EpipwR: efficient power analysis for EWAS with continuous outcomes.

IF 2.8 Q2 MATHEMATICAL & COMPUTATIONAL BIOLOGY
Bioinformatics advances Pub Date : 2025-06-25 eCollection Date: 2025-01-01 DOI:10.1093/bioadv/vbaf150
Jackson Barth, Austin W Reynolds
{"title":"EpipwR: efficient power analysis for EWAS with continuous outcomes.","authors":"Jackson Barth, Austin W Reynolds","doi":"10.1093/bioadv/vbaf150","DOIUrl":null,"url":null,"abstract":"<p><strong>Motivation: </strong>Epigenome-wide association studies (EWAS) have emerged as a popular way to investigate the pathophysiology of complex diseases and to assist in bridging the gap between genotypes and phenotypes. Despite the increasing popularity of EWAS, very few tools exist to aid researchers in power estimation and those are limited to case-control studies. The existence of user-friendly tools, expanding power calculation functionality to additional study designs, would be a significant aid to researchers planning EWAS.</p><p><strong>Results: </strong>We introduce EpipwR, an open-source R-package that can efficiently estimate power for EWAS with continuous or binary outcomes. EpipwR uses a quasi-simulated approach, meaning that data is generated only for CpG sites with methylation associated with the outcome, while <i>P</i>-values are generated directly for those with no association (when necessary). Like existing EWAS power calculators, reference datasets of empirical EWAS are used to guide the data generation process. Two numerical studies show the effect of the selected empirical dataset on the generated correlations and power, while another explores the accuracy of EpipwR against case-control alternatives. EpipwR is shown to outperform existing alternatives on both simulated and real EWAS datasets.</p><p><strong>Availability and implementation: </strong>The EpipwR R-package is currently available on Bioconductor or at github.com/jbarth216/EpipwR.</p>","PeriodicalId":72368,"journal":{"name":"Bioinformatics advances","volume":"5 1","pages":"vbaf150"},"PeriodicalIF":2.8000,"publicationDate":"2025-06-25","publicationTypes":"Journal Article","fieldsOfStudy":null,"isOpenAccess":false,"openAccessPdf":"https://www.ncbi.nlm.nih.gov/pmc/articles/PMC12303865/pdf/","citationCount":"0","resultStr":null,"platform":"Semanticscholar","paperid":null,"PeriodicalName":"Bioinformatics advances","FirstCategoryId":"1085","ListUrlMain":"https://doi.org/10.1093/bioadv/vbaf150","RegionNum":0,"RegionCategory":null,"ArticlePicture":[],"TitleCN":null,"AbstractTextCN":null,"PMCID":null,"EPubDate":"2025/1/1 0:00:00","PubModel":"eCollection","JCR":"Q2","JCRName":"MATHEMATICAL & COMPUTATIONAL BIOLOGY","Score":null,"Total":0}
引用次数: 0

Abstract

Motivation: Epigenome-wide association studies (EWAS) have emerged as a popular way to investigate the pathophysiology of complex diseases and to assist in bridging the gap between genotypes and phenotypes. Despite the increasing popularity of EWAS, very few tools exist to aid researchers in power estimation and those are limited to case-control studies. The existence of user-friendly tools, expanding power calculation functionality to additional study designs, would be a significant aid to researchers planning EWAS.

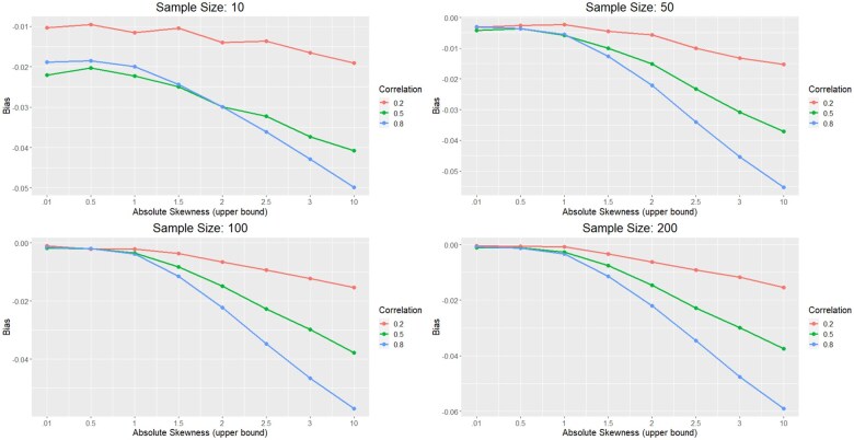
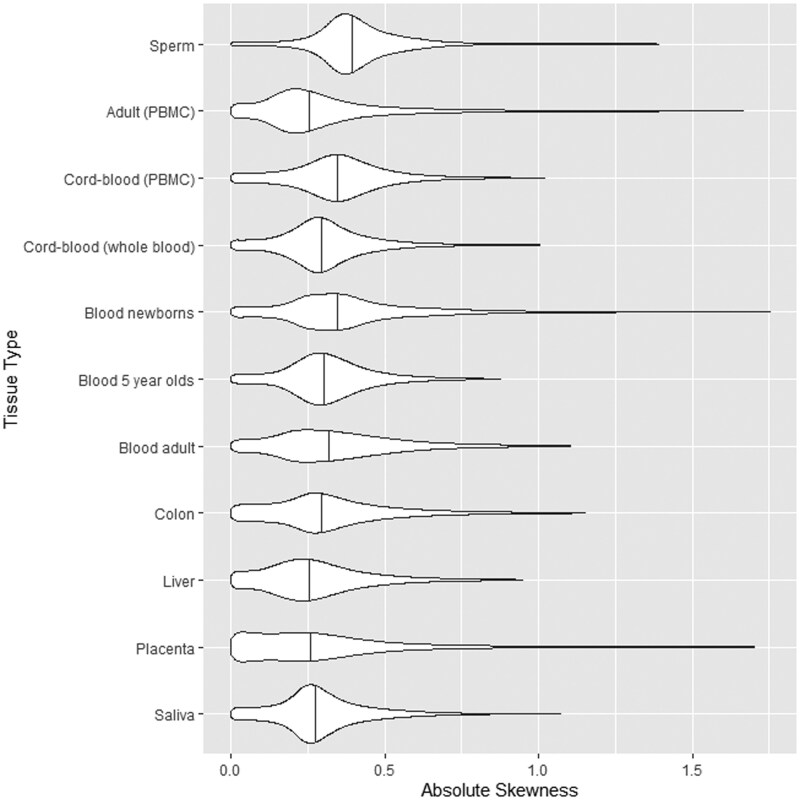
Results: We introduce EpipwR, an open-source R-package that can efficiently estimate power for EWAS with continuous or binary outcomes. EpipwR uses a quasi-simulated approach, meaning that data is generated only for CpG sites with methylation associated with the outcome, while P-values are generated directly for those with no association (when necessary). Like existing EWAS power calculators, reference datasets of empirical EWAS are used to guide the data generation process. Two numerical studies show the effect of the selected empirical dataset on the generated correlations and power, while another explores the accuracy of EpipwR against case-control alternatives. EpipwR is shown to outperform existing alternatives on both simulated and real EWAS datasets.

Availability and implementation: The EpipwR R-package is currently available on Bioconductor or at github.com/jbarth216/EpipwR.

Abstract Image

Abstract Image

Abstract Image

EpipwR: EWAS持续结果的有效功率分析。
动机:表观基因组关联研究(EWAS)已经成为研究复杂疾病病理生理学和帮助弥合基因型和表型之间差距的一种流行方法。尽管EWAS越来越受欢迎,但很少有工具可以帮助研究人员进行功率估计,而且这些工具仅限于病例对照研究。用户友好工具的存在,将功率计算功能扩展到其他研究设计,将对研究人员规划EWAS有重要的帮助。结果:我们引入了EpipwR,这是一个开源的r包,可以有效地估计具有连续或二进制结果的EWAS的功率。EpipwR使用一种准模拟方法,这意味着仅生成与结果相关的甲基化的CpG位点的数据,而直接生成与结果无关的p值(必要时)。与现有的EWAS功率计算器一样,使用经验EWAS的参考数据集来指导数据生成过程。两项数值研究显示了所选经验数据集对生成的相关性和功率的影响,而另一项研究则探讨了EpipwR相对于病例对照替代方案的准确性。EpipwR在模拟和真实EWAS数据集上的表现都优于现有的替代方案。可用性和实现:EpipwR r包目前可在Bioconductor或github.com/jbarth216/EpipwR上获得。
本文章由计算机程序翻译,如有差异,请以英文原文为准。
求助全文
约1分钟内获得全文 求助全文
来源期刊
CiteScore
1.60
自引率
0.00%
发文量
0
×
引用
GB/T 7714-2015
复制
MLA
复制
APA
复制
导出至
BibTeX EndNote RefMan NoteFirst NoteExpress
×
提示
您的信息不完整,为了账户安全,请先补充。
现在去补充
×
提示
您因"违规操作"
具体请查看互助需知
我知道了
×
提示
确定
请完成安全验证×
copy
已复制链接
快去分享给好友吧!
我知道了
右上角分享
点击右上角分享
0
联系我们:info@booksci.cn Book学术提供免费学术资源搜索服务,方便国内外学者检索中英文文献。致力于提供最便捷和优质的服务体验。 Copyright © 2023 布克学术 All rights reserved.
京ICP备2023020795号-1
ghs 京公网安备 11010802042870号
Book学术文献互助
Book学术文献互助群
群 号:604180095
Book学术官方微信