Association between autologous formalin-fixed tumor vaccine (AFTV) therapy, molecular pathological markers, and survival outcomes in glioblastoma.

IF 3 3区 医学 Q2 CLINICAL NEUROLOGY
Brain Tumor Pathology Pub Date : 2025-07-01 Epub Date: 2025-08-07 DOI:10.1007/s10014-025-00507-1
Shunichi Koriyama, Yoshihiro Muragaki, Masayuki Nitta, Takashi Maruyama, Taiichi Saito, Shunsuke Tsuzuki, Tatsuya Kobayashi, Buntou Ro, Takashi Komori, Kenta Masui, Takakazu Kawamata
{"title":"Association between autologous formalin-fixed tumor vaccine (AFTV) therapy, molecular pathological markers, and survival outcomes in glioblastoma.","authors":"Shunichi Koriyama, Yoshihiro Muragaki, Masayuki Nitta, Takashi Maruyama, Taiichi Saito, Shunsuke Tsuzuki, Tatsuya Kobayashi, Buntou Ro, Takashi Komori, Kenta Masui, Takakazu Kawamata","doi":"10.1007/s10014-025-00507-1","DOIUrl":null,"url":null,"abstract":"<p><p>Glioblastoma (GBM) is a primary brain tumor, characterized by rapid progression, high recurrence rates, and resistance to standard therapies. Current treatment modalities provide limited survival benefits, highlighting the need for novel therapeutic strategies. This retrospective study evaluated the efficacy of autologous formalin-fixed tumor vaccine (AFTV) in 375 patients with newly diagnosed GBM. Patients receiving AFTV therapy (n = 164) showed significantly improved progression-free survival (PFS; 14.0 months vs. 8.7 months, p = 0.03) and overall survival (OS; 32.0 months vs. 21.9 months, p < 0.01) compared with the non-AFTV group (n = 211). Subgroup analyses revealed that AFTV therapy was particularly effective in patients with wild-type IDH tumors and those negative for PD-L1 and p53 expression. In contrast, patients whose tumors were positive for both PD-L1 and p53 exhibited significantly poorer outcomes. These findings suggest that the combination of PD-L1 and p53 status may serve as a useful biomarker for predicting AFTV responsiveness, reflecting the influence of the immunosuppressive tumor microenvironment on treatment efficacy. These findings establish AFTV as a promising treatment option for GBM and highlight the importance of molecular profiling in treatment selection. Future studies should explore combining AFTV with immune checkpoint inhibitors to enhance efficacy in PD-L1-positive cases.</p>","PeriodicalId":9226,"journal":{"name":"Brain Tumor Pathology","volume":" ","pages":"76-86"},"PeriodicalIF":3.0000,"publicationDate":"2025-07-01","publicationTypes":"Journal Article","fieldsOfStudy":null,"isOpenAccess":false,"openAccessPdf":"https://www.ncbi.nlm.nih.gov/pmc/articles/PMC12408717/pdf/","citationCount":"0","resultStr":null,"platform":"Semanticscholar","paperid":null,"PeriodicalName":"Brain Tumor Pathology","FirstCategoryId":"3","ListUrlMain":"https://doi.org/10.1007/s10014-025-00507-1","RegionNum":3,"RegionCategory":"医学","ArticlePicture":[],"TitleCN":null,"AbstractTextCN":null,"PMCID":null,"EPubDate":"2025/8/7 0:00:00","PubModel":"Epub","JCR":"Q2","JCRName":"CLINICAL NEUROLOGY","Score":null,"Total":0}
引用次数: 0

Abstract

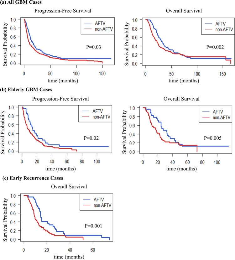
Glioblastoma (GBM) is a primary brain tumor, characterized by rapid progression, high recurrence rates, and resistance to standard therapies. Current treatment modalities provide limited survival benefits, highlighting the need for novel therapeutic strategies. This retrospective study evaluated the efficacy of autologous formalin-fixed tumor vaccine (AFTV) in 375 patients with newly diagnosed GBM. Patients receiving AFTV therapy (n = 164) showed significantly improved progression-free survival (PFS; 14.0 months vs. 8.7 months, p = 0.03) and overall survival (OS; 32.0 months vs. 21.9 months, p < 0.01) compared with the non-AFTV group (n = 211). Subgroup analyses revealed that AFTV therapy was particularly effective in patients with wild-type IDH tumors and those negative for PD-L1 and p53 expression. In contrast, patients whose tumors were positive for both PD-L1 and p53 exhibited significantly poorer outcomes. These findings suggest that the combination of PD-L1 and p53 status may serve as a useful biomarker for predicting AFTV responsiveness, reflecting the influence of the immunosuppressive tumor microenvironment on treatment efficacy. These findings establish AFTV as a promising treatment option for GBM and highlight the importance of molecular profiling in treatment selection. Future studies should explore combining AFTV with immune checkpoint inhibitors to enhance efficacy in PD-L1-positive cases.

Abstract Image

Abstract Image

Abstract Image

自体福尔马林固定肿瘤疫苗(AFTV)治疗、分子病理标记和胶质母细胞瘤生存结局之间的关系
胶质母细胞瘤(GBM)是一种原发性脑肿瘤,其特点是进展迅速,复发率高,对标准治疗有耐药性。目前的治疗方式提供有限的生存效益,强调需要新的治疗策略。本回顾性研究评估了自体福尔马林固定肿瘤疫苗(AFTV)在375例新诊断的GBM患者中的疗效。接受AFTV治疗的患者(n = 164)显示无进展生存期(PFS;14.0个月vs. 8.7个月,p = 0.03)和总生存期(OS;32.0个月vs. 21.9个月,p
本文章由计算机程序翻译,如有差异,请以英文原文为准。
求助全文
约1分钟内获得全文 求助全文
来源期刊
Brain Tumor Pathology
Brain Tumor Pathology 医学-病理学
CiteScore
5.40
自引率
9.10%
发文量
30
审稿时长
>12 weeks
期刊介绍: Brain Tumor Pathology is the official journal of the Japan Society of Brain Tumor Pathology. This international journal documents the latest research and topical debate in all clinical and experimental fields relating to brain tumors, especially brain tumor pathology. The journal has been published since 1983 and has been recognized worldwide as a unique journal of high quality. The journal welcomes the submission of manuscripts from any country. Membership in the society is not a prerequisite for submission. The journal publishes original articles, case reports, rapid short communications, instructional lectures, review articles, letters to the editor, and topics.Review articles and Topics may be recommended at the annual meeting of the Japan Society of Brain Tumor Pathology. All contributions should be aimed at promoting international scientific collaboration.
×
引用
GB/T 7714-2015
复制
MLA
复制
APA
复制
导出至
BibTeX EndNote RefMan NoteFirst NoteExpress
×
提示
您的信息不完整,为了账户安全,请先补充。
现在去补充
×
提示
您因"违规操作"
具体请查看互助需知
我知道了
×
提示
确定
请完成安全验证×
copy
已复制链接
快去分享给好友吧!
我知道了
右上角分享
点击右上角分享
0
联系我们:info@booksci.cn Book学术提供免费学术资源搜索服务,方便国内外学者检索中英文文献。致力于提供最便捷和优质的服务体验。 Copyright © 2023 布克学术 All rights reserved.
京ICP备2023020795号-1
ghs 京公网安备 11010802042870号
Book学术文献互助
Book学术文献互助群
群 号:604180095
Book学术官方微信