Measurement properties of the PROMIS-29 profile v2.1 in a Norwegian rehabilitation context.

IF 2.9 Q2 HEALTH CARE SCIENCES & SERVICES
Stein Arne Rimehaug, Rikke Helene Moe, Hanne Dagfinrud, Felix Fischer, Thomas Johansen, Ingvild Kjeken, Mari Klokkerud, Hanne Ludt Fossmo, Anne Dorte Lyken, Tarja Rajalahti Kvalheim, Silje Soldal, Anne-Lene Sand-Svartrud
{"title":"Measurement properties of the PROMIS-29 profile v2.1 in a Norwegian rehabilitation context.","authors":"Stein Arne Rimehaug, Rikke Helene Moe, Hanne Dagfinrud, Felix Fischer, Thomas Johansen, Ingvild Kjeken, Mari Klokkerud, Hanne Ludt Fossmo, Anne Dorte Lyken, Tarja Rajalahti Kvalheim, Silje Soldal, Anne-Lene Sand-Svartrud","doi":"10.1186/s41687-025-00929-7","DOIUrl":null,"url":null,"abstract":"<p><strong>Introduction: </strong>Psychometric properties of the Patient-Reported Outcomes Measurement Information System<sup>®</sup> Profile 29 (PROMIS-29) Norwegian version has previously been examined in a general population. This multicenter study aimed to examine the internal consistency, construct validity, responsiveness, score distribution and floor/ceiling effects of PROMIS-29 v2.1 in a Norwegian rehabilitation context.</p><p><strong>Methods: </strong>Patients receiving rehabilitation services participating in a longitudinal cohort study answered PROMIS-29 at baseline and at 3-month follow-up. Internal consistency was assessed by Cronbach's alpha and McDonald's omega. Construct validity was examined through hypothesis testing, using EQ-5D-5L as comparator measure. Hypotheses for correlations of change scores for both questionnaires were tested as an expression of responsiveness. Score distribution and floor/ceiling effects were examined with histograms and descriptive statistics.</p><p><strong>Results: </strong>A total of 828 patients with a mean age of 54.3 years were included for analysis. The internal consistency for each PROMIS-29 domain was confirmed, with alpha and omega values exceeding the threshold of ≥ 0.70. Regarding correlations between PROMIS-29 and EQ-5D-5L, 34 out of 40 hypotheses were confirmed for construct validity and 19 out of 24 for responsiveness, both meeting our a priori criterion of ≥ 75% confirmed hypotheses. There was no floor effect of any PROMIS-29 domain in our sample, and ceiling effect only for anxiety and depression domain scores. Still, this confirmed the applicability of PROMIS-29 in a rehabilitation context.</p><p><strong>Conclusion: </strong>The Norwegian PROMIS-29 has sufficient internal consistency, construct validity and responsiveness for use as an outcome measure for health status and health-related quality of life in rehabilitation.</p><p><strong>Trial registration number: </strong>ClinicalTrials.gov NCT03764982 RehabNytte study, registered 2018-12-04.</p>","PeriodicalId":36660,"journal":{"name":"Journal of Patient-Reported Outcomes","volume":"9 1","pages":"98"},"PeriodicalIF":2.9000,"publicationDate":"2025-07-31","publicationTypes":"Journal Article","fieldsOfStudy":null,"isOpenAccess":false,"openAccessPdf":"https://www.ncbi.nlm.nih.gov/pmc/articles/PMC12314140/pdf/","citationCount":"0","resultStr":null,"platform":"Semanticscholar","paperid":null,"PeriodicalName":"Journal of Patient-Reported Outcomes","FirstCategoryId":"1085","ListUrlMain":"https://doi.org/10.1186/s41687-025-00929-7","RegionNum":0,"RegionCategory":null,"ArticlePicture":[],"TitleCN":null,"AbstractTextCN":null,"PMCID":null,"EPubDate":"","PubModel":"","JCR":"Q2","JCRName":"HEALTH CARE SCIENCES & SERVICES","Score":null,"Total":0}
引用次数: 0

Abstract

Introduction: Psychometric properties of the Patient-Reported Outcomes Measurement Information System® Profile 29 (PROMIS-29) Norwegian version has previously been examined in a general population. This multicenter study aimed to examine the internal consistency, construct validity, responsiveness, score distribution and floor/ceiling effects of PROMIS-29 v2.1 in a Norwegian rehabilitation context.

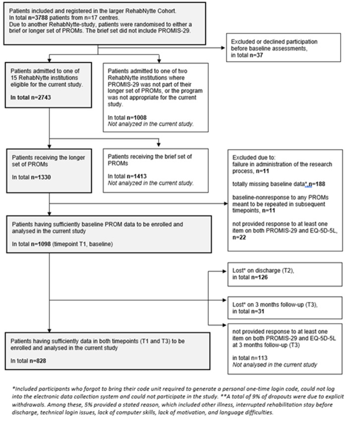
Methods: Patients receiving rehabilitation services participating in a longitudinal cohort study answered PROMIS-29 at baseline and at 3-month follow-up. Internal consistency was assessed by Cronbach's alpha and McDonald's omega. Construct validity was examined through hypothesis testing, using EQ-5D-5L as comparator measure. Hypotheses for correlations of change scores for both questionnaires were tested as an expression of responsiveness. Score distribution and floor/ceiling effects were examined with histograms and descriptive statistics.

Results: A total of 828 patients with a mean age of 54.3 years were included for analysis. The internal consistency for each PROMIS-29 domain was confirmed, with alpha and omega values exceeding the threshold of ≥ 0.70. Regarding correlations between PROMIS-29 and EQ-5D-5L, 34 out of 40 hypotheses were confirmed for construct validity and 19 out of 24 for responsiveness, both meeting our a priori criterion of ≥ 75% confirmed hypotheses. There was no floor effect of any PROMIS-29 domain in our sample, and ceiling effect only for anxiety and depression domain scores. Still, this confirmed the applicability of PROMIS-29 in a rehabilitation context.

Conclusion: The Norwegian PROMIS-29 has sufficient internal consistency, construct validity and responsiveness for use as an outcome measure for health status and health-related quality of life in rehabilitation.

Trial registration number: ClinicalTrials.gov NCT03764982 RehabNytte study, registered 2018-12-04.

Abstract Image

Abstract Image

挪威康复环境下promise -29剖面v2.1的测量特性
简介:患者报告结果测量信息系统®概要29 (promise -29)挪威版的心理测量特性先前已在一般人群中进行了检查。本多中心研究旨在检验promise -29 v2.1在挪威康复背景下的内部一致性、结构效度、反应性、得分分布和下限/上限效应。方法:接受康复服务的患者参与了一项纵向队列研究,在基线和3个月的随访中回答了promise -29。内部一致性通过Cronbach's alpha和McDonald's omega进行评估。采用EQ-5D-5L作为比较指标,通过假设检验检验结构效度。对两份问卷的变化分数的相关性假设进行了测试,作为反应性的表达。用直方图和描述性统计检验得分分布和下限/上限效应。结果:共纳入828例患者,平均年龄54.3岁。每个允诺-29结构域的内部一致性得到确认,alpha和omega值均超过≥0.70的阈值。关于promise -29和EQ-5D-5L之间的相关性,40个假设中有34个被结构效度证实,24个假设中有19个被反应性证实,两者都符合我们的先验标准,即≥75%的假设被证实。在我们的样本中,任何允诺-29域得分均不存在底效应,只有焦虑和抑郁域得分存在天花板效应。尽管如此,这证实了promise -29在康复环境中的适用性。结论:挪威promise -29具有足够的内部一致性、结构效度和响应性,可作为康复中健康状况和健康相关生活质量的结果测量指标。试验注册号:ClinicalTrials.gov NCT03764982 RehabNytte study,注册2018-12-04。
本文章由计算机程序翻译,如有差异,请以英文原文为准。
求助全文
约1分钟内获得全文 求助全文
来源期刊
Journal of Patient-Reported Outcomes
Journal of Patient-Reported Outcomes Health Professions-Health Information Management
CiteScore
3.80
自引率
7.40%
发文量
120
审稿时长
20 weeks
×
引用
GB/T 7714-2015
复制
MLA
复制
APA
复制
导出至
BibTeX EndNote RefMan NoteFirst NoteExpress
×
提示
您的信息不完整,为了账户安全,请先补充。
现在去补充
×
提示
您因"违规操作"
具体请查看互助需知
我知道了
×
提示
确定
请完成安全验证×
copy
已复制链接
快去分享给好友吧!
我知道了
右上角分享
点击右上角分享
0
联系我们:info@booksci.cn Book学术提供免费学术资源搜索服务,方便国内外学者检索中英文文献。致力于提供最便捷和优质的服务体验。 Copyright © 2023 布克学术 All rights reserved.
京ICP备2023020795号-1
ghs 京公网安备 11010802042870号
Book学术文献互助
Book学术文献互助群
群 号:604180095
Book学术官方微信