Investigating the effects of transcranial direct current stimulation (tDCS) on working memory training in individuals with schizophrenia.

IF 4.1 Q2 PSYCHIATRY
Tobias Schwippel, Sanvi Korsapathy, Ibrahim Hajiyev, Aylin Utlu, Simone Weller, Daniel Kamp, Christian Plewnia
{"title":"Investigating the effects of transcranial direct current stimulation (tDCS) on working memory training in individuals with schizophrenia.","authors":"Tobias Schwippel, Sanvi Korsapathy, Ibrahim Hajiyev, Aylin Utlu, Simone Weller, Daniel Kamp, Christian Plewnia","doi":"10.1038/s41537-025-00647-5","DOIUrl":null,"url":null,"abstract":"<p><p>Cognitive impairments in schizophrenia significantly impact daily functioning and quality of life, posing a major therapeutic challenge. While both cognitive training and transcranial direct current stimulation (tDCS) have shown promise in improving cognitive function, their combined effects remain underexplored. This double-blind, sham-controlled, randomized clinical trial investigated whether adaptive working memory training (aWMT) paired with anodal tDCS to the right dorsolateral prefrontal cortex (DLPFC) enhances cognitive outcomes in schizophrenia. Twenty-eight individuals with schizophrenia or schizoaffective disorder completed ten sessions of aWMT with concurrent 2 mA anodal or sham tDCS. Cognitive improvements were assessed using the Brief Assessment of Cognition in Schizophrenia (BACS) at baseline, three days after training, and at follow-ups one month, and three months later. Clinical measures evaluated psychopathology, depression, and quality of life. Anodal tDCS significantly improved working memory performance during training, with gains partially sustained at follow-ups. Short-term transfer effects with large effect sizes were observed in the BACS, although clinical symptoms and quality of life remained unaffected. While preliminary, these findings indicate that tDCS could support cognitive training outcomes in schizophrenia. Larger randomized controlled trials are needed to confirm transfer effects and determine the long-term benefits of this approach. If proven effective, integrating tDCS into cognitive remediation therapies could represent an innovative strategy to address cognitive deficits in schizophrenia.</p>","PeriodicalId":74758,"journal":{"name":"Schizophrenia (Heidelberg, Germany)","volume":"11 1","pages":"106"},"PeriodicalIF":4.1000,"publicationDate":"2025-07-24","publicationTypes":"Journal Article","fieldsOfStudy":null,"isOpenAccess":false,"openAccessPdf":"https://www.ncbi.nlm.nih.gov/pmc/articles/PMC12290004/pdf/","citationCount":"0","resultStr":null,"platform":"Semanticscholar","paperid":null,"PeriodicalName":"Schizophrenia (Heidelberg, Germany)","FirstCategoryId":"1085","ListUrlMain":"https://doi.org/10.1038/s41537-025-00647-5","RegionNum":0,"RegionCategory":null,"ArticlePicture":[],"TitleCN":null,"AbstractTextCN":null,"PMCID":null,"EPubDate":"","PubModel":"","JCR":"Q2","JCRName":"PSYCHIATRY","Score":null,"Total":0}
引用次数: 0

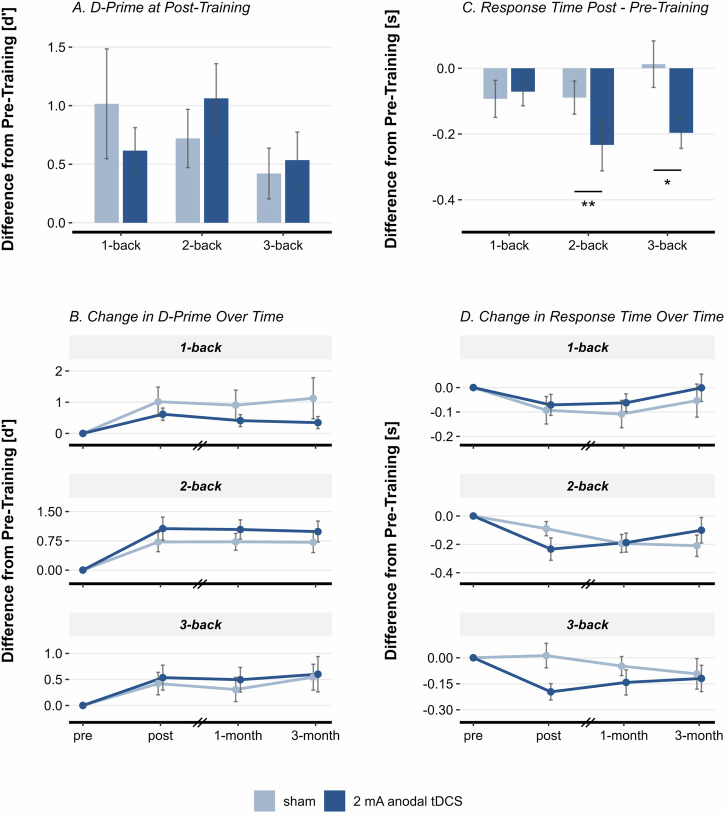
Abstract

Cognitive impairments in schizophrenia significantly impact daily functioning and quality of life, posing a major therapeutic challenge. While both cognitive training and transcranial direct current stimulation (tDCS) have shown promise in improving cognitive function, their combined effects remain underexplored. This double-blind, sham-controlled, randomized clinical trial investigated whether adaptive working memory training (aWMT) paired with anodal tDCS to the right dorsolateral prefrontal cortex (DLPFC) enhances cognitive outcomes in schizophrenia. Twenty-eight individuals with schizophrenia or schizoaffective disorder completed ten sessions of aWMT with concurrent 2 mA anodal or sham tDCS. Cognitive improvements were assessed using the Brief Assessment of Cognition in Schizophrenia (BACS) at baseline, three days after training, and at follow-ups one month, and three months later. Clinical measures evaluated psychopathology, depression, and quality of life. Anodal tDCS significantly improved working memory performance during training, with gains partially sustained at follow-ups. Short-term transfer effects with large effect sizes were observed in the BACS, although clinical symptoms and quality of life remained unaffected. While preliminary, these findings indicate that tDCS could support cognitive training outcomes in schizophrenia. Larger randomized controlled trials are needed to confirm transfer effects and determine the long-term benefits of this approach. If proven effective, integrating tDCS into cognitive remediation therapies could represent an innovative strategy to address cognitive deficits in schizophrenia.

Abstract Image

Abstract Image

Abstract Image

探讨经颅直流电刺激(tDCS)对精神分裂症患者工作记忆训练的影响。
精神分裂症患者的认知障碍严重影响日常功能和生活质量,对治疗提出了重大挑战。虽然认知训练和经颅直流电刺激(tDCS)都显示出改善认知功能的希望,但它们的联合效果仍未得到充分探索。这项双盲、假对照、随机临床试验研究了适应性工作记忆训练(aWMT)与右背外侧前额叶皮层(DLPFC)的阳极tDCS配对是否能增强精神分裂症患者的认知结果。28名精神分裂症或分裂情感性障碍患者完成了10次aWMT,同时伴有2 mA的神经性或假性tDCS。在基线、训练后3天、随访1个月和3个月时,使用精神分裂症患者认知能力简要评估(BACS)评估认知改善。临床测量评估精神病理、抑郁和生活质量。在训练期间,无节点tDCS显著改善了工作记忆的表现,在随访中,这种改善部分得以维持。尽管临床症状和生活质量未受影响,但在BACS中观察到具有大效应量的短期转移效应。虽然是初步的,但这些发现表明tDCS可以支持精神分裂症的认知训练结果。需要更大规模的随机对照试验来证实转移效应,并确定这种方法的长期效益。如果证明有效,将tDCS整合到认知修复疗法中可能代表一种解决精神分裂症认知缺陷的创新策略。
本文章由计算机程序翻译,如有差异,请以英文原文为准。
求助全文
约1分钟内获得全文 求助全文
来源期刊
自引率
0.00%
发文量
0
×
引用
GB/T 7714-2015
复制
MLA
复制
APA
复制
导出至
BibTeX EndNote RefMan NoteFirst NoteExpress
×
提示
您的信息不完整,为了账户安全,请先补充。
现在去补充
×
提示
您因"违规操作"
具体请查看互助需知
我知道了
×
提示
确定
请完成安全验证×
copy
已复制链接
快去分享给好友吧!
我知道了
右上角分享
点击右上角分享
0
联系我们:info@booksci.cn Book学术提供免费学术资源搜索服务,方便国内外学者检索中英文文献。致力于提供最便捷和优质的服务体验。 Copyright © 2023 布克学术 All rights reserved.
京ICP备2023020795号-1
ghs 京公网安备 11010802042870号
Book学术文献互助
Book学术文献互助群
群 号:604180095
Book学术官方微信