Combining mpox vaccination and behavioural changes to control possible future mpox resurgence among men who have sex with men: a mathematical modelling study.

BMJ public health Pub Date : 2025-07-31 eCollection Date: 2025-01-01 DOI:10.1136/bmjph-2025-002682
Maria Xiridou, Daphne Amanda van Wees, Philippe Adam, Fuminari Miura, Eline Op de Coul, Maarten Reitsema, John de Wit, Birgit van Benthem, Jacco Wallinga
{"title":"Combining mpox vaccination and behavioural changes to control possible future mpox resurgence among men who have sex with men: a mathematical modelling study.","authors":"Maria Xiridou, Daphne Amanda van Wees, Philippe Adam, Fuminari Miura, Eline Op de Coul, Maarten Reitsema, John de Wit, Birgit van Benthem, Jacco Wallinga","doi":"10.1136/bmjph-2025-002682","DOIUrl":null,"url":null,"abstract":"<p><strong>Introduction: </strong>The 2022 outbreak of mpox subclade IIb in the Netherlands affected primarily men who have sex with men (MSM). Despite the sharp decline in cases, concerns remain about future mpox outbreaks. This study investigated the effect of mpox introductions, accounting for vaccination, behavioural changes and introductions of subclades with different characteristics.</p><p><strong>Methods: </strong>This study developed a compartmental model for mpox among MSM. Three levels of sexual activity were distinguished: low, medium and high. The group with high activity accounted for 5% of the population with the highest numbers of sexual partners, and the group with low activity included 60% with the lowest numbers of partners. In the model, individuals were allowed to change sexual activity level. Several scenarios with mpox introductions were examined.</p><p><strong>Results: </strong>In January 2024, 54% of MSM with high sexual activity level had immunity; this declined to 39% a year later due to changes in sexual activity. The introduction of five cases in May 2025 resulted in 759 cases in the first 4 months without vaccination after 2023; however, the number of cases was 34% or 48% lower with 3000 vaccinations in August-October 2024 or February-April 2025, respectively. With earlier initiation or greater magnitude of behavioural adaptations, the number of mpox cases was 17%-51% smaller. The introduction of a subclade with 10% higher transmission probability than subclade IIb resulted in 77% more cases.</p><p><strong>Conclusions: </strong>Owing to changes in sexual activity, the fraction immune in the group with high sexual activity will decline, leading to greater possibilities for future mpox outbreaks. The number of cases can be reduced with preventive vaccination and behavioural adaptations. Recurring vaccination campaigns should prioritise individuals with high sexual activity levels, ensuring those entering high-activity groups are reached. Campaigns promoting timely behavioural changes remain crucial.</p>","PeriodicalId":101362,"journal":{"name":"BMJ public health","volume":"3 2","pages":"e002682"},"PeriodicalIF":0.0000,"publicationDate":"2025-07-31","publicationTypes":"Journal Article","fieldsOfStudy":null,"isOpenAccess":false,"openAccessPdf":"https://www.ncbi.nlm.nih.gov/pmc/articles/PMC12315014/pdf/","citationCount":"0","resultStr":null,"platform":"Semanticscholar","paperid":null,"PeriodicalName":"BMJ public health","FirstCategoryId":"1085","ListUrlMain":"https://doi.org/10.1136/bmjph-2025-002682","RegionNum":0,"RegionCategory":null,"ArticlePicture":[],"TitleCN":null,"AbstractTextCN":null,"PMCID":null,"EPubDate":"2025/1/1 0:00:00","PubModel":"eCollection","JCR":"","JCRName":"","Score":null,"Total":0}
引用次数: 0

Abstract

Introduction: The 2022 outbreak of mpox subclade IIb in the Netherlands affected primarily men who have sex with men (MSM). Despite the sharp decline in cases, concerns remain about future mpox outbreaks. This study investigated the effect of mpox introductions, accounting for vaccination, behavioural changes and introductions of subclades with different characteristics.

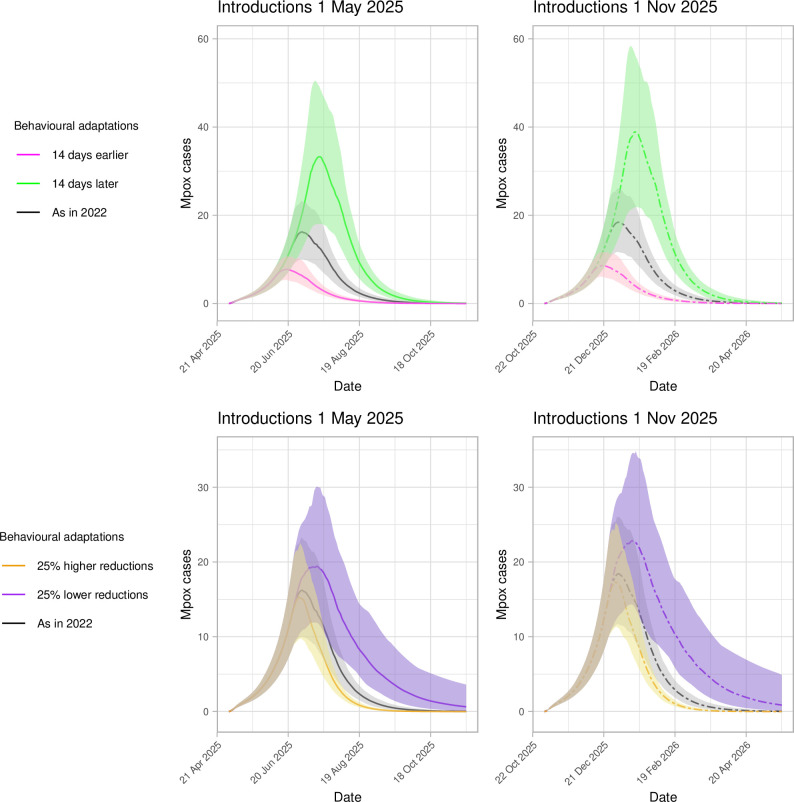
Methods: This study developed a compartmental model for mpox among MSM. Three levels of sexual activity were distinguished: low, medium and high. The group with high activity accounted for 5% of the population with the highest numbers of sexual partners, and the group with low activity included 60% with the lowest numbers of partners. In the model, individuals were allowed to change sexual activity level. Several scenarios with mpox introductions were examined.

Results: In January 2024, 54% of MSM with high sexual activity level had immunity; this declined to 39% a year later due to changes in sexual activity. The introduction of five cases in May 2025 resulted in 759 cases in the first 4 months without vaccination after 2023; however, the number of cases was 34% or 48% lower with 3000 vaccinations in August-October 2024 or February-April 2025, respectively. With earlier initiation or greater magnitude of behavioural adaptations, the number of mpox cases was 17%-51% smaller. The introduction of a subclade with 10% higher transmission probability than subclade IIb resulted in 77% more cases.

Conclusions: Owing to changes in sexual activity, the fraction immune in the group with high sexual activity will decline, leading to greater possibilities for future mpox outbreaks. The number of cases can be reduced with preventive vaccination and behavioural adaptations. Recurring vaccination campaigns should prioritise individuals with high sexual activity levels, ensuring those entering high-activity groups are reached. Campaigns promoting timely behavioural changes remain crucial.

Abstract Image

Abstract Image

Abstract Image

结合m痘疫苗接种和行为改变来控制未来可能在男男性行为者中再次出现的m痘:一项数学模型研究。
简介:2022年荷兰爆发的mpox亚分支IIb主要影响男男性行为者(MSM)。尽管病例数量急剧下降,但人们仍对未来的麻疹疫情感到担忧。本研究调查了m痘引入的影响,考虑了疫苗接种、行为变化和不同特征亚支系的引入。方法:建立男男性接触者间室m痘模型。性活动分为三个等级:低、中、高。高运动量的人群占性伴侣数量最多的人群的5%,低运动量的人群占性伴侣数量最少的人群的60%。在这个模型中,个体被允许改变性活动水平。研究了引入mpox的几种情况。结果:2024年1月,性活动水平高的男同性恋者中有54%免疫;一年后,由于性行为的改变,这一比例降至39%。2025年5月出现的5例病例导致2023年后未接种疫苗的头4个月出现759例病例;然而,在2024年8月至10月或2025年2月至4月分别接种了3000次疫苗,病例数减少了34%或48%。由于开始时间较早或行为适应程度较高,麻疹病例数减少17%-51%。引入传播概率比IIb亚支系高10%的亚支系导致77%的病例增加。结论:由于性活动的改变,性活动高的人群中免疫的比例会下降,导致未来m痘爆发的可能性更大。通过预防接种和行为适应,可以减少病例数。反复进行的疫苗接种运动应优先考虑性活动水平高的个体,确保为进入高活动群体的人接种疫苗。促进及时改变行为的运动仍然至关重要。
本文章由计算机程序翻译,如有差异,请以英文原文为准。
求助全文
约1分钟内获得全文 求助全文
来源期刊
自引率
0.00%
发文量
0
×
引用
GB/T 7714-2015
复制
MLA
复制
APA
复制
导出至
BibTeX EndNote RefMan NoteFirst NoteExpress
×
提示
您的信息不完整,为了账户安全,请先补充。
现在去补充
×
提示
您因"违规操作"
具体请查看互助需知
我知道了
×
提示
确定
请完成安全验证×
copy
已复制链接
快去分享给好友吧!
我知道了
右上角分享
点击右上角分享
0
联系我们:info@booksci.cn Book学术提供免费学术资源搜索服务,方便国内外学者检索中英文文献。致力于提供最便捷和优质的服务体验。 Copyright © 2023 布克学术 All rights reserved.
京ICP备2023020795号-1
ghs 京公网安备 11010802042870号
Book学术文献互助
Book学术文献互助群
群 号:604180095
Book学术官方微信