Event-based surveillance in Republic of Korea: assessment of the effectiveness of Epidemic Intelligence from Open Sources.

IF 1.1 Q4 PUBLIC, ENVIRONMENTAL & OCCUPATIONAL HEALTH
Western Pacific Surveillance and Response Pub Date : 2025-07-28 eCollection Date: 2025-07-01 DOI:10.5365/wpsar.2025.16.1151
Seontae Kim, Jia Lee, Jiyoung Oh, Ji Joo Lee, Geehyuk Kim, Jaehwa Chung, Yunhee Lee, Yongmoon Kim, Sangwoo Tak
{"title":"Event-based surveillance in Republic of Korea: assessment of the effectiveness of Epidemic Intelligence from Open Sources.","authors":"Seontae Kim, Jia Lee, Jiyoung Oh, Ji Joo Lee, Geehyuk Kim, Jaehwa Chung, Yunhee Lee, Yongmoon Kim, Sangwoo Tak","doi":"10.5365/wpsar.2025.16.1151","DOIUrl":null,"url":null,"abstract":"<p><p>In 2023, Republic of Korea's Korea Disease Control and Prevention Agency (KDCA) enhanced its event-based surveillance practices by using the World Health Organization's (WHO) Epidemic Intelligence from Open Sources (EIOS) to actively screen and share information about potential public health threats to the country. This report describes the preliminary assessment of the results of implementing these enhanced event-based surveillance activities from June to October 2023. During this period, 425 (0.4%) events were detected globally by the KDCA from 99 945 media articles, with the highest frequency reported in Asia (185, 43.5%) and North America (81, 19.1%). The most frequently reported diseases or conditions were dengue fever (111, 26.1%) and mpox (32, 7.5%). Eight events were detected early by the KDCA using EIOS before being officially listed on WHO's Event Information Site (EIS) or in Disease Outbreak News (DON), with an average interval of 20 days (range: 5-41) between the detection date and posting on EIS or DON. Thus, EIOS is efficient in aiding early detection of potential public health threats at the national level. This finding highlights the importance of sustaining international cooperation and support to enhance surveillance capabilities in resource-limited settings and expanding the scope of EIOS, including by incorporating additional sources and sources in additional languages, reducing noise. However, as the current report is based on a descriptive analysis, in the future a systematic evaluation of event-based surveillance using EIOS to identify relevant attributes will need to be conducted.</p>","PeriodicalId":31512,"journal":{"name":"Western Pacific Surveillance and Response","volume":"16 3","pages":"1-7"},"PeriodicalIF":1.1000,"publicationDate":"2025-07-28","publicationTypes":"Journal Article","fieldsOfStudy":null,"isOpenAccess":false,"openAccessPdf":"https://www.ncbi.nlm.nih.gov/pmc/articles/PMC12325167/pdf/","citationCount":"0","resultStr":null,"platform":"Semanticscholar","paperid":null,"PeriodicalName":"Western Pacific Surveillance and Response","FirstCategoryId":"1085","ListUrlMain":"https://doi.org/10.5365/wpsar.2025.16.1151","RegionNum":0,"RegionCategory":null,"ArticlePicture":[],"TitleCN":null,"AbstractTextCN":null,"PMCID":null,"EPubDate":"2025/7/1 0:00:00","PubModel":"eCollection","JCR":"Q4","JCRName":"PUBLIC, ENVIRONMENTAL & OCCUPATIONAL HEALTH","Score":null,"Total":0}
引用次数: 0

Abstract

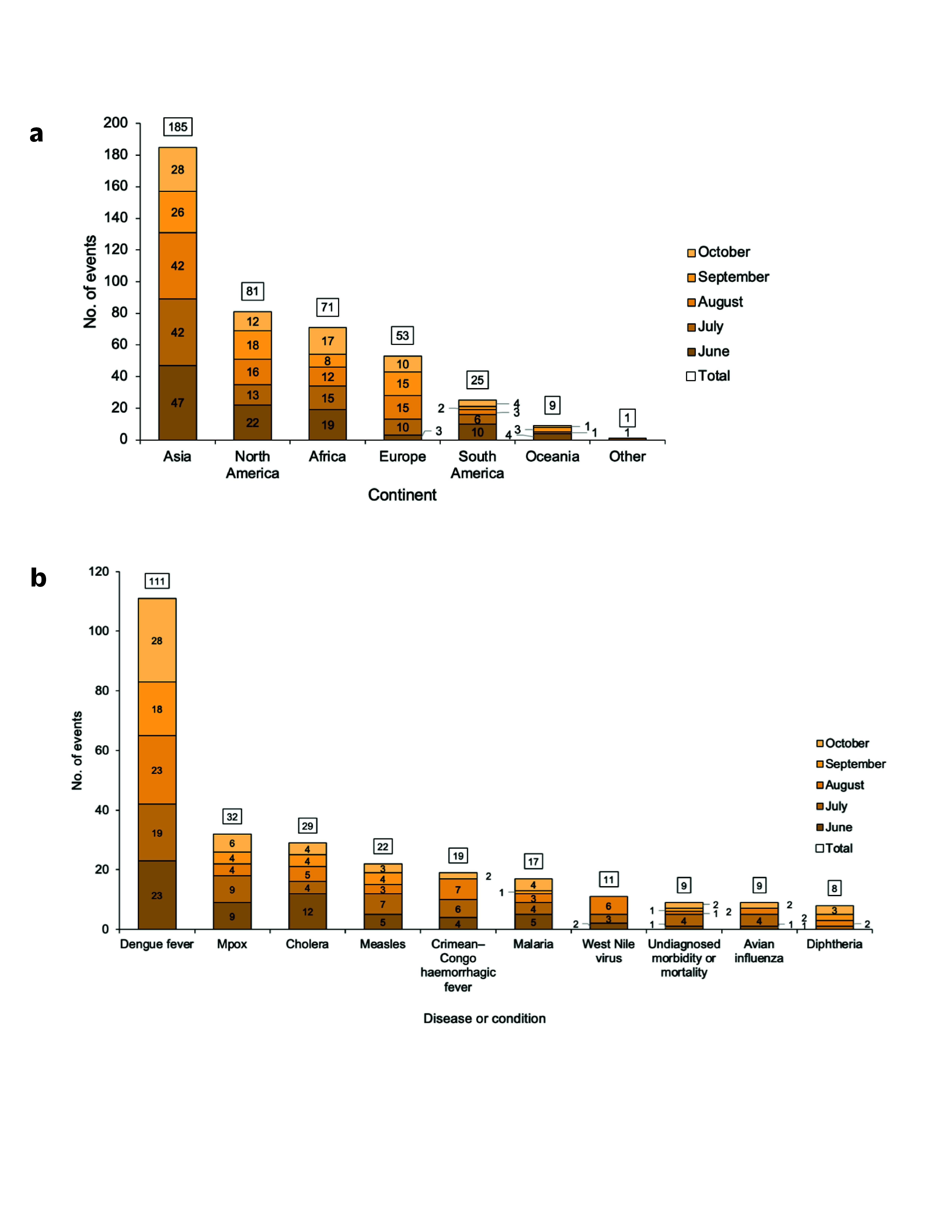
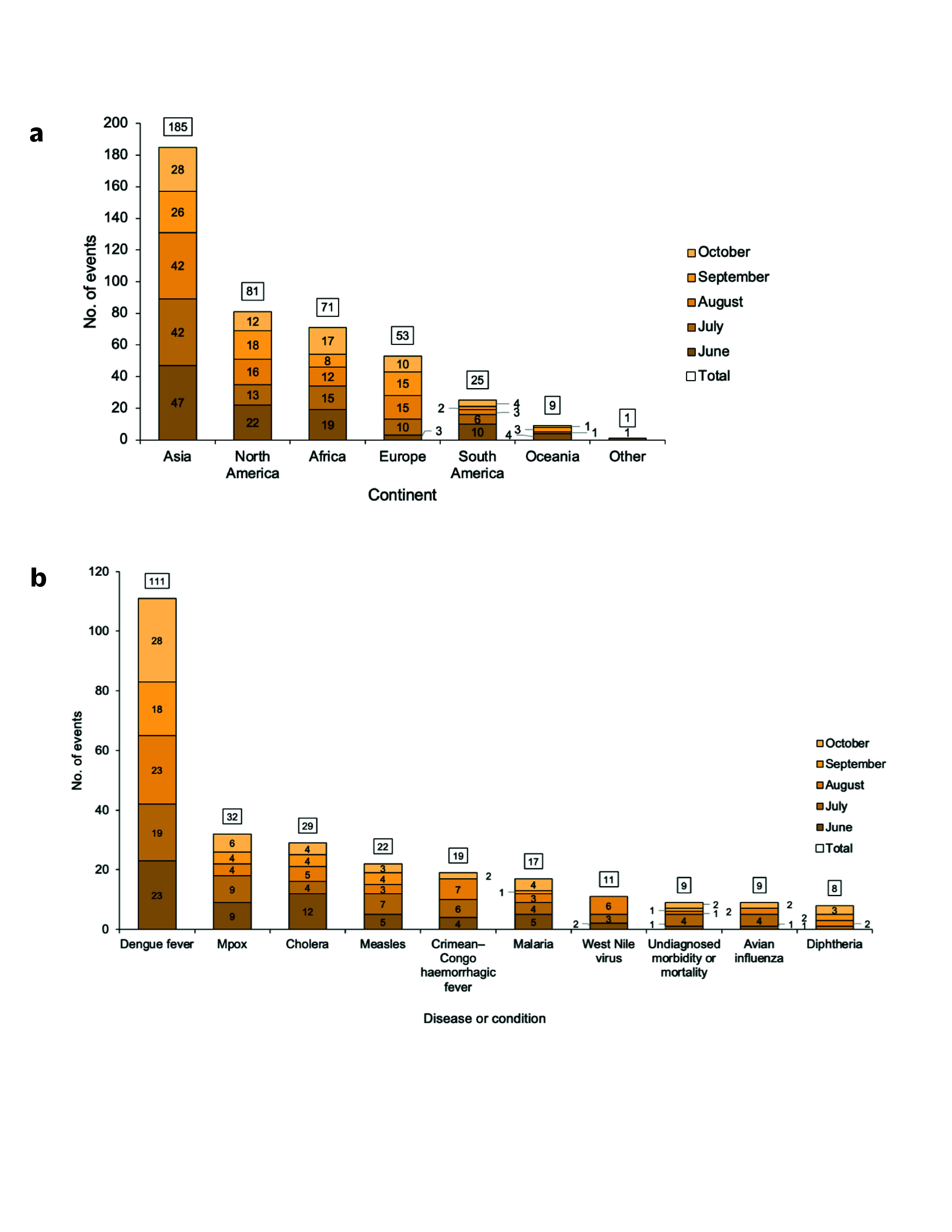
In 2023, Republic of Korea's Korea Disease Control and Prevention Agency (KDCA) enhanced its event-based surveillance practices by using the World Health Organization's (WHO) Epidemic Intelligence from Open Sources (EIOS) to actively screen and share information about potential public health threats to the country. This report describes the preliminary assessment of the results of implementing these enhanced event-based surveillance activities from June to October 2023. During this period, 425 (0.4%) events were detected globally by the KDCA from 99 945 media articles, with the highest frequency reported in Asia (185, 43.5%) and North America (81, 19.1%). The most frequently reported diseases or conditions were dengue fever (111, 26.1%) and mpox (32, 7.5%). Eight events were detected early by the KDCA using EIOS before being officially listed on WHO's Event Information Site (EIS) or in Disease Outbreak News (DON), with an average interval of 20 days (range: 5-41) between the detection date and posting on EIS or DON. Thus, EIOS is efficient in aiding early detection of potential public health threats at the national level. This finding highlights the importance of sustaining international cooperation and support to enhance surveillance capabilities in resource-limited settings and expanding the scope of EIOS, including by incorporating additional sources and sources in additional languages, reducing noise. However, as the current report is based on a descriptive analysis, in the future a systematic evaluation of event-based surveillance using EIOS to identify relevant attributes will need to be conducted.

Abstract Image

Abstract Image

大韩民国基于事件的监测:评估来自开放来源的流行病情报的有效性。
2023年,韩国疾病预防控制院(KDCA)加强了基于事件的监测做法,利用世界卫生组织(世卫组织)的开源流行病情报(EIOS),积极筛查和分享有关该国潜在公共卫生威胁的信息。本报告描述了对2023年6月至10月实施这些加强的基于事件的监测活动结果的初步评估。在此期间,KDCA在全球99945篇媒体文章中检测到425起(0.4%)事件,其中亚洲(185起,43.5%)和北美(81起,19.1%)报告的频率最高。最常报告的疾病或病症是登革热(111,26.1%)和m痘(32,7.5%)。在世卫组织事件信息网站(EIS)或疾病暴发新闻(DON)正式列出之前,KDCA使用EIOS早期发现了8个事件,在发现日期和在EIS或疾病暴发新闻上发布之间平均间隔20天(范围:5-41天)。因此,环境信息系统在国家一级有效地帮助早期发现潜在的公共卫生威胁。这一发现强调了维持国际合作和支持的重要性,以加强资源有限环境下的监测能力,并扩大环境影响评估系统的范围,包括通过纳入额外的来源和其他语言的来源,减少噪音。然而,由于目前的报告是基于描述性分析,未来将需要使用环境影响评估系统对基于事件的监测进行系统评估,以确定相关属性。
本文章由计算机程序翻译,如有差异,请以英文原文为准。
求助全文
约1分钟内获得全文 求助全文
来源期刊
Western Pacific Surveillance and Response
Western Pacific Surveillance and Response PUBLIC, ENVIRONMENTAL & OCCUPATIONAL HEALTH-
CiteScore
1.70
自引率
0.00%
发文量
23
审稿时长
15 weeks
×
引用
GB/T 7714-2015
复制
MLA
复制
APA
复制
导出至
BibTeX EndNote RefMan NoteFirst NoteExpress
×
提示
您的信息不完整,为了账户安全,请先补充。
现在去补充
×
提示
您因"违规操作"
具体请查看互助需知
我知道了
×
提示
确定
请完成安全验证×
copy
已复制链接
快去分享给好友吧!
我知道了
右上角分享
点击右上角分享
0
联系我们:info@booksci.cn Book学术提供免费学术资源搜索服务,方便国内外学者检索中英文文献。致力于提供最便捷和优质的服务体验。 Copyright © 2023 布克学术 All rights reserved.
京ICP备2023020795号-1
ghs 京公网安备 11010802042870号
Book学术文献互助
Book学术文献互助群
群 号:604180095
Book学术官方微信