Optimal Utilization of Donors Aged ≥65 Y in Lung Transplantation to Increase Donor Availability While Maintaining Comparable Posttransplant Outcomes.

IF 1.9 Q3 TRANSPLANTATION
Transplantation Direct Pub Date : 2025-07-24 eCollection Date: 2025-08-01 DOI:10.1097/TXD.0000000000001838
Marniker A Wijesinha, Maksim Korotun, Michael L Terrin, Craig J Fryman, Manish R Mohanka, Si M Pham, Aldo T Iacono
{"title":"Optimal Utilization of Donors Aged ≥65 Y in Lung Transplantation to Increase Donor Availability While Maintaining Comparable Posttransplant Outcomes.","authors":"Marniker A Wijesinha, Maksim Korotun, Michael L Terrin, Craig J Fryman, Manish R Mohanka, Si M Pham, Aldo T Iacono","doi":"10.1097/TXD.0000000000001838","DOIUrl":null,"url":null,"abstract":"<p><strong>Background: </strong>Utilizing older donors (≥65 y) in lung transplantation can greatly expand donor availability while potentially maintaining typical survival outcomes in certain subpopulations, such as older recipients, especially compared to survival with single lung transplants (which comprise ~20%-25% of US lung transplants according to recent data).</p><p><strong>Methods: </strong>This study included US adult lung transplants from 2010 to 2021 in the Scientific Registry for Transplant Recipients. To compare patient groups defined by donor age (D < 65 or D ≥ 65) and transplant type (single or double), stratified by recipient age (R18-39, R40-64, R ≥ 65), Inverse probability of treatment weighting was used to generate Kaplan-Meier survival estimates adjusted for >15 available covariates.</p><p><strong>Results: </strong>In R40-64, survival with D ≥ 65 double (adjusted median survival [aMS] = 7.1 [3.3-12.0] y, n = 150, <i>P</i> = 0.15) at least equaled survival with D < 65 single (aMS = 5.7 [2.5-10.2] y, n = 2926), whereas D ≥ 65 single use was uncommon (n = 23), and survival was highest with D < 65 double (aMS = 7.7 [3.0-13.4] y, n = 10 934, <i>P</i> < 0.01). In R ≥ 65, survival with D ≥ 65 double (aMS = 5.0 [2.2-10.8] y, n = 90, <i>P</i> = 0.53) or D ≥ 65 single (aMS = 5.3 [1.9-8.4] y, n = 73, <i>P</i> = 0.72) was not significantly different from survival with D < 65 single (aMS = 4.7 [2.1-8.1] y, n = 3913), whereas survival was highest with D < 65 double (aMS = 5.8 [2.0-10.2] y, n = 4209, <i>P</i> < 0.01). In R18-39, D ≥ 65 were uncommon (n = 15).</p><p><strong>Conclusions: </strong>Among lung recipients aged 40-64 y, donor age ≥65 y double transplants yield survival at least matching that of donor age <65 y single transplants. Among recipients aged ≥65 y, donor age ≥65 y double or single transplants yield survival comparable to that of donor age <65 single transplants. Compared with donor age <65 y double transplants, donor age ≥65 y double transplants had only ≤10 mo shorter adjusted median survival, within recipients aged ≥40 y. Judiciously increasing utilization of donors aged ≥65 y within recipients aged ≥40 y can reduce deaths among patients needing a lung transplant by decreasing donor scarcity, while maintaining favorable posttransplant survival.</p>","PeriodicalId":23225,"journal":{"name":"Transplantation Direct","volume":"11 8","pages":"e1838"},"PeriodicalIF":1.9000,"publicationDate":"2025-07-24","publicationTypes":"Journal Article","fieldsOfStudy":null,"isOpenAccess":false,"openAccessPdf":"https://www.ncbi.nlm.nih.gov/pmc/articles/PMC12289137/pdf/","citationCount":"0","resultStr":null,"platform":"Semanticscholar","paperid":null,"PeriodicalName":"Transplantation Direct","FirstCategoryId":"1085","ListUrlMain":"https://doi.org/10.1097/TXD.0000000000001838","RegionNum":0,"RegionCategory":null,"ArticlePicture":[],"TitleCN":null,"AbstractTextCN":null,"PMCID":null,"EPubDate":"2025/8/1 0:00:00","PubModel":"eCollection","JCR":"Q3","JCRName":"TRANSPLANTATION","Score":null,"Total":0}
引用次数: 0

Abstract

Background: Utilizing older donors (≥65 y) in lung transplantation can greatly expand donor availability while potentially maintaining typical survival outcomes in certain subpopulations, such as older recipients, especially compared to survival with single lung transplants (which comprise ~20%-25% of US lung transplants according to recent data).

Methods: This study included US adult lung transplants from 2010 to 2021 in the Scientific Registry for Transplant Recipients. To compare patient groups defined by donor age (D < 65 or D ≥ 65) and transplant type (single or double), stratified by recipient age (R18-39, R40-64, R ≥ 65), Inverse probability of treatment weighting was used to generate Kaplan-Meier survival estimates adjusted for >15 available covariates.

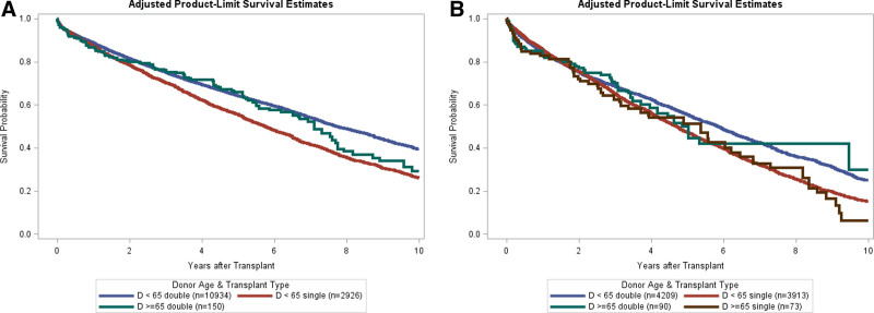
Results: In R40-64, survival with D ≥ 65 double (adjusted median survival [aMS] = 7.1 [3.3-12.0] y, n = 150, P = 0.15) at least equaled survival with D < 65 single (aMS = 5.7 [2.5-10.2] y, n = 2926), whereas D ≥ 65 single use was uncommon (n = 23), and survival was highest with D < 65 double (aMS = 7.7 [3.0-13.4] y, n = 10 934, P < 0.01). In R ≥ 65, survival with D ≥ 65 double (aMS = 5.0 [2.2-10.8] y, n = 90, P = 0.53) or D ≥ 65 single (aMS = 5.3 [1.9-8.4] y, n = 73, P = 0.72) was not significantly different from survival with D < 65 single (aMS = 4.7 [2.1-8.1] y, n = 3913), whereas survival was highest with D < 65 double (aMS = 5.8 [2.0-10.2] y, n = 4209, P < 0.01). In R18-39, D ≥ 65 were uncommon (n = 15).

Conclusions: Among lung recipients aged 40-64 y, donor age ≥65 y double transplants yield survival at least matching that of donor age <65 y single transplants. Among recipients aged ≥65 y, donor age ≥65 y double or single transplants yield survival comparable to that of donor age <65 single transplants. Compared with donor age <65 y double transplants, donor age ≥65 y double transplants had only ≤10 mo shorter adjusted median survival, within recipients aged ≥40 y. Judiciously increasing utilization of donors aged ≥65 y within recipients aged ≥40 y can reduce deaths among patients needing a lung transplant by decreasing donor scarcity, while maintaining favorable posttransplant survival.

Abstract Image

Abstract Image

Abstract Image

≥65岁供体在肺移植中的最佳利用,以增加供体的可用性,同时保持可比较的移植后结果。
背景:在肺移植中使用老年供体(≥65岁)可以极大地扩大供体的可用性,同时在某些亚群中可能保持典型的生存结果,例如老年受者,特别是与单肺移植的生存相比(根据最近的数据,单肺移植占美国肺移植的20%-25%)。方法:本研究纳入了移植接受者科学登记处2010年至2021年的美国成人肺移植。比较由供体年龄(d15个可用协变量)定义的患者组。结果:在R40-64中,D≥65双组(调整中位生存率[aMS] = 7.1 [3.3-12.0] y, n = 150, P = 0.15)的生存率至少等于pd组的生存率P = 0.53)或D≥65单组(aMS = 5.3 [1.9-8.4] y, n = 73, P = 0.72)的生存率与pd组的生存率无显著差异。结论:在40-64岁的肺受体中,供体年龄≥65 y双组移植的生存率至少与供体年龄相匹配
本文章由计算机程序翻译,如有差异,请以英文原文为准。
求助全文
约1分钟内获得全文 求助全文
来源期刊
Transplantation Direct
Transplantation Direct TRANSPLANTATION-
CiteScore
3.40
自引率
4.30%
发文量
193
审稿时长
8 weeks
×
引用
GB/T 7714-2015
复制
MLA
复制
APA
复制
导出至
BibTeX EndNote RefMan NoteFirst NoteExpress
×
提示
您的信息不完整,为了账户安全,请先补充。
现在去补充
×
提示
您因"违规操作"
具体请查看互助需知
我知道了
×
提示
确定
请完成安全验证×
copy
已复制链接
快去分享给好友吧!
我知道了
右上角分享
点击右上角分享
0
联系我们:info@booksci.cn Book学术提供免费学术资源搜索服务,方便国内外学者检索中英文文献。致力于提供最便捷和优质的服务体验。 Copyright © 2023 布克学术 All rights reserved.
京ICP备2023020795号-1
ghs 京公网安备 11010802042870号
Book学术文献互助
Book学术文献互助群
群 号:604180095
Book学术官方微信