Epidemiology of Thrombotic Thrombocytopenia Syndrome 2011 to 2022: English Sentinel Network Cohort Studies.

IF 3.8 2区 医学 Q1 PHARMACOLOGY & PHARMACY
Drug Safety Pub Date : 2025-10-01 Epub Date: 2025-07-31 DOI:10.1007/s40264-025-01566-1
José M Ordóñez-Mena, Debasish Kar, Xuejuan Fan, Filipa Ferreira, Sneha N Anand, Deborah Layton, David Clifton, Mark Joy, Anshul Thakur, Anu Alessi, Andrew Lee, Lisa Mather, Simon de Lusignan
{"title":"Epidemiology of Thrombotic Thrombocytopenia Syndrome 2011 to 2022: English Sentinel Network Cohort Studies.","authors":"José M Ordóñez-Mena, Debasish Kar, Xuejuan Fan, Filipa Ferreira, Sneha N Anand, Deborah Layton, David Clifton, Mark Joy, Anshul Thakur, Anu Alessi, Andrew Lee, Lisa Mather, Simon de Lusignan","doi":"10.1007/s40264-025-01566-1","DOIUrl":null,"url":null,"abstract":"<p><strong>Background and objective: </strong>Thrombotic thrombocytopenia syndrome (TTS) is a rare condition following vaccination with adenovirus-vectored coronavirus disease 2019 (COVID-19) vaccines. This retrospective analysis of England primary care data aimed to estimate TTS event rates before, during, and after the COVID-19 pandemic, and following AZD1222 (ChAdOx1-nCoV-19) vaccination.</p><p><strong>Methods: </strong>Primary care data on TTS events were collected using the Oxford-Royal College of General Practitioners Research and Surveillance Centre sentinel network. TTS events were defined as thromboembolism with coincident (± 7 days) thrombocytopenia events using Systematized Nomenclature of Medicine clinical terms (the current Brighton Collaboration definition could not be used in the study as data related to specific parameters [e.g., D-dimer or PF4 antibodies] were not available in the primary care database). Multivariable logistic regression analyses were performed to assess the association between covariates and TTS.</p><p><strong>Results: </strong>Incident TTS rates per 100,000 person-years were: 0.42 in a pre-COVID-19 cohort (1 January, 2011-31 December, 2019; 9,062,313 individuals); 0 in 39,448 individuals with confirmed COVID-19 (1 July-31 December, 2020); 0.48 and 0.47 during the pre-vaccination pandemic period spanning 1 January-14 August, 2020 (13,245,710 individuals) and 15 August-31 December, 2020 (13,347,462 individuals); 2.41 in an AZD1222-vaccinated cohort (5,544,761 individuals; 1 January, 2021-4 July, 2022). Multivariable logistic regression analysis of TTS events (- 7/+ 42 days event-window; pre-COVID-19 cohort) showed greater odds in older individuals and high-risk groups as defined by the Joint Committee on Vaccination and Immunization. Thrombotic thrombocytopenia syndrome was rare in all cohorts. Differential covariate distributions precluded comparisons of TTS rates across cohorts. Covariate distributions within thromboembolism and thrombocytopenia cases were comparable to those of TTS cases.</p><p><strong>Conclusions: </strong>Our study, using a previous definition of TTS, reinforces the very rare nature of TTS before and during the pandemic, and before and after the introduction of the AZD1222 vaccine; it also confirms the established very low incident event rate in individuals vaccinated with AZD1222.</p>","PeriodicalId":11382,"journal":{"name":"Drug Safety","volume":" ","pages":"1161-1175"},"PeriodicalIF":3.8000,"publicationDate":"2025-10-01","publicationTypes":"Journal Article","fieldsOfStudy":null,"isOpenAccess":false,"openAccessPdf":"https://www.ncbi.nlm.nih.gov/pmc/articles/PMC12423223/pdf/","citationCount":"0","resultStr":null,"platform":"Semanticscholar","paperid":null,"PeriodicalName":"Drug Safety","FirstCategoryId":"3","ListUrlMain":"https://doi.org/10.1007/s40264-025-01566-1","RegionNum":2,"RegionCategory":"医学","ArticlePicture":[],"TitleCN":null,"AbstractTextCN":null,"PMCID":null,"EPubDate":"2025/7/31 0:00:00","PubModel":"Epub","JCR":"Q1","JCRName":"PHARMACOLOGY & PHARMACY","Score":null,"Total":0}
引用次数: 0

Abstract

Background and objective: Thrombotic thrombocytopenia syndrome (TTS) is a rare condition following vaccination with adenovirus-vectored coronavirus disease 2019 (COVID-19) vaccines. This retrospective analysis of England primary care data aimed to estimate TTS event rates before, during, and after the COVID-19 pandemic, and following AZD1222 (ChAdOx1-nCoV-19) vaccination.

Methods: Primary care data on TTS events were collected using the Oxford-Royal College of General Practitioners Research and Surveillance Centre sentinel network. TTS events were defined as thromboembolism with coincident (± 7 days) thrombocytopenia events using Systematized Nomenclature of Medicine clinical terms (the current Brighton Collaboration definition could not be used in the study as data related to specific parameters [e.g., D-dimer or PF4 antibodies] were not available in the primary care database). Multivariable logistic regression analyses were performed to assess the association between covariates and TTS.

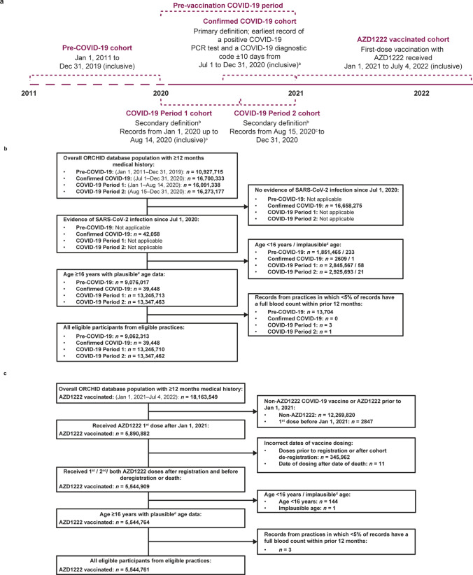
Results: Incident TTS rates per 100,000 person-years were: 0.42 in a pre-COVID-19 cohort (1 January, 2011-31 December, 2019; 9,062,313 individuals); 0 in 39,448 individuals with confirmed COVID-19 (1 July-31 December, 2020); 0.48 and 0.47 during the pre-vaccination pandemic period spanning 1 January-14 August, 2020 (13,245,710 individuals) and 15 August-31 December, 2020 (13,347,462 individuals); 2.41 in an AZD1222-vaccinated cohort (5,544,761 individuals; 1 January, 2021-4 July, 2022). Multivariable logistic regression analysis of TTS events (- 7/+ 42 days event-window; pre-COVID-19 cohort) showed greater odds in older individuals and high-risk groups as defined by the Joint Committee on Vaccination and Immunization. Thrombotic thrombocytopenia syndrome was rare in all cohorts. Differential covariate distributions precluded comparisons of TTS rates across cohorts. Covariate distributions within thromboembolism and thrombocytopenia cases were comparable to those of TTS cases.

Conclusions: Our study, using a previous definition of TTS, reinforces the very rare nature of TTS before and during the pandemic, and before and after the introduction of the AZD1222 vaccine; it also confirms the established very low incident event rate in individuals vaccinated with AZD1222.

Abstract Image

Abstract Image

Abstract Image

2011年至2022年血栓性血小板减少综合征的流行病学:英国哨兵网络队列研究
背景与目的:血栓性血小板减少综合征(TTS)是接种腺病毒载体冠状病毒病2019 (COVID-19)疫苗后的罕见疾病。本研究对英格兰初级保健数据进行回顾性分析,旨在估计COVID-19大流行之前、期间和之后以及接种AZD1222 (ChAdOx1-nCoV-19)疫苗后的TTS发生率。方法:使用牛津-皇家全科医生学院研究和监测中心哨点网络收集TTS事件的初级保健数据。TTS事件被定义为合并血小板减少事件(±7天)的血栓栓塞,使用系统化医学临床术语命名(目前的布莱顿协作定义不能用于研究,因为与特定参数相关的数据[例如,d -二聚体或PF4抗体]在初级保健数据库中不可用)。采用多变量logistic回归分析评估协变量与TTS之间的相关性。结果:在covid -19前队列中(2011年1月1日至2019年12月31日),每10万人年的TTS发生率为0.42;9062313人);2019冠状病毒病确诊病例39448例(2020年7月1日至12月31日);2020年1月1日至8月14日(13,245,710人)和2020年8月15日至12月31日(13,347,462人)接种前大流行期间分别为0.48和0.47;接种azd1222疫苗的队列中有2.41例(5,544,761例;2021年1月1日- 2022年7月4日)。TTS事件多变量logistic回归分析(- 7/+ 42天事件窗口)根据疫苗接种和免疫联合委员会的定义,在老年人和高危人群中,covid -19前队列的发病率更高。血栓性血小板减少综合征在所有队列中都很少见。差异协变量分布排除了跨队列TTS率的比较。血栓栓塞和血小板减少病例的协变量分布与TTS病例相当。结论:我们的研究使用了先前的TTS定义,强调了在大流行之前和期间以及在引入AZD1222疫苗之前和之后TTS的非常罕见的性质;它还证实,接种AZD1222疫苗的个体的既定发病率非常低。
本文章由计算机程序翻译,如有差异,请以英文原文为准。
求助全文
约1分钟内获得全文 求助全文
来源期刊
Drug Safety
Drug Safety 医学-毒理学
CiteScore
7.60
自引率
7.10%
发文量
112
审稿时长
6-12 weeks
期刊介绍: Drug Safety is the official journal of the International Society of Pharmacovigilance. The journal includes: Overviews of contentious or emerging issues. Comprehensive narrative reviews that provide an authoritative source of information on epidemiology, clinical features, prevention and management of adverse effects of individual drugs and drug classes. In-depth benefit-risk assessment of adverse effect and efficacy data for a drug in a defined therapeutic area. Systematic reviews (with or without meta-analyses) that collate empirical evidence to answer a specific research question, using explicit, systematic methods as outlined by the PRISMA statement. Original research articles reporting the results of well-designed studies in disciplines such as pharmacoepidemiology, pharmacovigilance, pharmacology and toxicology, and pharmacogenomics. Editorials and commentaries on topical issues. Additional digital features (including animated abstracts, video abstracts, slide decks, audio slides, instructional videos, infographics, podcasts and animations) can be published with articles; these are designed to increase the visibility, readership and educational value of the journal’s content. In addition, articles published in Drug Safety Drugs may be accompanied by plain language summaries to assist readers who have some knowledge of, but not in-depth expertise in, the area to understand important medical advances.
×
引用
GB/T 7714-2015
复制
MLA
复制
APA
复制
导出至
BibTeX EndNote RefMan NoteFirst NoteExpress
×
提示
您的信息不完整,为了账户安全,请先补充。
现在去补充
×
提示
您因"违规操作"
具体请查看互助需知
我知道了
×
提示
确定
请完成安全验证×
copy
已复制链接
快去分享给好友吧!
我知道了
右上角分享
点击右上角分享
0
联系我们:info@booksci.cn Book学术提供免费学术资源搜索服务,方便国内外学者检索中英文文献。致力于提供最便捷和优质的服务体验。 Copyright © 2023 布克学术 All rights reserved.
京ICP备2023020795号-1
ghs 京公网安备 11010802042870号
Book学术文献互助
Book学术文献互助群
群 号:604180095
Book学术官方微信