Schistocytes Evaluation in Iron Deficiency: An Assessment Adopted From ICSH Nomenclature Guideline.

IF 2.6 Q3 HEMATOLOGY
Anemia Pub Date : 2025-07-21 eCollection Date: 2025-01-01 DOI:10.1155/anem/9990762
Tri Ratnaningsih, Galih R Martani, Dhia C Putri, Usi Sukorini
{"title":"Schistocytes Evaluation in Iron Deficiency: An Assessment Adopted From ICSH Nomenclature Guideline.","authors":"Tri Ratnaningsih, Galih R Martani, Dhia C Putri, Usi Sukorini","doi":"10.1155/anem/9990762","DOIUrl":null,"url":null,"abstract":"<p><p><b>Introduction:</b> The diagnostic validity of schistocyte count in diagnosing iron deficiency (ID) in the microcytic population is critical. The purpose of this study is to identify the correlation between schistocyte count and iron parameters and the performance of schistocyte count in diagnosing ID in the microcytic population. <b>Methods:</b> Out of 805 general checkup participants, 65 subjects consisting of 17 males and 48 females aged 18-56 years had Mean Corpuscular Value (MCV) < 80 fL. Serum ferritin examination showed 25 patients with ID and the other 40 subjects without ID. <b>Result:</b> There was a significant difference in the schistocyte count between the two groups (<i>p</i> < 0.001). Correlation analysis obtained a significant relationship between schistocyte count and serum ferritin (<i>r</i> = -0.67, <i>p</i> < 0.001). The receiver operating characteristic (ROC) curve analysis provided an area under the curve (AUC) of schistocyte count of 0.827, with a sensitivity of 80% and specificity of 75% for a cutoff of ≥ 0.75%. <b>Conclusion:</b> Schistocyte count has a significant correlation with iron parameters and can be used as a marker for ID in the microcytic population. Health facilities that do not have access to iron parameters examination can perform a schistocyte count.</p>","PeriodicalId":46055,"journal":{"name":"Anemia","volume":"2025 ","pages":"9990762"},"PeriodicalIF":2.6000,"publicationDate":"2025-07-21","publicationTypes":"Journal Article","fieldsOfStudy":null,"isOpenAccess":false,"openAccessPdf":"https://www.ncbi.nlm.nih.gov/pmc/articles/PMC12303650/pdf/","citationCount":"0","resultStr":null,"platform":"Semanticscholar","paperid":null,"PeriodicalName":"Anemia","FirstCategoryId":"1085","ListUrlMain":"https://doi.org/10.1155/anem/9990762","RegionNum":0,"RegionCategory":null,"ArticlePicture":[],"TitleCN":null,"AbstractTextCN":null,"PMCID":null,"EPubDate":"2025/1/1 0:00:00","PubModel":"eCollection","JCR":"Q3","JCRName":"HEMATOLOGY","Score":null,"Total":0}
引用次数: 0

Abstract

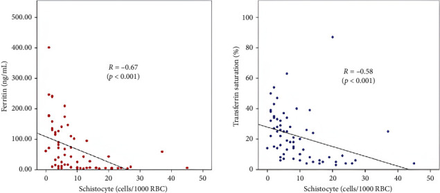
Introduction: The diagnostic validity of schistocyte count in diagnosing iron deficiency (ID) in the microcytic population is critical. The purpose of this study is to identify the correlation between schistocyte count and iron parameters and the performance of schistocyte count in diagnosing ID in the microcytic population. Methods: Out of 805 general checkup participants, 65 subjects consisting of 17 males and 48 females aged 18-56 years had Mean Corpuscular Value (MCV) < 80 fL. Serum ferritin examination showed 25 patients with ID and the other 40 subjects without ID. Result: There was a significant difference in the schistocyte count between the two groups (p < 0.001). Correlation analysis obtained a significant relationship between schistocyte count and serum ferritin (r = -0.67, p < 0.001). The receiver operating characteristic (ROC) curve analysis provided an area under the curve (AUC) of schistocyte count of 0.827, with a sensitivity of 80% and specificity of 75% for a cutoff of ≥ 0.75%. Conclusion: Schistocyte count has a significant correlation with iron parameters and can be used as a marker for ID in the microcytic population. Health facilities that do not have access to iron parameters examination can perform a schistocyte count.

Abstract Image

Abstract Image

Abstract Image

缺铁时的血吸虫细胞评价:来自ICSH命名指南的评价。
摘要:血吸虫计数诊断小细胞群体缺铁(ID)的有效性至关重要。本研究的目的是确定小细胞群体中血吸虫计数与铁参数的相关性,以及血吸虫计数在诊断ID中的表现。方法:在805名普通体检者中,年龄18-56岁,男性17名,女性48名,平均红细胞值(Mean Corpuscular Value, MCV) < 80 fL。血清铁蛋白检查显示有ID 25例,无ID 40例。结果:两组间血吸虫细胞计数差异有统计学意义(p < 0.001)。相关分析显示,血吸虫细胞计数与血清铁蛋白之间存在显著相关性(r = -0.67, p < 0.001)。受试者工作特征(ROC)曲线分析提供的血吸虫细胞计数曲线下面积(AUC)为0.827,灵敏度为80%,特异性为75%,临界值≥0.75%。结论:血吸虫细胞计数与铁参数有显著相关性,可作为小细胞群体ID的标志。无法进行铁参数检查的卫生机构可以进行血吸虫细胞计数。
本文章由计算机程序翻译,如有差异,请以英文原文为准。
求助全文
约1分钟内获得全文 求助全文
来源期刊
Anemia
Anemia HEMATOLOGY-
CiteScore
4.80
自引率
3.40%
发文量
11
审稿时长
18 weeks
期刊介绍: Anemia is a peer-reviewed, Open Access journal that publishes original research articles, review articles, and clinical studies on all types of anemia. Articles focusing on patient care, health systems, epidemiology, and animal models will be considered, among other relevant topics. Affecting roughly one third of the world’s population, anemia is a major public health concern. The journal aims to facilitate the exchange of research addressing global health and mortality relating to anemia and associated diseases.
×
引用
GB/T 7714-2015
复制
MLA
复制
APA
复制
导出至
BibTeX EndNote RefMan NoteFirst NoteExpress
×
提示
您的信息不完整,为了账户安全,请先补充。
现在去补充
×
提示
您因"违规操作"
具体请查看互助需知
我知道了
×
提示
确定
请完成安全验证×
copy
已复制链接
快去分享给好友吧!
我知道了
右上角分享
点击右上角分享
0
联系我们:info@booksci.cn Book学术提供免费学术资源搜索服务,方便国内外学者检索中英文文献。致力于提供最便捷和优质的服务体验。 Copyright © 2023 布克学术 All rights reserved.
京ICP备2023020795号-1
ghs 京公网安备 11010802042870号
Book学术文献互助
Book学术文献互助群
群 号:604180095
Book学术官方微信