2-{(E)-[(2-Hy­droxy-1-phenyl­eth­yl)imino]­meth­yl}-4-[(E)-(4-methyl­phen­yl)diazen­yl]phenol

IUCrData Pub Date : 2025-07-01 DOI:10.1107/S2414314625005991
Mohammad H. Ati , Basil A. Saleh , Adnan J. M. Al-Fartosy , Gamal A. El-Hiti , Benson M. Kariuki
{"title":"2-{(E)-[(2-Hy­droxy-1-phenyl­eth­yl)imino]­meth­yl}-4-[(E)-(4-methyl­phen­yl)diazen­yl]phenol","authors":"Mohammad H. Ati ,&nbsp;Basil A. Saleh ,&nbsp;Adnan J. M. Al-Fartosy ,&nbsp;Gamal A. El-Hiti ,&nbsp;Benson M. Kariuki","doi":"10.1107/S2414314625005991","DOIUrl":null,"url":null,"abstract":"<div><div>Intra­molecular O1—H1⋯N3 hydrogen bonding occurs in the title mol­ecule and inter­molecular O—H⋯O hydrogen bonds form chains parallel to the <em>b</em> axis.</div></div><div><div>In the title compound, C<sub>22</sub>H<sub>21</sub>N<sub>3</sub>O<sub>2</sub>, an intra­molecular O—H⋯N hydrogen bond is observed between the phenol and methanimine groups of the mol­ecule. The 2-phenyl­ethan-1-ol part is disordered over two orientations [occupancies 0.566 (17) and 0.434 (17)]. In the crystal, disordered inter­molecular O—H⋯O hydrogen bonds between adjacent mol­ecules form chains parallel to the <em>b</em> axis.<blockquote><div><span><figure><span><img><ol><li><span><span>Download: <span>Download high-res image (225KB)</span></span></span></li><li><span><span>Download: <span>Download full-size image</span></span></span></li></ol></span></figure></span></div></blockquote></div></div>","PeriodicalId":94324,"journal":{"name":"IUCrData","volume":"10 7","pages":""},"PeriodicalIF":0.0000,"publicationDate":"2025-07-01","publicationTypes":"Journal Article","fieldsOfStudy":null,"isOpenAccess":false,"openAccessPdf":"","citationCount":"0","resultStr":null,"platform":"Semanticscholar","paperid":null,"PeriodicalName":"IUCrData","FirstCategoryId":"1085","ListUrlMain":"https://www.sciencedirect.com/org/science/article/pii/S2414314625000707","RegionNum":0,"RegionCategory":null,"ArticlePicture":[],"TitleCN":null,"AbstractTextCN":null,"PMCID":null,"EPubDate":"","PubModel":"","JCR":"","JCRName":"","Score":null,"Total":0}
引用次数: 0

Abstract

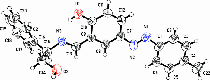
Intra­molecular O1—H1⋯N3 hydrogen bonding occurs in the title mol­ecule and inter­molecular O—H⋯O hydrogen bonds form chains parallel to the b axis.
In the title compound, C22H21N3O2, an intra­molecular O—H⋯N hydrogen bond is observed between the phenol and methanimine groups of the mol­ecule. The 2-phenyl­ethan-1-ol part is disordered over two orientations [occupancies 0.566 (17) and 0.434 (17)]. In the crystal, disordered inter­molecular O—H⋯O hydrogen bonds between adjacent mol­ecules form chains parallel to the b axis.
  1. Download: Download high-res image (225KB)
  2. Download: Download full-size image

Abstract Image

Abstract Image

Abstract Image

2 - {(E) - [(2-Hy-droxy-1-phenyl-eth-yl)亚氨基的]-meth-yl} 4 - [(E) - (4-methyl-phen-yl) diazen-yl]苯酚。
在标题化合物C22H21N3O2中,在分子的苯酚和甲亚胺基团之间观察到分子内O-H⋯N氢键。2-苯基-ethan-1-ol部分在两个方向上是无序的[占有率0.566(17)和0.434(17)]。在晶体中,相邻分子之间无序的分子间O- h⋯O氢键形成平行于b轴的链。
本文章由计算机程序翻译,如有差异,请以英文原文为准。
求助全文
约1分钟内获得全文 求助全文
来源期刊
CiteScore
0.30
自引率
0.00%
发文量
0
×
引用
GB/T 7714-2015
复制
MLA
复制
APA
复制
导出至
BibTeX EndNote RefMan NoteFirst NoteExpress
×
提示
您的信息不完整,为了账户安全,请先补充。
现在去补充
×
提示
您因"违规操作"
具体请查看互助需知
我知道了
×
提示
确定
请完成安全验证×
copy
已复制链接
快去分享给好友吧!
我知道了
右上角分享
点击右上角分享
0
联系我们:info@booksci.cn Book学术提供免费学术资源搜索服务,方便国内外学者检索中英文文献。致力于提供最便捷和优质的服务体验。 Copyright © 2023 布克学术 All rights reserved.
京ICP备2023020795号-1
ghs 京公网安备 11010802042870号
Book学术文献互助
Book学术文献互助群
群 号:604180095
Book学术官方微信