Radiation enteritis associated with temporal sequencing of total neoadjuvant therapy in locally advanced rectal cancer: a preliminary study.

IF 3.3 2区 医学 Q2 ONCOLOGY
Chen-Ying Ma, Yi Fu, Lou Liu, Jie Chen, Shu-Yue Li, Lu Zhang, Ju-Ying Zhou
{"title":"Radiation enteritis associated with temporal sequencing of total neoadjuvant therapy in locally advanced rectal cancer: a preliminary study.","authors":"Chen-Ying Ma, Yi Fu, Lou Liu, Jie Chen, Shu-Yue Li, Lu Zhang, Ju-Ying Zhou","doi":"10.1186/s13014-025-02701-z","DOIUrl":null,"url":null,"abstract":"<p><strong>Background: </strong>This study aimed to develop and validate a multi-temporal magnetic resonance imaging (MRI)-based delta-radiomics model to accurately predict severe acute radiation enteritis risk in patients undergoing total neoadjuvant therapy (TNT) for locally advanced rectal cancer (LARC).</p><p><strong>Methods: </strong>A retrospective analysis was conducted on the data from 92 patients with LARC who received TNT. All patients underwent pelvic MRI at baseline (pre-treatment) and after neoadjuvant radiotherapy (post-RT). Radiomic features of the primary tumor region were extracted from T2-weighted images at both timepoints. Four delta feature strategies were defined (absolute difference, percent change, ratio, and feature fusion) by concatenating pre- and post-RT features. Severe acute radiation enteritis (SARE) was defined as a composite CTCAE-based symptom score of ≥ 3 within the first 2 weeks of radiotherapy. Features were selected via statistical evaluation and least absolute shrinkage and selection operator regression. Support vector machine (SVM) classifiers were trained using baseline, post-RT, delta, and combined radiomic and clinical features. Model performance was evaluated in an independent test set based on the area under the curve (AUC) value and other metrics.</p><p><strong>Results: </strong>Only the delta-fusion strategy retained stable radiomic features after selection, and outperformed the difference, percent, and ratio definitions in terms of feature stability and model performance. The SVM model, based on combined delta-fusion radiomics and clinical variables, demonstrated the best predictive performance and generalizability. In the independent test cohort, this combined model demonstrated an AUC value of 0.711, sensitivity of 88.9%, and F1-score of 0.696; these values surpassed those of models built with baseline-only or delta difference features.</p><p><strong>Conclusions: </strong>Integrating multi-temporal radiomic features via delta-fusion with clinical factors markedly improved early prediction of SARE in LARC. The delta-fusion approach outperformed conventional delta calculations, and demonstrated superior predictive performance. This highlights its potential in guiding individualized TNT sequencing and proactive toxicity management.</p><p><strong>Clinical registration number: </strong>NA.</p>","PeriodicalId":49639,"journal":{"name":"Radiation Oncology","volume":"20 1","pages":"118"},"PeriodicalIF":3.3000,"publicationDate":"2025-07-30","publicationTypes":"Journal Article","fieldsOfStudy":null,"isOpenAccess":false,"openAccessPdf":"https://www.ncbi.nlm.nih.gov/pmc/articles/PMC12309107/pdf/","citationCount":"0","resultStr":null,"platform":"Semanticscholar","paperid":null,"PeriodicalName":"Radiation Oncology","FirstCategoryId":"3","ListUrlMain":"https://doi.org/10.1186/s13014-025-02701-z","RegionNum":2,"RegionCategory":"医学","ArticlePicture":[],"TitleCN":null,"AbstractTextCN":null,"PMCID":null,"EPubDate":"","PubModel":"","JCR":"Q2","JCRName":"ONCOLOGY","Score":null,"Total":0}
引用次数: 0

Abstract

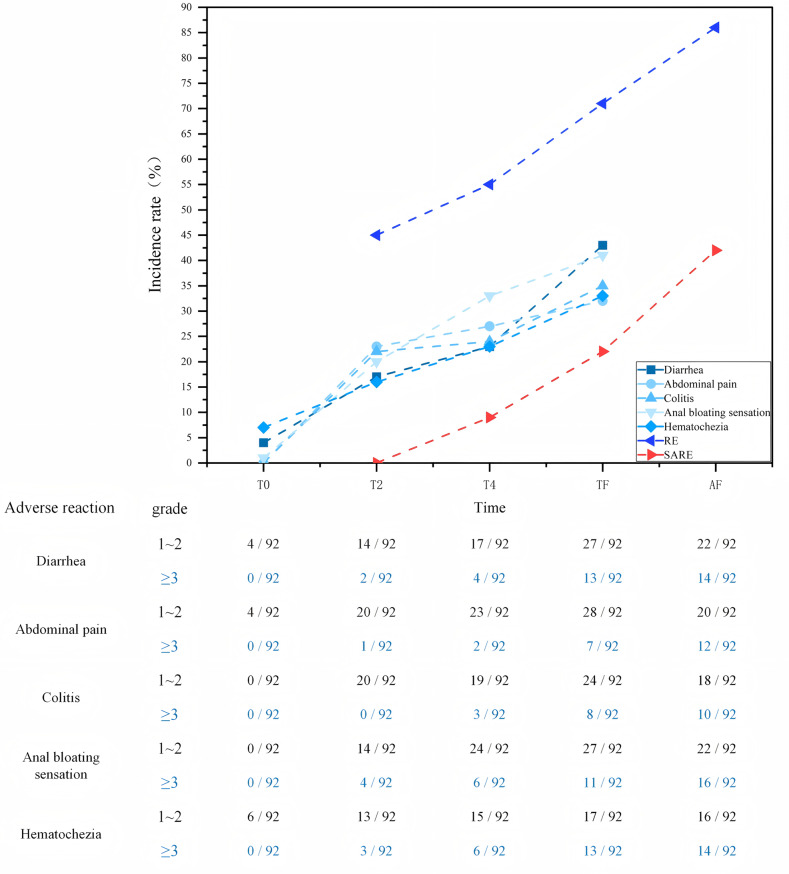
Background: This study aimed to develop and validate a multi-temporal magnetic resonance imaging (MRI)-based delta-radiomics model to accurately predict severe acute radiation enteritis risk in patients undergoing total neoadjuvant therapy (TNT) for locally advanced rectal cancer (LARC).

Methods: A retrospective analysis was conducted on the data from 92 patients with LARC who received TNT. All patients underwent pelvic MRI at baseline (pre-treatment) and after neoadjuvant radiotherapy (post-RT). Radiomic features of the primary tumor region were extracted from T2-weighted images at both timepoints. Four delta feature strategies were defined (absolute difference, percent change, ratio, and feature fusion) by concatenating pre- and post-RT features. Severe acute radiation enteritis (SARE) was defined as a composite CTCAE-based symptom score of ≥ 3 within the first 2 weeks of radiotherapy. Features were selected via statistical evaluation and least absolute shrinkage and selection operator regression. Support vector machine (SVM) classifiers were trained using baseline, post-RT, delta, and combined radiomic and clinical features. Model performance was evaluated in an independent test set based on the area under the curve (AUC) value and other metrics.

Results: Only the delta-fusion strategy retained stable radiomic features after selection, and outperformed the difference, percent, and ratio definitions in terms of feature stability and model performance. The SVM model, based on combined delta-fusion radiomics and clinical variables, demonstrated the best predictive performance and generalizability. In the independent test cohort, this combined model demonstrated an AUC value of 0.711, sensitivity of 88.9%, and F1-score of 0.696; these values surpassed those of models built with baseline-only or delta difference features.

Conclusions: Integrating multi-temporal radiomic features via delta-fusion with clinical factors markedly improved early prediction of SARE in LARC. The delta-fusion approach outperformed conventional delta calculations, and demonstrated superior predictive performance. This highlights its potential in guiding individualized TNT sequencing and proactive toxicity management.

Clinical registration number: NA.

Abstract Image

Abstract Image

Abstract Image

放射性肠炎与局部晚期直肠癌总新辅助治疗的时间序列相关:一项初步研究。
背景:本研究旨在建立并验证基于多颞叶磁共振成像(MRI)的delta-radiomics模型,以准确预测局部晚期直肠癌(LARC)患者接受全面新辅助治疗(TNT)时严重急性放射性肠炎的风险。方法:回顾性分析92例接受TNT治疗的LARC患者资料。所有患者在基线(治疗前)和新辅助放疗后(放疗后)均行盆腔MRI检查。从两个时间点的t2加权图像中提取原发肿瘤区域的放射学特征。通过连接rt前后的特征,定义了四种δ特征策略(绝对差异、百分比变化、比率和特征融合)。严重急性放射性肠炎(Severe acute radiation enteritis, SARE)定义为放疗前2周内ctcae综合症状评分≥3分。通过统计评价、最小绝对收缩和选择算子回归选择特征。支持向量机(SVM)分类器使用基线、rt后、delta以及放射学和临床联合特征进行训练。基于曲线下面积(AUC)值和其他指标,在一个独立的测试集中评估模型的性能。结果:选择后,只有delta-fusion策略保留了稳定的放射学特征,并且在特征稳定性和模型性能方面优于差值、百分比和比率定义。基于三角融合放射组学和临床变量的支持向量机模型显示出最好的预测性能和通用性。在独立检验队列中,该联合模型的AUC值为0.711,灵敏度为88.9%,f1评分为0.696;这些值超过了仅使用基线或增量差异特征构建的模型。结论:通过三角融合将多颞叶放射学特征与临床因素相结合,可显著提高LARC中SARE的早期预测。delta-fusion方法优于传统的delta计算,并表现出优越的预测性能。这突出了其在指导个体化TNT测序和主动毒性管理方面的潜力。临床注册号:NA。
本文章由计算机程序翻译,如有差异,请以英文原文为准。
求助全文
约1分钟内获得全文 求助全文
来源期刊
Radiation Oncology
Radiation Oncology ONCOLOGY-RADIOLOGY, NUCLEAR MEDICINE & MEDICAL IMAGING
CiteScore
6.50
自引率
2.80%
发文量
181
审稿时长
3-6 weeks
期刊介绍: Radiation Oncology encompasses all aspects of research that impacts on the treatment of cancer using radiation. It publishes findings in molecular and cellular radiation biology, radiation physics, radiation technology, and clinical oncology.
×
引用
GB/T 7714-2015
复制
MLA
复制
APA
复制
导出至
BibTeX EndNote RefMan NoteFirst NoteExpress
×
提示
您的信息不完整,为了账户安全,请先补充。
现在去补充
×
提示
您因"违规操作"
具体请查看互助需知
我知道了
×
提示
确定
请完成安全验证×
copy
已复制链接
快去分享给好友吧!
我知道了
右上角分享
点击右上角分享
0
联系我们:info@booksci.cn Book学术提供免费学术资源搜索服务,方便国内外学者检索中英文文献。致力于提供最便捷和优质的服务体验。 Copyright © 2023 布克学术 All rights reserved.
京ICP备2023020795号-1
ghs 京公网安备 11010802042870号
Book学术文献互助
Book学术文献互助群
群 号:604180095
Book学术官方微信