Utility of the Atopic Dermatitis Control Tool for Assessing Long-term Control of Atopic Dermatitis in Korean Patients on Dupilumab.

IF 4.3 2区 医学 Q2 ALLERGY
In Ho Bae, Han Seong Yoon, Soo Hoon Lee, Jae Hyung Seo, Jun Ho Kwak, Dong Hyun Shim, Hoon Choi, Min Sung Kim, Bong Seok Shin, Chan Ho Na
{"title":"Utility of the Atopic Dermatitis Control Tool for Assessing Long-term Control of Atopic Dermatitis in Korean Patients on Dupilumab.","authors":"In Ho Bae, Han Seong Yoon, Soo Hoon Lee, Jae Hyung Seo, Jun Ho Kwak, Dong Hyun Shim, Hoon Choi, Min Sung Kim, Bong Seok Shin, Chan Ho Na","doi":"10.4168/aair.2025.17.4.519","DOIUrl":null,"url":null,"abstract":"<p><strong>Purpose: </strong>Atopic dermatitis (AD) is a chronic condition characterized not only by skin lesions but also by significant patient burden, impacting mental health and quality of life. The Atopic Dermatitis Control Tool (ADCT) is recommended as an assessment tool for evaluating the long-term management of AD. However, there is a scarcity of studies comparing the utility of ADCT in real-world clinical practice to that of the other existing AD evaluation tools. This study aimed to investigate long-term changes in the ADCT and examine its correlations with the other evaluation tools in AD patients undergoing dupilumab treatment.</p><p><strong>Methods: </strong>A retrospective study was conducted on 89 outpatients with AD who received treatment with dupilumab between April 2020 and March 2023. Patients underwent assessments using the ADCT and other evaluation tools before treatment initiation and at 1, 2, and 3 years following treatment commencement.</p><p><strong>Results: </strong>Of the 89 patients, with a mean age of 28.7 years (range: 12 to 65 years), 68 (76.4%) were male. All 89 patients were followed for 1 year, 44 for 2 years, and 17 for 3 years. The mean total ADCT score decreased at year 1 (58.2% reduction, <i>P</i> < 0.001), with this reduction continuing at years 2 and 3 (73.8% and 75.3% reduction, respectively, <i>P</i> < 0.001). Furthermore, the distribution of patients achieving an Eczema Area and Severity Index (EASI) 90 and those with an ADCT < 7 during the dupilumab treatment period appeared almost identical. Moreover, this study established significant correlations between the ADCT score and the following parameters: EASI, body surface area, Dermatology Life Quality Index, Pruritus Numeric Rating Scale, and Patient-Oriented Eczema Measure.</p><p><strong>Conclusions: </strong>Our findings indicate that the ADCT can serve as a reliable tool for assessing long-term control of AD in real-world settings.</p>","PeriodicalId":7547,"journal":{"name":"Allergy, Asthma & Immunology Research","volume":"17 4","pages":"519-526"},"PeriodicalIF":4.3000,"publicationDate":"2025-07-01","publicationTypes":"Journal Article","fieldsOfStudy":null,"isOpenAccess":false,"openAccessPdf":"https://www.ncbi.nlm.nih.gov/pmc/articles/PMC12318806/pdf/","citationCount":"0","resultStr":null,"platform":"Semanticscholar","paperid":null,"PeriodicalName":"Allergy, Asthma & Immunology Research","FirstCategoryId":"3","ListUrlMain":"https://doi.org/10.4168/aair.2025.17.4.519","RegionNum":2,"RegionCategory":"医学","ArticlePicture":[],"TitleCN":null,"AbstractTextCN":null,"PMCID":null,"EPubDate":"","PubModel":"","JCR":"Q2","JCRName":"ALLERGY","Score":null,"Total":0}
引用次数: 0

Abstract

Purpose: Atopic dermatitis (AD) is a chronic condition characterized not only by skin lesions but also by significant patient burden, impacting mental health and quality of life. The Atopic Dermatitis Control Tool (ADCT) is recommended as an assessment tool for evaluating the long-term management of AD. However, there is a scarcity of studies comparing the utility of ADCT in real-world clinical practice to that of the other existing AD evaluation tools. This study aimed to investigate long-term changes in the ADCT and examine its correlations with the other evaluation tools in AD patients undergoing dupilumab treatment.

Methods: A retrospective study was conducted on 89 outpatients with AD who received treatment with dupilumab between April 2020 and March 2023. Patients underwent assessments using the ADCT and other evaluation tools before treatment initiation and at 1, 2, and 3 years following treatment commencement.

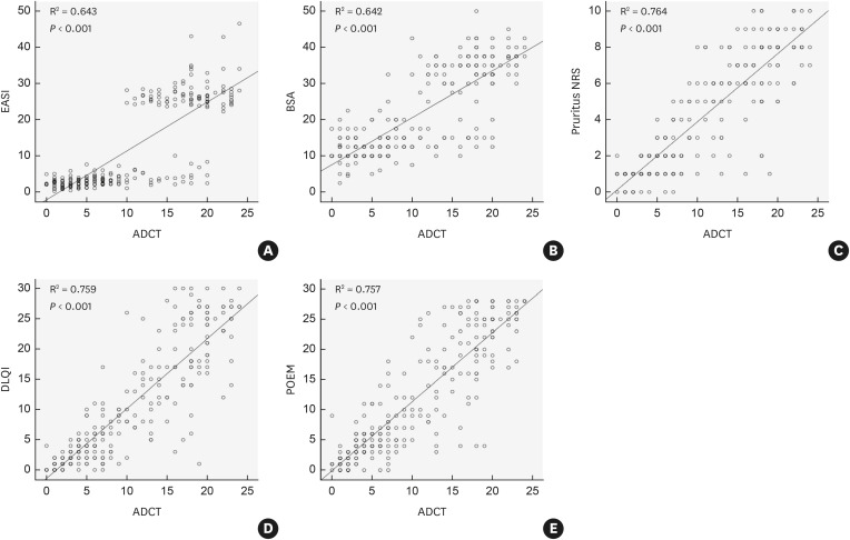
Results: Of the 89 patients, with a mean age of 28.7 years (range: 12 to 65 years), 68 (76.4%) were male. All 89 patients were followed for 1 year, 44 for 2 years, and 17 for 3 years. The mean total ADCT score decreased at year 1 (58.2% reduction, P < 0.001), with this reduction continuing at years 2 and 3 (73.8% and 75.3% reduction, respectively, P < 0.001). Furthermore, the distribution of patients achieving an Eczema Area and Severity Index (EASI) 90 and those with an ADCT < 7 during the dupilumab treatment period appeared almost identical. Moreover, this study established significant correlations between the ADCT score and the following parameters: EASI, body surface area, Dermatology Life Quality Index, Pruritus Numeric Rating Scale, and Patient-Oriented Eczema Measure.

Conclusions: Our findings indicate that the ADCT can serve as a reliable tool for assessing long-term control of AD in real-world settings.

Abstract Image

Abstract Image

Abstract Image

特应性皮炎控制工具用于评估韩国杜匹单抗患者特应性皮炎长期控制的效用。
目的:特应性皮炎(AD)是一种慢性疾病,不仅以皮肤病变为特征,而且给患者带来沉重的负担,影响心理健康和生活质量。特应性皮炎控制工具(ADCT)被推荐作为评估AD长期管理的评估工具。然而,比较ADCT在现实世界临床实践中的效用与其他现有AD评估工具的研究很少。本研究旨在调查ADCT的长期变化,并检查其与接受dupilumab治疗的AD患者的其他评估工具的相关性。方法:对2020年4月至2023年3月期间接受杜匹单抗治疗的89例AD门诊患者进行回顾性研究。患者在治疗开始前和治疗开始后1年、2年和3年使用ADCT和其他评估工具进行评估。结果:89例患者平均年龄28.7岁(12 ~ 65岁),男性68例(76.4%)。89例患者随访1年,44例随访2年,17例随访3年。平均总ADCT评分在第1年下降(下降58.2%,P < 0.001),在第2年和第3年继续下降(分别下降73.8%和75.3%,P < 0.001)。此外,在杜匹单抗治疗期间,湿疹面积和严重程度指数(EASI)达到90的患者和ADCT < 7的患者的分布几乎相同。此外,本研究还建立了ADCT评分与以下参数之间的显著相关性:EASI、体表面积、皮肤病生活质量指数、瘙痒数值评定量表和患者导向湿疹量表。结论:我们的研究结果表明,ADCT可以作为评估现实环境中AD长期控制的可靠工具。
本文章由计算机程序翻译,如有差异,请以英文原文为准。
求助全文
约1分钟内获得全文 求助全文
来源期刊
CiteScore
6.10
自引率
6.80%
发文量
53
审稿时长
>12 weeks
期刊介绍: The journal features cutting-edge original research, brief communications, and state-of-the-art reviews in the specialties of allergy, asthma, and immunology, including clinical and experimental studies and instructive case reports. Contemporary reviews summarize information on topics for researchers and physicians in the fields of allergy and immunology. As of January 2017, AAIR do not accept case reports. However, if it is a clinically important case, authors can submit it in the form of letter to the Editor. Editorials and letters to the Editor explore controversial issues and encourage further discussion among physicians dealing with allergy, immunology, pediatric respirology, and related medical fields. AAIR also features topics in practice and management and recent advances in equipment and techniques for clinicians concerned with clinical manifestations of allergies and pediatric respiratory diseases.
×
引用
GB/T 7714-2015
复制
MLA
复制
APA
复制
导出至
BibTeX EndNote RefMan NoteFirst NoteExpress
×
提示
您的信息不完整,为了账户安全,请先补充。
现在去补充
×
提示
您因"违规操作"
具体请查看互助需知
我知道了
×
提示
确定
请完成安全验证×
copy
已复制链接
快去分享给好友吧!
我知道了
右上角分享
点击右上角分享
0
联系我们:info@booksci.cn Book学术提供免费学术资源搜索服务,方便国内外学者检索中英文文献。致力于提供最便捷和优质的服务体验。 Copyright © 2023 布克学术 All rights reserved.
京ICP备2023020795号-1
ghs 京公网安备 11010802042870号
Book学术文献互助
Book学术文献互助群
群 号:604180095
Book学术官方微信