ARDS severity in COVID-19: a case-control study of laboratory biomarkers and IL-10 SNP analysis.

IF 1.6 4区 医学 Q2 MEDICINE, GENERAL & INTERNAL
Upsala journal of medical sciences Pub Date : 2025-07-07 eCollection Date: 2025-01-01 DOI:10.48101/ujms.v130.11515
Shukur Wasman Smail, Niaz Albarzinji, Karim Jalal Karim, Rebaz Hamza Salih, Christer Janson
{"title":"ARDS severity in COVID-19: a case-control study of laboratory biomarkers and IL-10 SNP analysis.","authors":"Shukur Wasman Smail, Niaz Albarzinji, Karim Jalal Karim, Rebaz Hamza Salih, Christer Janson","doi":"10.48101/ujms.v130.11515","DOIUrl":null,"url":null,"abstract":"<p><strong>Background: </strong>Acute respiratory distress syndrome (ARDS), which is often observed in severe cases of coronavirus disease 2019 (COVID-19), is known to be a major contributor to higher mortality rates. This study assesses how hematological parameters, inflammatory biomarkers, cytokines, and the -1,082 A/G polymorphism are associated with ARDS severity in COVID-19 patients.</p><p><strong>Methods: </strong>Following exclusions, a 6-month prospective case-control study included 82 healthy controls (HCs) and 158 COVID-19 patients with varying severities of ARDS (mild: 73, moderate: 53, and severe: 32). Blood samples were collected at admission, and laboratory biomarkers were assessed using various methods. Statistical analyses included one-way analysis of variance with Tukey's test for group comparisons, Pearson correlation, and receiver operating characteristic curve for analyzing independent associations with COVID-19 severity. Multiple linear regression and chi-square tests were used to evaluate quantitative outcomes and categorical associations, respectively.</p><p><strong>Results: </strong>Severe ARDS patients exhibited higher C-reactive protein (CRP) levels compared to HCs. Compared to HCs, patients with moderate and severe ARDS had higher neutrophil to lymphocyte ratio (NLR), neutrophil counts, tumor necrosis factor-alpha, and interleukin-10 (IL-10), as well as lower lymphocyte counts and reduced partial pressure of oxygen/fraction of inspired oxygen (PaO<sub>2</sub>/FiO<sub>2</sub>) ratio. IL-10, body mass index, CRP, and NLR were associated with reduced PaO<sub>2</sub>/FiO<sub>2</sub> ratio. IL-10 and CRP had the highest area under curve values toward ARDS severity. COVID-19 patients possessing the -1,082 A/G single nucleotide IL-10 GG and GA genotypes and the G allele presented with less severe ARDS.</p><p><strong>Conclusion: </strong>Hematological indices (neutrophil count and NLR), CRP, and serum IL-10 hold promise in monitoring ARDS severity in COVID-19 patients. In addition, COVID-19 patients with GG and AG genotypes and the G allele of the IL-10 gene's-1,082 A/G polymorphism experience less severe ARDS. This highlights the potential protective role of IL-10 genetic variation in modulating the severity of inflammatory responses during severe acute respiratory syndrome-coronavirus-2 infection and may serve as a useful genetic marker for risk stratification in clinical settings.</p>","PeriodicalId":23458,"journal":{"name":"Upsala journal of medical sciences","volume":"130 ","pages":""},"PeriodicalIF":1.6000,"publicationDate":"2025-07-07","publicationTypes":"Journal Article","fieldsOfStudy":null,"isOpenAccess":false,"openAccessPdf":"https://www.ncbi.nlm.nih.gov/pmc/articles/PMC12320925/pdf/","citationCount":"0","resultStr":null,"platform":"Semanticscholar","paperid":null,"PeriodicalName":"Upsala journal of medical sciences","FirstCategoryId":"3","ListUrlMain":"https://doi.org/10.48101/ujms.v130.11515","RegionNum":4,"RegionCategory":"医学","ArticlePicture":[],"TitleCN":null,"AbstractTextCN":null,"PMCID":null,"EPubDate":"2025/1/1 0:00:00","PubModel":"eCollection","JCR":"Q2","JCRName":"MEDICINE, GENERAL & INTERNAL","Score":null,"Total":0}
引用次数: 0

Abstract

Background: Acute respiratory distress syndrome (ARDS), which is often observed in severe cases of coronavirus disease 2019 (COVID-19), is known to be a major contributor to higher mortality rates. This study assesses how hematological parameters, inflammatory biomarkers, cytokines, and the -1,082 A/G polymorphism are associated with ARDS severity in COVID-19 patients.

Methods: Following exclusions, a 6-month prospective case-control study included 82 healthy controls (HCs) and 158 COVID-19 patients with varying severities of ARDS (mild: 73, moderate: 53, and severe: 32). Blood samples were collected at admission, and laboratory biomarkers were assessed using various methods. Statistical analyses included one-way analysis of variance with Tukey's test for group comparisons, Pearson correlation, and receiver operating characteristic curve for analyzing independent associations with COVID-19 severity. Multiple linear regression and chi-square tests were used to evaluate quantitative outcomes and categorical associations, respectively.

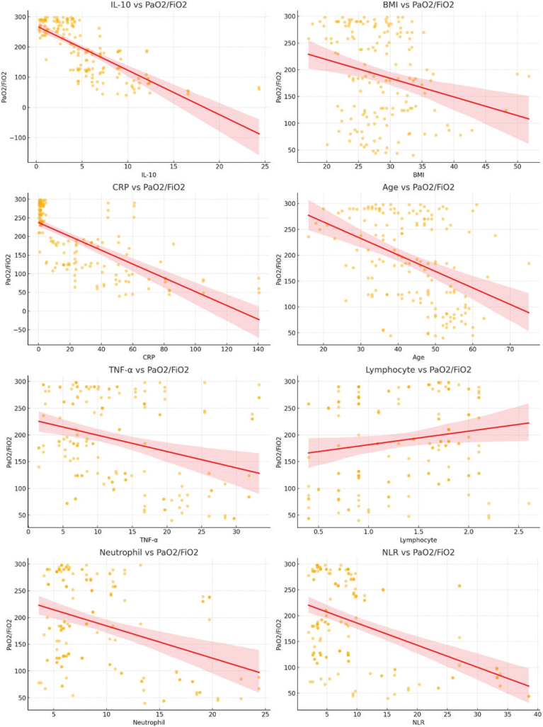
Results: Severe ARDS patients exhibited higher C-reactive protein (CRP) levels compared to HCs. Compared to HCs, patients with moderate and severe ARDS had higher neutrophil to lymphocyte ratio (NLR), neutrophil counts, tumor necrosis factor-alpha, and interleukin-10 (IL-10), as well as lower lymphocyte counts and reduced partial pressure of oxygen/fraction of inspired oxygen (PaO2/FiO2) ratio. IL-10, body mass index, CRP, and NLR were associated with reduced PaO2/FiO2 ratio. IL-10 and CRP had the highest area under curve values toward ARDS severity. COVID-19 patients possessing the -1,082 A/G single nucleotide IL-10 GG and GA genotypes and the G allele presented with less severe ARDS.

Conclusion: Hematological indices (neutrophil count and NLR), CRP, and serum IL-10 hold promise in monitoring ARDS severity in COVID-19 patients. In addition, COVID-19 patients with GG and AG genotypes and the G allele of the IL-10 gene's-1,082 A/G polymorphism experience less severe ARDS. This highlights the potential protective role of IL-10 genetic variation in modulating the severity of inflammatory responses during severe acute respiratory syndrome-coronavirus-2 infection and may serve as a useful genetic marker for risk stratification in clinical settings.

Abstract Image

Abstract Image

Abstract Image

COVID-19的ARDS严重程度:实验室生物标志物和IL-10 SNP分析的病例对照研究
背景:急性呼吸窘迫综合征(ARDS)是2019冠状病毒病(COVID-19)重症病例中常见的症状,是导致死亡率升高的主要原因。本研究评估了血液学参数、炎症生物标志物、细胞因子和- 1082 A/G多态性与COVID-19患者ARDS严重程度的相关性。方法:在排除后,一项为期6个月的前瞻性病例对照研究包括82名健康对照(hc)和158名不同严重程度的ARDS患者(轻度:73例,中度:53例,重度:32例)。入院时采集血液样本,并使用各种方法评估实验室生物标志物。统计分析包括用Tukey组比较检验进行单向方差分析、Pearson相关性分析和用受试者工作特征曲线分析与COVID-19严重程度的独立关联。采用多元线性回归和卡方检验分别评价定量结果和分类关联。结果:严重ARDS患者c反应蛋白(CRP)水平高于hc患者。与hc相比,中重度ARDS患者中性粒细胞与淋巴细胞比值(NLR)、中性粒细胞计数、肿瘤坏死因子- α和白细胞介素-10 (IL-10)较高,淋巴细胞计数较低,氧分压/吸入氧分数(PaO2/FiO2)比降低。IL-10、体重指数、CRP和NLR与PaO2/FiO2比值降低相关。IL-10和CRP对ARDS严重程度的曲线下面积最大。具有- 1082 A/G单核苷酸IL-10 GG和GA基因型以及G等位基因的COVID-19患者出现较轻的ARDS。结论:血液学指标(中性粒细胞计数和NLR)、CRP和血清IL-10在监测COVID-19患者ARDS严重程度方面有希望。此外,GG和AG基因型以及IL-10基因s- 1082 A/G多态性的G等位基因的COVID-19患者发生ARDS的严重程度较轻。这突出了IL-10遗传变异在严重急性呼吸综合征-冠状病毒-2感染期间调节炎症反应严重程度方面的潜在保护作用,并可能作为临床环境中危险分层的有用遗传标记。
本文章由计算机程序翻译,如有差异,请以英文原文为准。
求助全文
约1分钟内获得全文 求助全文
来源期刊
Upsala journal of medical sciences
Upsala journal of medical sciences 医学-医学:内科
CiteScore
5.60
自引率
0.00%
发文量
31
审稿时长
6-12 weeks
期刊介绍: Upsala Journal of Medical Sciences is published for the Upsala Medical Society. It has been published since 1865 and is one of the oldest medical journals in Sweden. The journal publishes clinical and experimental original works in the medical field. Although focusing on regional issues, the journal always welcomes contributions from outside Sweden. Specially extended issues are published occasionally, dealing with special topics, congress proceedings and academic dissertations.
×
引用
GB/T 7714-2015
复制
MLA
复制
APA
复制
导出至
BibTeX EndNote RefMan NoteFirst NoteExpress
×
提示
您的信息不完整,为了账户安全,请先补充。
现在去补充
×
提示
您因"违规操作"
具体请查看互助需知
我知道了
×
提示
确定
请完成安全验证×
copy
已复制链接
快去分享给好友吧!
我知道了
右上角分享
点击右上角分享
0
联系我们:info@booksci.cn Book学术提供免费学术资源搜索服务,方便国内外学者检索中英文文献。致力于提供最便捷和优质的服务体验。 Copyright © 2023 布克学术 All rights reserved.
京ICP备2023020795号-1
ghs 京公网安备 11010802042870号
Book学术文献互助
Book学术文献互助群
群 号:604180095
Book学术官方微信