Minimal Clinically Important Difference of Average Daily Steps Measured Through a Consumer Smartwatch in People With Mild-to-Moderate Parkinson Disease: Cross-Sectional Study.

IF 6.2 2区 医学 Q1 HEALTH CARE SCIENCES & SERVICES
Edoardo Bianchini, Marika Alborghetti, Silvia Galli, Clint Hansen, Alessandro Zampogna, Antonio Suppa, Marco Salvetti, Francesco Ernesto Pontieri, Domiziana Rinaldi, Nicolas Vuillerme
{"title":"Minimal Clinically Important Difference of Average Daily Steps Measured Through a Consumer Smartwatch in People With Mild-to-Moderate Parkinson Disease: Cross-Sectional Study.","authors":"Edoardo Bianchini, Marika Alborghetti, Silvia Galli, Clint Hansen, Alessandro Zampogna, Antonio Suppa, Marco Salvetti, Francesco Ernesto Pontieri, Domiziana Rinaldi, Nicolas Vuillerme","doi":"10.2196/64213","DOIUrl":null,"url":null,"abstract":"<p><strong>Background: </strong>Recent studies demonstrated the validity, reliability, and accuracy of consumer smartwatches for measuring daily steps in people with Parkinson disease (PD). However, no study to date has estimated the minimal clinically important difference (MCID) for average daily steps (avDS), measured through a consumer smartwatch in people with PD.</p><p><strong>Objective: </strong>This study aimed to calculate the MCID of avDS, measured through a commercial smartwatch (Garmin Vivosmart 4) in people with PD.</p><p><strong>Methods: </strong>People with PD with a disease stage <4, without cognitive impairment, and who were able to walk unaided, wore a Garmin Vivosmart 4 smartwatch for 5 consecutive days on the wrist least affected by the disease, allowing the computation of avDS. To define the 3 levels of MCID for avDS, we used an anchor-based method linked to: (1) scales capturing subtle changes in global mobility and motor functions, (2) clinical and health-related measures, and (3) disease-related patient-reported outcomes. Linear regressions, Student t test, and ANOVA were used to estimate the minimal change in avDS based on anchors relevant change. For each level, the overall MCID was calculated as the average of the variables included, and the range was reported.</p><p><strong>Results: </strong>A total of 100 people with PD were enrolled. Participants took on average 5949 (SD 3034) daily steps, ranging from 357 to 12,620. The MCID of avDS anchored to standardized measures of motor symptoms and mobility was 581 steps/day (range  554-608) or around 10% of mean avDS in our population. The MCID of avDS anchored to clinical and health-related variables was 1200 steps/day (range  350-1683), or around 20% of mean avDS in our population. Finally, the MCID of avDS anchored to disease-related patient-reported outcomes was 1592 steps/day (range 594-2589), or around 27% of the mean avDS in our population.</p><p><strong>Conclusions: </strong>These findings could be relevant for designing future clinical trials involving avDS as a digital mobility outcome in daily life for people with PD and evaluating the effectiveness of the intervention promoting free-living walking in this population.</p>","PeriodicalId":14756,"journal":{"name":"JMIR mHealth and uHealth","volume":"13 ","pages":"e64213"},"PeriodicalIF":6.2000,"publicationDate":"2025-07-29","publicationTypes":"Journal Article","fieldsOfStudy":null,"isOpenAccess":false,"openAccessPdf":"https://www.ncbi.nlm.nih.gov/pmc/articles/PMC12306920/pdf/","citationCount":"0","resultStr":null,"platform":"Semanticscholar","paperid":null,"PeriodicalName":"JMIR mHealth and uHealth","FirstCategoryId":"3","ListUrlMain":"https://doi.org/10.2196/64213","RegionNum":2,"RegionCategory":"医学","ArticlePicture":[],"TitleCN":null,"AbstractTextCN":null,"PMCID":null,"EPubDate":"","PubModel":"","JCR":"Q1","JCRName":"HEALTH CARE SCIENCES & SERVICES","Score":null,"Total":0}
引用次数: 0

Abstract

Background: Recent studies demonstrated the validity, reliability, and accuracy of consumer smartwatches for measuring daily steps in people with Parkinson disease (PD). However, no study to date has estimated the minimal clinically important difference (MCID) for average daily steps (avDS), measured through a consumer smartwatch in people with PD.

Objective: This study aimed to calculate the MCID of avDS, measured through a commercial smartwatch (Garmin Vivosmart 4) in people with PD.

Methods: People with PD with a disease stage <4, without cognitive impairment, and who were able to walk unaided, wore a Garmin Vivosmart 4 smartwatch for 5 consecutive days on the wrist least affected by the disease, allowing the computation of avDS. To define the 3 levels of MCID for avDS, we used an anchor-based method linked to: (1) scales capturing subtle changes in global mobility and motor functions, (2) clinical and health-related measures, and (3) disease-related patient-reported outcomes. Linear regressions, Student t test, and ANOVA were used to estimate the minimal change in avDS based on anchors relevant change. For each level, the overall MCID was calculated as the average of the variables included, and the range was reported.

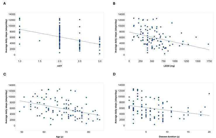
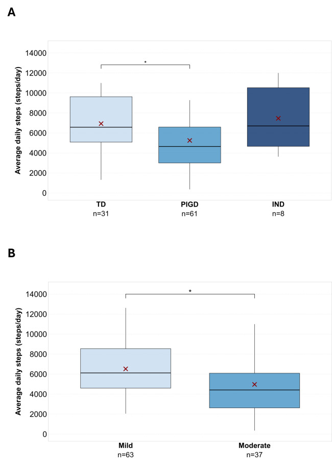
Results: A total of 100 people with PD were enrolled. Participants took on average 5949 (SD 3034) daily steps, ranging from 357 to 12,620. The MCID of avDS anchored to standardized measures of motor symptoms and mobility was 581 steps/day (range  554-608) or around 10% of mean avDS in our population. The MCID of avDS anchored to clinical and health-related variables was 1200 steps/day (range  350-1683), or around 20% of mean avDS in our population. Finally, the MCID of avDS anchored to disease-related patient-reported outcomes was 1592 steps/day (range 594-2589), or around 27% of the mean avDS in our population.

Conclusions: These findings could be relevant for designing future clinical trials involving avDS as a digital mobility outcome in daily life for people with PD and evaluating the effectiveness of the intervention promoting free-living walking in this population.

Abstract Image

Abstract Image

Abstract Image

通过消费者智能手表测量的轻度至中度帕金森病患者平均每日步数的最小临床重要差异:横断面研究
背景:最近的研究证明了消费者智能手表用于测量帕金森病患者每日步数的有效性、可靠性和准确性。然而,迄今为止还没有研究估计PD患者通过消费者智能手表测量的平均每日步数(avDS)的最小临床重要差异(MCID)。目的:本研究旨在通过商用智能手表(Garmin Vivosmart 4)计算PD患者avDS的MCID。方法:PD患者伴疾病阶段结果:共纳入100例PD患者。参与者平均每天走5949步(SD 3034),从357到12620不等。运动症状和活动能力标准化测量的avDS的MCID为581步/天(范围554-608),约占我们人群平均avDS的10%。与临床和健康相关变量相关的avDS的MCID为1200步/天(范围350-1683),约占我们人群平均avDS的20%。最后,与疾病相关的患者报告结果相关的avDS的MCID为1592步/天(范围594-2589),约占我们人群中平均avDS的27%。结论:这些发现可能与设计未来的临床试验有关,将avDS作为PD患者日常生活中的数字活动结果,并评估干预措施促进该人群自由生活行走的有效性。
本文章由计算机程序翻译,如有差异,请以英文原文为准。
求助全文
约1分钟内获得全文 求助全文
来源期刊
JMIR mHealth and uHealth
JMIR mHealth and uHealth Medicine-Health Informatics
CiteScore
12.60
自引率
4.00%
发文量
159
审稿时长
10 weeks
期刊介绍: JMIR mHealth and uHealth (JMU, ISSN 2291-5222) is a spin-off journal of JMIR, the leading eHealth journal (Impact Factor 2016: 5.175). JMIR mHealth and uHealth is indexed in PubMed, PubMed Central, and Science Citation Index Expanded (SCIE), and in June 2017 received a stunning inaugural Impact Factor of 4.636. The journal focusses on health and biomedical applications in mobile and tablet computing, pervasive and ubiquitous computing, wearable computing and domotics. JMIR mHealth and uHealth publishes since 2013 and was the first mhealth journal in Pubmed. It publishes even faster and has a broader scope with including papers which are more technical or more formative/developmental than what would be published in the Journal of Medical Internet Research.
×
引用
GB/T 7714-2015
复制
MLA
复制
APA
复制
导出至
BibTeX EndNote RefMan NoteFirst NoteExpress
×
提示
您的信息不完整,为了账户安全,请先补充。
现在去补充
×
提示
您因"违规操作"
具体请查看互助需知
我知道了
×
提示
确定
请完成安全验证×
copy
已复制链接
快去分享给好友吧!
我知道了
右上角分享
点击右上角分享
0
联系我们:info@booksci.cn Book学术提供免费学术资源搜索服务,方便国内外学者检索中英文文献。致力于提供最便捷和优质的服务体验。 Copyright © 2023 布克学术 All rights reserved.
京ICP备2023020795号-1
ghs 京公网安备 11010802042870号
Book学术文献互助
Book学术文献互助群
群 号:604180095
Book学术官方微信