantation between January 1, 2014 and January 1, 2024. Exclusion criteria included a history of heart failure, previous cardiac devices, cardiac resynchronization therapy (CRT) during the index hospitalization, or a left ventricular ejection fraction (LVEF) of less than 50%. The primary outcome incident systolic heart failure and all-cause mortality occurring from the index hospitalization through November 2024.</p><p><strong>Results: </strong>Among 70,526 patients undergoing RVP implantation, 3916 (5.6%) had chronic LBBB prior to the procedure, with a median age of 75 ± 15 years. Over a median follow-up of 2.5 years, 5356 (7.6%) developed incident systolic heart failure, and 9714 (13.7%) experienced all-cause mortality. After propensity score matching, chronic LBBB was associated with a higher risk of systolic heart failure (HR: 1.39; 95% CI: 1.20-1.62) but not all-cause mortality (HR: 0.93; 95% CI: 0.83-1.06). Patients with chronic LBBB who developed systolic heart failure were more likely to present with moderately depressed LVEF and require CRT upgrades during follow-up compared to those without chronic LBBB.</p><p><strong>Conclusion: </strong>Chronic LBBB was associated with a higher risk of systolic heart failure, worse left ventricular function, and greater likelihood of CRT upgrade among patients undergoing RVP.</p>","PeriodicalId":520740,"journal":{"name":"Pacing and clinical electrophysiology : PACE","volume":" ","pages":"973-980"},"PeriodicalIF":1.3000,"publicationDate":"2025-09-01","publicationTypes":"Journal Article","fieldsOfStudy":null,"isOpenAccess":false,"openAccessPdf":"https://www.ncbi.nlm.nih.gov/pmc/articles/PMC12439233/pdf/","citationCount":"0","resultStr":null,"platform":"Semanticscholar","paperid":null,"PeriodicalName":"Pacing and clinical electrophysiology : PACE","FirstCategoryId":"1085","ListUrlMain":"https://doi.org/10.1111/pace.70020","RegionNum":0,"RegionCategory":null,"ArticlePicture":[],"TitleCN":null,"AbstractTextCN":null,"PMCID":null,"EPubDate":"2025/8/8 0:00:00","PubModel":"Epub","JCR":"","JCRName":"","Score":null,"Total":0}
引用次数: 0

Abstract

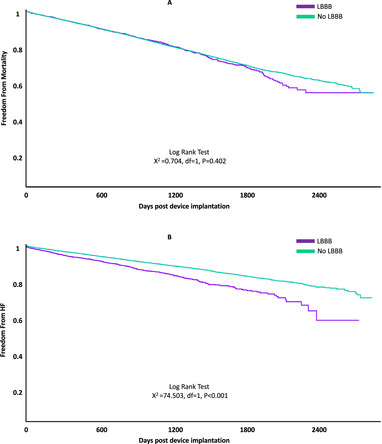
Background: Left bundle branch block (LBBB) and right ventricular pacing (RVP) are associated with abnormal myocardial mechanics and cardiomyopathy. Consequently, chronic LBBB may increase the risk of heart failure and mortality in patients undergoing RVP.

Methods: Using the TriNetX Analytics Network database, we identified patients who underwent pacemaker implantation between January 1, 2014 and January 1, 2024. Exclusion criteria included a history of heart failure, previous cardiac devices, cardiac resynchronization therapy (CRT) during the index hospitalization, or a left ventricular ejection fraction (LVEF) of less than 50%. The primary outcome incident systolic heart failure and all-cause mortality occurring from the index hospitalization through November 2024.

Results: Among 70,526 patients undergoing RVP implantation, 3916 (5.6%) had chronic LBBB prior to the procedure, with a median age of 75 ± 15 years. Over a median follow-up of 2.5 years, 5356 (7.6%) developed incident systolic heart failure, and 9714 (13.7%) experienced all-cause mortality. After propensity score matching, chronic LBBB was associated with a higher risk of systolic heart failure (HR: 1.39; 95% CI: 1.20-1.62) but not all-cause mortality (HR: 0.93; 95% CI: 0.83-1.06). Patients with chronic LBBB who developed systolic heart failure were more likely to present with moderately depressed LVEF and require CRT upgrades during follow-up compared to those without chronic LBBB.

Conclusion: Chronic LBBB was associated with a higher risk of systolic heart failure, worse left ventricular function, and greater likelihood of CRT upgrade among patients undergoing RVP.

Abstract Image

Abstract Image

Abstract Image

右心室起搏慢性左束支传导阻滞患者心肌病的特点。
背景:左束支阻滞(LBBB)和右心室起搏(RVP)与心肌力学异常和心肌病有关。因此,慢性LBBB可能会增加RVP患者心力衰竭和死亡率的风险。方法:使用TriNetX分析网络数据库,我们确定了2014年1月1日至2024年1月1日期间接受心脏起搏器植入的患者。排除标准包括心力衰竭史、既往心脏装置、住院期间心脏再同步化治疗(CRT)或左心室射血分数(LVEF)小于50%。主要结局是收缩期心力衰竭和全因死亡率,从指数住院到2024年11月。结果:在70,526例接受RVP植入的患者中,3916例(5.6%)术前患有慢性LBBB,中位年龄为75±15岁。在中位随访2.5年期间,5356例(7.6%)发生了偶发性收缩期心力衰竭,9714例(13.7%)发生了全因死亡。倾向评分匹配后,慢性LBBB与收缩期心力衰竭的高风险相关(HR: 1.39;95% CI: 1.20-1.62),但不是全因死亡率(HR: 0.93;95% ci: 0.83-1.06)。与没有慢性LBBB的患者相比,发生收缩期心力衰竭的慢性LBBB患者更有可能出现中度LVEF下降,并且在随访期间需要升级CRT。结论:在RVP患者中,慢性LBBB与收缩期心力衰竭的高风险、左心室功能恶化以及CRT升级的可能性更高相关。
本文章由计算机程序翻译,如有差异,请以英文原文为准。
求助全文
约1分钟内获得全文 求助全文
来源期刊
自引率
0.00%
发文量
0
×
引用
GB/T 7714-2015
复制
MLA
复制
APA
复制
导出至
BibTeX EndNote RefMan NoteFirst NoteExpress
×
提示
您的信息不完整,为了账户安全,请先补充。
现在去补充
×
提示
您因"违规操作"
具体请查看互助需知
我知道了
×
提示
确定
请完成安全验证×
copy
已复制链接
快去分享给好友吧!
我知道了
右上角分享
点击右上角分享
0
联系我们:info@booksci.cn Book学术提供免费学术资源搜索服务,方便国内外学者检索中英文文献。致力于提供最便捷和优质的服务体验。 Copyright © 2023 布克学术 All rights reserved.
京ICP备2023020795号-1
ghs 京公网安备 11010802042870号
Book学术文献互助
Book学术文献互助群
群 号:604180095
Book学术官方微信