Precision Daptomycin Dosing: Comparison of 3-, 2-, 1-, and 0-Concentration Sample Strategies.

IF 3.4 3区 医学 Q2 PHARMACOLOGY & PHARMACY
Pharmacotherapy Pub Date : 2025-09-01 Epub Date: 2025-08-07 DOI:10.1002/phar.70045
Simone Giuliano, Manjunath P Pai, Jacopo Angelini, Sarah Flammini, Luca Martini, Massimo Baraldo, Carlo Tascini
{"title":"Precision Daptomycin Dosing: Comparison of 3-, 2-, 1-, and 0-Concentration Sample Strategies.","authors":"Simone Giuliano, Manjunath P Pai, Jacopo Angelini, Sarah Flammini, Luca Martini, Massimo Baraldo, Carlo Tascini","doi":"10.1002/phar.70045","DOIUrl":null,"url":null,"abstract":"<p><strong>Background: </strong>Daptomycin is a once-daily lipopeptide antibiotic with a narrow therapeutic window. As higher doses (8-12 mg/kg) are increasingly used to treat resistant gram-positive infections, achieving therapeutic exposure while minimizing toxicity has become critical. Understanding daptomycin therapeutic drug monitoring (TDM) and what sampling strategy may be most precise and feasible are key to guiding appropriate dosing. The primary objective of this study was to ascertain the precision and bias of a mid-point sample area under the curve over 24-h (AUC<sub>24</sub>) determination compared to a peak and trough sample AUC<sub>24</sub> determination using both simple calculation-based methods and a Bayesian model versus no TDM.</p><p><strong>Methods: </strong>Adult patients receiving daptomycin with at least three steady-state concentrations (peak, mid-point, trough) were included in this analysis. A previously published one-compartment population pharmacokinetic model was applied using Bayesian estimation (Monolix Suite 2024R1). AUC<sub>24</sub> values were estimated using all three concentrations (AUC<sub>ref</sub>), and then re-estimated using individual samples (peak, mid-point, or trough) or paired samples (peak + trough). Performance of each strategy was evaluated using regression analysis with the coefficient of determination for precision (R<sup>2</sup>) and mean bias.</p><p><strong>Results: </strong>The cohort included 210 patients (60% male) with a mean (range) age of 66 (18-91) years, body weight 78 (41-140) kg, and BMI 27 (14-51) kg/m<sup>2</sup>. A total of 880 daptomycin concentrations were analyzed in patients receiving a mean (range) daptomycin dose of 9 (5-17) mg/kg. The mean (range) AUC<sub>24</sub> was 869 (385-1692) mg·h/L; only 45.7% of patients achieved the target range of 666 to 939 mg·h/L. A single mid-point sample had similar correlation to AUC<sub>24</sub> (R<sup>2</sup> = 0.57) as trough-only (R<sup>2</sup> = 0.55), and greater precision than peak-only (R<sup>2</sup> = 0.44). Bayesian estimation with two samples (peak + trough) provided the highest accuracy (R<sup>2</sup> = 0.87) and lowest bias.</p><p><strong>Conclusions: </strong>A mid-interval sampling strategy offers a practical alternative to traditional TDM for daptomycin, enabling more consistent AUC estimation when full sampling is not feasible. A two-sample Bayesian approach remains the most accurate, supporting broader implementation of individualized daptomycin dosing.</p>","PeriodicalId":20013,"journal":{"name":"Pharmacotherapy","volume":" ","pages":"540-546"},"PeriodicalIF":3.4000,"publicationDate":"2025-09-01","publicationTypes":"Journal Article","fieldsOfStudy":null,"isOpenAccess":false,"openAccessPdf":"https://www.ncbi.nlm.nih.gov/pmc/articles/PMC12424523/pdf/","citationCount":"0","resultStr":null,"platform":"Semanticscholar","paperid":null,"PeriodicalName":"Pharmacotherapy","FirstCategoryId":"3","ListUrlMain":"https://doi.org/10.1002/phar.70045","RegionNum":3,"RegionCategory":"医学","ArticlePicture":[],"TitleCN":null,"AbstractTextCN":null,"PMCID":null,"EPubDate":"2025/8/7 0:00:00","PubModel":"Epub","JCR":"Q2","JCRName":"PHARMACOLOGY & PHARMACY","Score":null,"Total":0}
引用次数: 0

Abstract

Background: Daptomycin is a once-daily lipopeptide antibiotic with a narrow therapeutic window. As higher doses (8-12 mg/kg) are increasingly used to treat resistant gram-positive infections, achieving therapeutic exposure while minimizing toxicity has become critical. Understanding daptomycin therapeutic drug monitoring (TDM) and what sampling strategy may be most precise and feasible are key to guiding appropriate dosing. The primary objective of this study was to ascertain the precision and bias of a mid-point sample area under the curve over 24-h (AUC24) determination compared to a peak and trough sample AUC24 determination using both simple calculation-based methods and a Bayesian model versus no TDM.

Methods: Adult patients receiving daptomycin with at least three steady-state concentrations (peak, mid-point, trough) were included in this analysis. A previously published one-compartment population pharmacokinetic model was applied using Bayesian estimation (Monolix Suite 2024R1). AUC24 values were estimated using all three concentrations (AUCref), and then re-estimated using individual samples (peak, mid-point, or trough) or paired samples (peak + trough). Performance of each strategy was evaluated using regression analysis with the coefficient of determination for precision (R2) and mean bias.

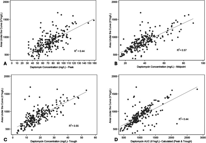
Results: The cohort included 210 patients (60% male) with a mean (range) age of 66 (18-91) years, body weight 78 (41-140) kg, and BMI 27 (14-51) kg/m2. A total of 880 daptomycin concentrations were analyzed in patients receiving a mean (range) daptomycin dose of 9 (5-17) mg/kg. The mean (range) AUC24 was 869 (385-1692) mg·h/L; only 45.7% of patients achieved the target range of 666 to 939 mg·h/L. A single mid-point sample had similar correlation to AUC24 (R2 = 0.57) as trough-only (R2 = 0.55), and greater precision than peak-only (R2 = 0.44). Bayesian estimation with two samples (peak + trough) provided the highest accuracy (R2 = 0.87) and lowest bias.

Conclusions: A mid-interval sampling strategy offers a practical alternative to traditional TDM for daptomycin, enabling more consistent AUC estimation when full sampling is not feasible. A two-sample Bayesian approach remains the most accurate, supporting broader implementation of individualized daptomycin dosing.

Abstract Image

Abstract Image

Abstract Image

精确给药:3、2、1和0浓度样品策略的比较。
背景:达托霉素是一种每日一次的脂肽抗生素,具有狭窄的治疗窗口。随着越来越多地使用更高剂量(8- 12mg /kg)来治疗耐药革兰氏阳性感染,在尽量减少毒性的同时实现治疗性暴露已变得至关重要。了解达托霉素治疗药物监测(TDM)以及哪种采样策略可能是最精确和可行的,是指导适当给药的关键。本研究的主要目的是确定曲线下的中点样本面积在24小时内(AUC24)测定的精度和偏差,与峰谷样品AUC24测定相比,使用简单的基于计算的方法和贝叶斯模型与无TDM。方法:接受达托霉素至少有三个稳态浓度(峰、中点、谷)的成年患者纳入本分析。使用贝叶斯估计(Monolix Suite 2024R1)应用先前发表的单室群体药代动力学模型。使用所有三种浓度(AUCref)估计AUC24值,然后使用单个样本(峰、中点或谷)或成对样本(峰+谷)重新估计。采用回归分析对每种策略的性能进行评估,回归分析具有精度决定系数(R2)和平均偏差。结果:该队列纳入210例患者(60%为男性),平均(范围)年龄66(18-91)岁,体重78 (41-140)kg, BMI 27 (14-51) kg/m2。在接受达托霉素平均(范围)剂量为9 (5-17)mg/kg的患者中,共分析了880个达托霉素浓度。AUC24平均(范围)为869 (385 ~ 1692)mg·h/L;只有45.7%的患者达到666 ~ 939 mg·h/L的目标范围。单个中点样本与AUC24的相关性(R2 = 0.57)与仅谷(R2 = 0.55)相似,且精度高于仅峰(R2 = 0.44)。两个样本(峰+谷)的贝叶斯估计精度最高(R2 = 0.87),偏差最小。结论:中间隔采样策略为达托霉素的传统TDM提供了一种实用的替代方案,在无法进行完整采样时,可以实现更一致的AUC估计。双样本贝叶斯方法仍然是最准确的,支持更广泛地实施个体化给药达托霉素。
本文章由计算机程序翻译,如有差异,请以英文原文为准。
求助全文
约1分钟内获得全文 求助全文
来源期刊
Pharmacotherapy
Pharmacotherapy 医学-药学
CiteScore
7.80
自引率
2.40%
发文量
93
审稿时长
4-8 weeks
期刊介绍: Pharmacotherapy is devoted to publication of original research articles on all aspects of human pharmacology and review articles on drugs and drug therapy. The Editors and Editorial Board invite original research reports on pharmacokinetic, bioavailability, and drug interaction studies, clinical trials, investigations of specific pharmacological properties of drugs, and related topics.
×
引用
GB/T 7714-2015
复制
MLA
复制
APA
复制
导出至
BibTeX EndNote RefMan NoteFirst NoteExpress
×
提示
您的信息不完整,为了账户安全,请先补充。
现在去补充
×
提示
您因"违规操作"
具体请查看互助需知
我知道了
×
提示
确定
请完成安全验证×
copy
已复制链接
快去分享给好友吧!
我知道了
右上角分享
点击右上角分享
0
联系我们:info@booksci.cn Book学术提供免费学术资源搜索服务,方便国内外学者检索中英文文献。致力于提供最便捷和优质的服务体验。 Copyright © 2023 布克学术 All rights reserved.
京ICP备2023020795号-1
ghs 京公网安备 11010802042870号
Book学术文献互助
Book学术文献互助群
群 号:604180095
Book学术官方微信