Comparison of outcomes in the management of Type II odontoid fractures in young patients - Is surgery overrated?

IF 1.3 Q2 OTORHINOLARYNGOLOGY
Jitesh Manghwani, Ganesh Kumar, Nagaraju Venishetty, Anuj Mundra
{"title":"Comparison of outcomes in the management of Type II odontoid fractures in young patients - Is surgery overrated?","authors":"Jitesh Manghwani, Ganesh Kumar, Nagaraju Venishetty, Anuj Mundra","doi":"10.4103/jcvjs.jcvjs_34_25","DOIUrl":null,"url":null,"abstract":"<p><strong>Introduction: </strong>The options for the management of type II odontoid fractures in young patients include anterior screw fixation, posterior spinal fusion, or halo-vest immobilization (HVI). However, there is a recent trend away from nonoperative management and an increase in primary operative stabilization across several centers. Hence, our study aims to compare the functional and radiological outcomes of type II odontoid fractures in young patients managed with HVI and surgery.</p><p><strong>Materials and methods: </strong>A retrospective analysis of 70 patients with type II odontoid fracture who were managed in our institution with a mean age of 47 years was included in our study. The clinical details included the Neck Disability Index (NDI), Visual Analog Scale (VAS) for neck pain, and S-Range of Movement (ROM)-Neck score. Radiological details included union status, atlanto-dens interval, amount of displacement and angulation, and transverse ligament injury. Both the clinical and radiological parameters were compared between the patients who underwent HVI (<i>n</i> = 28) and surgery (<i>n</i> = 42).</p><p><strong>Results: </strong>The mean ± standard deviation follow-up duration was 4.2 ± 2.5 years in the HVI group and 3.8 ± 2.7 years in the surgery group. Of the clinical parameters, the S-ROM-Neck score was significantly better in the HVI group than in the surgery group (<i>P</i> < 0.001). The length of hospitalization was much shorter in the HVI group (<i>P</i> < 0.001). There were no differences in NDI, VAS for neck pain, and other radiological parameters.</p><p><strong>Conclusion: </strong>For type II odontoid fractures in young patients, HVI had better clinical outcomes compared to the surgery and should be considered the first line of management.</p>","PeriodicalId":51721,"journal":{"name":"Journal of Craniovertebral Junction and Spine","volume":"16 2","pages":"224-231"},"PeriodicalIF":1.3000,"publicationDate":"2025-04-01","publicationTypes":"Journal Article","fieldsOfStudy":null,"isOpenAccess":false,"openAccessPdf":"https://www.ncbi.nlm.nih.gov/pmc/articles/PMC12313038/pdf/","citationCount":"0","resultStr":null,"platform":"Semanticscholar","paperid":null,"PeriodicalName":"Journal of Craniovertebral Junction and Spine","FirstCategoryId":"1085","ListUrlMain":"https://doi.org/10.4103/jcvjs.jcvjs_34_25","RegionNum":0,"RegionCategory":null,"ArticlePicture":[],"TitleCN":null,"AbstractTextCN":null,"PMCID":null,"EPubDate":"2025/7/3 0:00:00","PubModel":"Epub","JCR":"Q2","JCRName":"OTORHINOLARYNGOLOGY","Score":null,"Total":0}
引用次数: 0

Abstract

Introduction: The options for the management of type II odontoid fractures in young patients include anterior screw fixation, posterior spinal fusion, or halo-vest immobilization (HVI). However, there is a recent trend away from nonoperative management and an increase in primary operative stabilization across several centers. Hence, our study aims to compare the functional and radiological outcomes of type II odontoid fractures in young patients managed with HVI and surgery.

Materials and methods: A retrospective analysis of 70 patients with type II odontoid fracture who were managed in our institution with a mean age of 47 years was included in our study. The clinical details included the Neck Disability Index (NDI), Visual Analog Scale (VAS) for neck pain, and S-Range of Movement (ROM)-Neck score. Radiological details included union status, atlanto-dens interval, amount of displacement and angulation, and transverse ligament injury. Both the clinical and radiological parameters were compared between the patients who underwent HVI (n = 28) and surgery (n = 42).

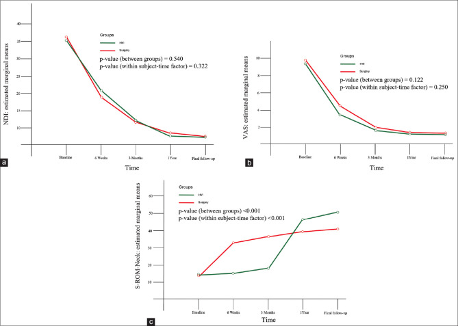
Results: The mean ± standard deviation follow-up duration was 4.2 ± 2.5 years in the HVI group and 3.8 ± 2.7 years in the surgery group. Of the clinical parameters, the S-ROM-Neck score was significantly better in the HVI group than in the surgery group (P < 0.001). The length of hospitalization was much shorter in the HVI group (P < 0.001). There were no differences in NDI, VAS for neck pain, and other radiological parameters.

Conclusion: For type II odontoid fractures in young patients, HVI had better clinical outcomes compared to the surgery and should be considered the first line of management.

Abstract Image

Abstract Image

Abstract Image

年轻患者II型齿状突骨折治疗结果的比较——手术是否被高估了?
年轻患者II型齿状突骨折的治疗方案包括前路螺钉固定、后路脊柱融合或halo-vest固定(HVI)。然而,最近在几个中心,非手术治疗和初级手术稳定的趋势有所减少。因此,我们的研究旨在比较HVI和手术治疗的年轻患者II型齿状突骨折的功能和放射学结果。材料与方法:回顾性分析我院收治的70例II型齿状突骨折患者,平均年龄47岁。临床细节包括颈部残疾指数(NDI)、颈部疼痛的视觉模拟量表(VAS)和s -活动范围(ROM)-颈部评分。放射学细节包括愈合状况、寰突间距、移位和成角量以及横韧带损伤。比较28例HVI患者和42例手术患者的临床和影像学参数。结果:HVI组的平均±标准差随访时间为4.2±2.5年,手术组为3.8±2.7年。临床参数中,HVI组S-ROM-Neck评分明显优于手术组(P < 0.001)。HVI组住院时间明显缩短(P < 0.001)。两组在NDI、颈部疼痛VAS和其他放射学参数上没有差异。结论:对于年轻的II型齿状突骨折患者,HVI比手术有更好的临床效果,应考虑作为一线治疗方法。
本文章由计算机程序翻译,如有差异,请以英文原文为准。
求助全文
约1分钟内获得全文 求助全文
来源期刊
CiteScore
1.90
自引率
9.10%
发文量
57
审稿时长
12 weeks
×
引用
GB/T 7714-2015
复制
MLA
复制
APA
复制
导出至
BibTeX EndNote RefMan NoteFirst NoteExpress
×
提示
您的信息不完整,为了账户安全,请先补充。
现在去补充
×
提示
您因"违规操作"
具体请查看互助需知
我知道了
×
提示
确定
请完成安全验证×
copy
已复制链接
快去分享给好友吧!
我知道了
右上角分享
点击右上角分享
0
联系我们:info@booksci.cn Book学术提供免费学术资源搜索服务,方便国内外学者检索中英文文献。致力于提供最便捷和优质的服务体验。 Copyright © 2023 布克学术 All rights reserved.
京ICP备2023020795号-1
ghs 京公网安备 11010802042870号
Book学术文献互助
Book学术文献互助群
群 号:604180095
Book学术官方微信