circGPAcorr: an integrative tool for functional annotation of circular RNAs using expression data.

IF 6.1 3区 生物学 Q1 MATHEMATICAL & COMPUTATIONAL BIOLOGY
Petr Ryšavý, Alikhan Anuarbekov, Michaela Dostálová Merkerová, Jiří Kléma
{"title":"circGPAcorr: an integrative tool for functional annotation of circular RNAs using expression data.","authors":"Petr Ryšavý, Alikhan Anuarbekov, Michaela Dostálová Merkerová, Jiří Kléma","doi":"10.1186/s13040-025-00468-3","DOIUrl":null,"url":null,"abstract":"<p><p>Circular RNAs play a crucial role in cell development and serve as biomarkers in many diseases. Nevertheless, the function of many circular RNAs remains unknown. This function can be inferred from sponging and silencing interactions with micro RNAs and messenger RNAs. We recently proposed a network-based circRNA functional annotation tool, circGPA. However, validation data for RNA interactions are often sparse and predicted interactions contain many false positives. To address this issue, we propose an extended algorithm named circGPAcorr, which uses expression data to weight the interactions, resulting in more precise functional annotation. To assess the significance of the results, the p-value is calculated using reduction to circGPA, a generating-polynomial-based method. We show that the problem is #P-hard, and thus computationally difficult. The circGPAcorr algorithm is tested on publicly available myelodysplastic syndromes expression data, providing gene ontology annotations that align with the literature on myelodysplastic syndromes. At the same time, we demonstrate its performance in the circRNA-disease annotation task.</p>","PeriodicalId":48947,"journal":{"name":"Biodata Mining","volume":"18 1","pages":"50"},"PeriodicalIF":6.1000,"publicationDate":"2025-08-01","publicationTypes":"Journal Article","fieldsOfStudy":null,"isOpenAccess":false,"openAccessPdf":"https://www.ncbi.nlm.nih.gov/pmc/articles/PMC12317645/pdf/","citationCount":"0","resultStr":null,"platform":"Semanticscholar","paperid":null,"PeriodicalName":"Biodata Mining","FirstCategoryId":"99","ListUrlMain":"https://doi.org/10.1186/s13040-025-00468-3","RegionNum":3,"RegionCategory":"生物学","ArticlePicture":[],"TitleCN":null,"AbstractTextCN":null,"PMCID":null,"EPubDate":"","PubModel":"","JCR":"Q1","JCRName":"MATHEMATICAL & COMPUTATIONAL BIOLOGY","Score":null,"Total":0}
引用次数: 0

Abstract

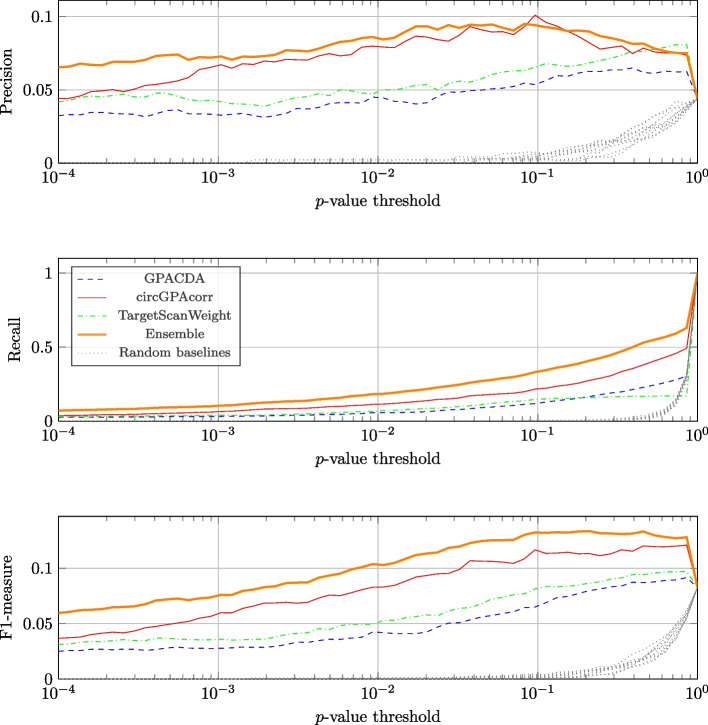
Circular RNAs play a crucial role in cell development and serve as biomarkers in many diseases. Nevertheless, the function of many circular RNAs remains unknown. This function can be inferred from sponging and silencing interactions with micro RNAs and messenger RNAs. We recently proposed a network-based circRNA functional annotation tool, circGPA. However, validation data for RNA interactions are often sparse and predicted interactions contain many false positives. To address this issue, we propose an extended algorithm named circGPAcorr, which uses expression data to weight the interactions, resulting in more precise functional annotation. To assess the significance of the results, the p-value is calculated using reduction to circGPA, a generating-polynomial-based method. We show that the problem is #P-hard, and thus computationally difficult. The circGPAcorr algorithm is tested on publicly available myelodysplastic syndromes expression data, providing gene ontology annotations that align with the literature on myelodysplastic syndromes. At the same time, we demonstrate its performance in the circRNA-disease annotation task.

Abstract Image

Abstract Image

Abstract Image

circGPAcorr:利用表达数据对环状rna进行功能注释的集成工具。
环状rna在细胞发育中起着至关重要的作用,并在许多疾病中作为生物标志物。然而,许多环状rna的功能仍然未知。这种功能可以通过海绵和沉默与微rna和信使rna的相互作用来推断。我们最近提出了一个基于网络的circRNA功能注释工具circGPA。然而,RNA相互作用的验证数据通常是稀疏的,并且预测的相互作用包含许多假阳性。为了解决这个问题,我们提出了一个名为circGPAcorr的扩展算法,该算法使用表达式数据来权衡交互,从而产生更精确的功能注释。为了评估结果的显著性,p值是使用一种基于生成多项式的方法来计算的。我们证明这个问题是#P-hard的,因此计算困难。circGPAcorr算法在公开可用的骨髓增生异常综合征表达数据上进行了测试,提供了与骨髓增生异常综合征文献一致的基因本体注释。同时,我们展示了它在circRNA-disease注释任务中的表现。
本文章由计算机程序翻译,如有差异,请以英文原文为准。
求助全文
约1分钟内获得全文 求助全文
来源期刊
Biodata Mining
Biodata Mining MATHEMATICAL & COMPUTATIONAL BIOLOGY-
CiteScore
7.90
自引率
0.00%
发文量
28
审稿时长
23 weeks
期刊介绍: BioData Mining is an open access, open peer-reviewed journal encompassing research on all aspects of data mining applied to high-dimensional biological and biomedical data, focusing on computational aspects of knowledge discovery from large-scale genetic, transcriptomic, genomic, proteomic, and metabolomic data. Topical areas include, but are not limited to: -Development, evaluation, and application of novel data mining and machine learning algorithms. -Adaptation, evaluation, and application of traditional data mining and machine learning algorithms. -Open-source software for the application of data mining and machine learning algorithms. -Design, development and integration of databases, software and web services for the storage, management, retrieval, and analysis of data from large scale studies. -Pre-processing, post-processing, modeling, and interpretation of data mining and machine learning results for biological interpretation and knowledge discovery.
×
引用
GB/T 7714-2015
复制
MLA
复制
APA
复制
导出至
BibTeX EndNote RefMan NoteFirst NoteExpress
×
提示
您的信息不完整,为了账户安全,请先补充。
现在去补充
×
提示
您因"违规操作"
具体请查看互助需知
我知道了
×
提示
确定
请完成安全验证×
copy
已复制链接
快去分享给好友吧!
我知道了
右上角分享
点击右上角分享
0
联系我们:info@booksci.cn Book学术提供免费学术资源搜索服务,方便国内外学者检索中英文文献。致力于提供最便捷和优质的服务体验。 Copyright © 2023 布克学术 All rights reserved.
京ICP备2023020795号-1
ghs 京公网安备 11010802042870号
Book学术文献互助
Book学术文献互助群
群 号:604180095
Book学术官方微信