Racial Disparities in Quality of Dental Care Among Publicly Insured Children.

IF 2.8 2区 医学 Q1 HEALTH CARE SCIENCES & SERVICES
Medical Care Pub Date : 2025-09-01 Epub Date: 2025-07-07 DOI:10.1097/MLR.0000000000002184
Sung Eun Choi, Rindala Fayyad, Sharon-Lise Normand
{"title":"Racial Disparities in Quality of Dental Care Among Publicly Insured Children.","authors":"Sung Eun Choi, Rindala Fayyad, Sharon-Lise Normand","doi":"10.1097/MLR.0000000000002184","DOIUrl":null,"url":null,"abstract":"<p><strong>Background: </strong>Reducing oral health disparities requires identifying subgroups experiencing gaps in quality of dental care and the sizes of those gaps. This study measured magnitudes and trends of racial/ethnic disparities in overall quality of dental care and examined factors contributing to the disparities.</p><p><strong>Methods: </strong>This retrospective cohort study used claims data from beneficiaries under age 21 enrolled in Medicaid and Children's Health Insurance Program in 6 states during 2015-2019. A standardized composite score of dental care quality was derived from 6 dental quality measures using Item Response Theory. Robust mixed-effect regression estimated the magnitudes and trends of quality disparities, adjusting for person-level covariates. A Blinder-Oaxaca decomposition quantified the relative contributions of the social and structural factors in the estimated racial/ethnic disparities.</p><p><strong>Results: </strong>Among 3.4 million beneficiaries, compared with White counterparts, Black children had lower baseline quality scores in 2 states and experienced decreases in quality in most states. Children of other race had lower baseline quality scores in 4 states with the largest gap of -0.16 (95% CI: -0.18,-0.15) and experienced decreases in quality in 3 states. Hispanic children had the higher baseline quality scores in all states with the largest gap of 0.34 (95% CI: 0.34,0.35) and experienced increases in quality in 4 states. Decomposition analysis indicated that structural factors, such as residential segregation, place of dental care, and dentist supply, explained portions of the quality gaps.</p><p><strong>Conclusion: </strong>Dental care quality was lower among Black and children of other race and higher among Hispanic and Asian children relative to their White counterparts. Tailored quality improvement efforts and refinements in Medicaid policy would be encouraged to reduce disparities in dental care and oral health.</p>","PeriodicalId":18364,"journal":{"name":"Medical Care","volume":" ","pages":"646-655"},"PeriodicalIF":2.8000,"publicationDate":"2025-09-01","publicationTypes":"Journal Article","fieldsOfStudy":null,"isOpenAccess":false,"openAccessPdf":"https://www.ncbi.nlm.nih.gov/pmc/articles/PMC12327499/pdf/","citationCount":"0","resultStr":null,"platform":"Semanticscholar","paperid":null,"PeriodicalName":"Medical Care","FirstCategoryId":"3","ListUrlMain":"https://doi.org/10.1097/MLR.0000000000002184","RegionNum":2,"RegionCategory":"医学","ArticlePicture":[],"TitleCN":null,"AbstractTextCN":null,"PMCID":null,"EPubDate":"2025/7/7 0:00:00","PubModel":"Epub","JCR":"Q1","JCRName":"HEALTH CARE SCIENCES & SERVICES","Score":null,"Total":0}
引用次数: 0

Abstract

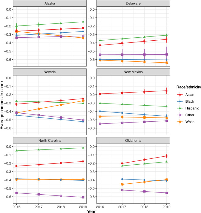
Background: Reducing oral health disparities requires identifying subgroups experiencing gaps in quality of dental care and the sizes of those gaps. This study measured magnitudes and trends of racial/ethnic disparities in overall quality of dental care and examined factors contributing to the disparities.

Methods: This retrospective cohort study used claims data from beneficiaries under age 21 enrolled in Medicaid and Children's Health Insurance Program in 6 states during 2015-2019. A standardized composite score of dental care quality was derived from 6 dental quality measures using Item Response Theory. Robust mixed-effect regression estimated the magnitudes and trends of quality disparities, adjusting for person-level covariates. A Blinder-Oaxaca decomposition quantified the relative contributions of the social and structural factors in the estimated racial/ethnic disparities.

Results: Among 3.4 million beneficiaries, compared with White counterparts, Black children had lower baseline quality scores in 2 states and experienced decreases in quality in most states. Children of other race had lower baseline quality scores in 4 states with the largest gap of -0.16 (95% CI: -0.18,-0.15) and experienced decreases in quality in 3 states. Hispanic children had the higher baseline quality scores in all states with the largest gap of 0.34 (95% CI: 0.34,0.35) and experienced increases in quality in 4 states. Decomposition analysis indicated that structural factors, such as residential segregation, place of dental care, and dentist supply, explained portions of the quality gaps.

Conclusion: Dental care quality was lower among Black and children of other race and higher among Hispanic and Asian children relative to their White counterparts. Tailored quality improvement efforts and refinements in Medicaid policy would be encouraged to reduce disparities in dental care and oral health.

Abstract Image

Abstract Image

Abstract Image

Abstract Image

公共保险儿童牙科护理质量的种族差异。
背景:减少口腔健康差距需要确定在牙科保健质量方面存在差距的亚群体及其差距的大小。本研究测量了整体牙科护理质量的种族/民族差异的幅度和趋势,并检查了造成差异的因素。方法:本回顾性队列研究使用了2015-2019年6个州21岁以下医疗补助和儿童健康保险计划受益人的索赔数据。采用项目反应理论,从6项口腔护理质量测量中得出标准化的口腔护理质量综合评分。稳健混合效应回归估计了质量差异的大小和趋势,调整了个人水平的协变量。布林德和瓦哈卡的分解量化了社会和结构因素在估计的种族/民族差异中的相对贡献。结果:在340万受益人中,与白人儿童相比,黑人儿童在两个州的基线质量得分较低,在大多数州的质量都有所下降。其他种族的儿童在4个州的基线质量得分较低,差距最大,为-0.16 (95% CI: -0.18,-0.15),在3个州的质量下降。西班牙裔儿童在所有州的基线质量得分都较高,差距最大,为0.34 (95% CI: 0.34,0.35),并且在4个州的质量有所提高。分解分析表明,结构性因素,如居住隔离、牙科护理地点和牙医供应,解释了部分质量差距。结论:与白人儿童相比,黑人和其他种族儿童的牙科保健质量较低,而西班牙裔和亚裔儿童的牙科保健质量较高。将鼓励量身定制的质量改进工作和医疗补助政策的改进,以减少牙科保健和口腔健康方面的差距。
本文章由计算机程序翻译,如有差异,请以英文原文为准。
求助全文
约1分钟内获得全文 求助全文
来源期刊
Medical Care
Medical Care 医学-公共卫生、环境卫生与职业卫生
CiteScore
5.20
自引率
3.30%
发文量
228
审稿时长
3-8 weeks
期刊介绍: Rated as one of the top ten journals in healthcare administration, Medical Care is devoted to all aspects of the administration and delivery of healthcare. This scholarly journal publishes original, peer-reviewed papers documenting the most current developments in the rapidly changing field of healthcare. This timely journal reports on the findings of original investigations into issues related to the research, planning, organization, financing, provision, and evaluation of health services.
×
引用
GB/T 7714-2015
复制
MLA
复制
APA
复制
导出至
BibTeX EndNote RefMan NoteFirst NoteExpress
×
提示
您的信息不完整,为了账户安全,请先补充。
现在去补充
×
提示
您因"违规操作"
具体请查看互助需知
我知道了
×
提示
确定
请完成安全验证×
copy
已复制链接
快去分享给好友吧!
我知道了
右上角分享
点击右上角分享
0
联系我们:info@booksci.cn Book学术提供免费学术资源搜索服务,方便国内外学者检索中英文文献。致力于提供最便捷和优质的服务体验。 Copyright © 2023 布克学术 All rights reserved.
京ICP备2023020795号-1
ghs 京公网安备 11010802042870号
Book学术文献互助
Book学术文献互助群
群 号:604180095
Book学术官方微信