On the mathematical structure and numerical solution of discrete-continuous optimization problems in DDCM.

IF 1.6 3区 数学 Q2 MATHEMATICS, APPLIED
Cristian G Gebhardt, Senta Lange, Marc C Steinbach
{"title":"On the mathematical structure and numerical solution of discrete-continuous optimization problems in DDCM.","authors":"Cristian G Gebhardt, Senta Lange, Marc C Steinbach","doi":"10.1007/s00033-025-02536-4","DOIUrl":null,"url":null,"abstract":"<p><p>In this work, we investigate data-driven elasticity problems defined on a closed interval of the real line that are spatially discretized by means of the finite element method. This one-dimensional setting allows us to gain a deeper understanding of the underlying <i>discrete-continuous quadratic optimization problems</i>. We provide an in-depth analysis of their structural properties and prove their global solvability. Based on this analysis, we propose a new structure-specific initialization for a solution strategy relying on an <i>alternating direction method</i>, and we prove that it is globally optimal in certain symmetric cases. Finally and to support our formal mathematical analysis, we also provide a series of examples that show the benefits of this kind of approach and briefly illustrate the challenges when dealing with real experimental data.</p>","PeriodicalId":54401,"journal":{"name":"Zeitschrift fur Angewandte Mathematik und Physik","volume":"76 5","pages":"177"},"PeriodicalIF":1.6000,"publicationDate":"2025-01-01","publicationTypes":"Journal Article","fieldsOfStudy":null,"isOpenAccess":false,"openAccessPdf":"https://www.ncbi.nlm.nih.gov/pmc/articles/PMC12325500/pdf/","citationCount":"0","resultStr":null,"platform":"Semanticscholar","paperid":null,"PeriodicalName":"Zeitschrift fur Angewandte Mathematik und Physik","FirstCategoryId":"100","ListUrlMain":"https://doi.org/10.1007/s00033-025-02536-4","RegionNum":3,"RegionCategory":"数学","ArticlePicture":[],"TitleCN":null,"AbstractTextCN":null,"PMCID":null,"EPubDate":"2025/8/6 0:00:00","PubModel":"Epub","JCR":"Q2","JCRName":"MATHEMATICS, APPLIED","Score":null,"Total":0}
引用次数: 0

Abstract

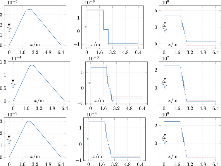
In this work, we investigate data-driven elasticity problems defined on a closed interval of the real line that are spatially discretized by means of the finite element method. This one-dimensional setting allows us to gain a deeper understanding of the underlying discrete-continuous quadratic optimization problems. We provide an in-depth analysis of their structural properties and prove their global solvability. Based on this analysis, we propose a new structure-specific initialization for a solution strategy relying on an alternating direction method, and we prove that it is globally optimal in certain symmetric cases. Finally and to support our formal mathematical analysis, we also provide a series of examples that show the benefits of this kind of approach and briefly illustrate the challenges when dealing with real experimental data.

Abstract Image

Abstract Image

Abstract Image

Abstract Image

Abstract Image

Abstract Image

DDCM离散-连续优化问题的数学结构及数值解。
在这项工作中,我们研究了数据驱动的弹性问题,这些问题定义在实线的封闭区间上,通过有限元方法在空间上离散。这种一维设置使我们能够更深入地理解潜在的离散连续二次优化问题。我们对它们的结构特性进行了深入的分析,并证明了它们的全球可解性。在此基础上,我们提出了一种新的基于交替方向方法的求解策略的特定结构初始化,并证明了它在某些对称情况下是全局最优的。最后,为了支持我们的形式化数学分析,我们还提供了一系列例子来展示这种方法的好处,并简要说明在处理实际实验数据时面临的挑战。
本文章由计算机程序翻译,如有差异,请以英文原文为准。
求助全文
约1分钟内获得全文 求助全文
来源期刊
CiteScore
2.90
自引率
10.00%
发文量
216
审稿时长
6-12 weeks
期刊介绍: The Journal of Applied Mathematics and Physics (ZAMP) publishes papers of high scientific quality in Fluid Mechanics, Mechanics of Solids and Differential Equations/Applied Mathematics. A paper will be considered for publication if at least one of the following conditions is fulfilled: The paper includes results or discussions which can be considered original and highly interesting. The paper presents a new method. The author reviews a problem or a class of problems with such profound insight that further research is encouraged. The readers of ZAMP will find not only articles in their own special field but also original work in neighbouring domains. This will lead to an exchange of ideas; concepts and methods which have proven to be successful in one field may well be useful to other areas. ZAMP attempts to publish articles reasonably quickly. Longer papers are published in the section "Original Papers", shorter ones may appear under "Brief Reports" where publication is particularly rapid. The journal includes a "Book Review" section and provides information on activities (such as upcoming symposia, meetings or special courses) which are of interest to its readers.
×
引用
GB/T 7714-2015
复制
MLA
复制
APA
复制
导出至
BibTeX EndNote RefMan NoteFirst NoteExpress
×
提示
您的信息不完整,为了账户安全,请先补充。
现在去补充
×
提示
您因"违规操作"
具体请查看互助需知
我知道了
×
提示
确定
请完成安全验证×
copy
已复制链接
快去分享给好友吧!
我知道了
右上角分享
点击右上角分享
0
联系我们:info@booksci.cn Book学术提供免费学术资源搜索服务,方便国内外学者检索中英文文献。致力于提供最便捷和优质的服务体验。 Copyright © 2023 布克学术 All rights reserved.
京ICP备2023020795号-1
ghs 京公网安备 11010802042870号
Book学术文献互助
Book学术文献互助群
群 号:604180095
Book学术官方微信
小红书