Inflammatory markers in the cerebrospinal fluid linked to mortality in tuberculous meningitis.

IF 4.5 Q1 CLINICAL NEUROLOGY
Brain communications Pub Date : 2025-07-16 eCollection Date: 2025-01-01 DOI:10.1093/braincomms/fcaf273
Sofiati Dian, Valerie A C M Koeken, Edwin Ardiansyah, Ahmad R Ganiem, Kirsten van Abeelen, Raúl Aguirre-Gamboa, Feby Purnama, Sofia Imaculata, Jessi Annisa, Lidya Chaidir, Rovina Ruslami, Leo A B Joosten, Mihai G Netea, Bachti Alisjahbana, Reinout van Crevel, Arjan van Laarhoven, Vinod Kumar
{"title":"Inflammatory markers in the cerebrospinal fluid linked to mortality in tuberculous meningitis.","authors":"Sofiati Dian, Valerie A C M Koeken, Edwin Ardiansyah, Ahmad R Ganiem, Kirsten van Abeelen, Raúl Aguirre-Gamboa, Feby Purnama, Sofia Imaculata, Jessi Annisa, Lidya Chaidir, Rovina Ruslami, Leo A B Joosten, Mihai G Netea, Bachti Alisjahbana, Reinout van Crevel, Arjan van Laarhoven, Vinod Kumar","doi":"10.1093/braincomms/fcaf273","DOIUrl":null,"url":null,"abstract":"<p><p>This study examines the role of host inflammation in the high mortality of tuberculous meningitis (TBM) and identifies potential biomarkers associated with improved survival. We conducted a case-control study involving 131 patients in a discovery cohort, 81 TBM patients in a validation cohort, and 43 non-infected controls from a referral hospital in Indonesia. We measured 94 inflammation-related proteins in cerebrospinal fluid (CSF) and performed genome-wide quantitative trait loci (QTL) mapping. Sixty-seven proteins were found to be differentially expressed between TBM patients and controls, with 64 proteins elevated in patients. Five proteins, including vascular endothelial growth factor (VEGF) and matrix metalloproteinase-10 (MMP-10), were identified as predictors of 180-day mortality in TBM patients. The validation cohort confirmed that MMP-10, but not VEGF, was predictive of mortality. Genome-wide QTL mapping identified two genome-wide significant and four suggestive genetic loci associated with CSF MMP-10, which also predicted survival in an additional cohort of 218 patients. High CSF concentrations of MMP-10, along with specific genetic loci, may be associated with survival in TBM patients, suggesting a potential role for MMP-10 in disease pathogenesis and warranting further investigation into its utility in host-directed therapies.</p>","PeriodicalId":93915,"journal":{"name":"Brain communications","volume":"7 4","pages":"fcaf273"},"PeriodicalIF":4.5000,"publicationDate":"2025-07-16","publicationTypes":"Journal Article","fieldsOfStudy":null,"isOpenAccess":false,"openAccessPdf":"https://www.ncbi.nlm.nih.gov/pmc/articles/PMC12284393/pdf/","citationCount":"0","resultStr":null,"platform":"Semanticscholar","paperid":null,"PeriodicalName":"Brain communications","FirstCategoryId":"1085","ListUrlMain":"https://doi.org/10.1093/braincomms/fcaf273","RegionNum":0,"RegionCategory":null,"ArticlePicture":[],"TitleCN":null,"AbstractTextCN":null,"PMCID":null,"EPubDate":"2025/1/1 0:00:00","PubModel":"eCollection","JCR":"Q1","JCRName":"CLINICAL NEUROLOGY","Score":null,"Total":0}
引用次数: 0

Abstract

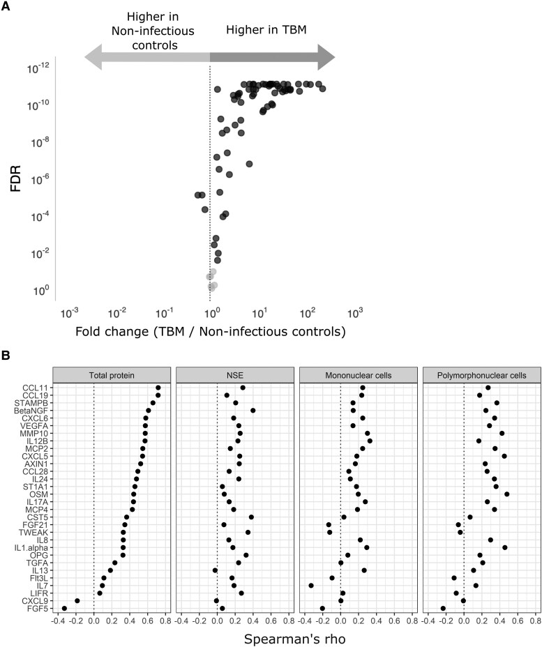
This study examines the role of host inflammation in the high mortality of tuberculous meningitis (TBM) and identifies potential biomarkers associated with improved survival. We conducted a case-control study involving 131 patients in a discovery cohort, 81 TBM patients in a validation cohort, and 43 non-infected controls from a referral hospital in Indonesia. We measured 94 inflammation-related proteins in cerebrospinal fluid (CSF) and performed genome-wide quantitative trait loci (QTL) mapping. Sixty-seven proteins were found to be differentially expressed between TBM patients and controls, with 64 proteins elevated in patients. Five proteins, including vascular endothelial growth factor (VEGF) and matrix metalloproteinase-10 (MMP-10), were identified as predictors of 180-day mortality in TBM patients. The validation cohort confirmed that MMP-10, but not VEGF, was predictive of mortality. Genome-wide QTL mapping identified two genome-wide significant and four suggestive genetic loci associated with CSF MMP-10, which also predicted survival in an additional cohort of 218 patients. High CSF concentrations of MMP-10, along with specific genetic loci, may be associated with survival in TBM patients, suggesting a potential role for MMP-10 in disease pathogenesis and warranting further investigation into its utility in host-directed therapies.

Abstract Image

Abstract Image

Abstract Image

脑脊液中的炎症标志物与结核性脑膜炎的死亡率有关
本研究探讨了宿主炎症在结核性脑膜炎(TBM)高死亡率中的作用,并确定了与提高生存率相关的潜在生物标志物。我们进行了一项病例对照研究,包括来自印度尼西亚一家转诊医院的131名患者(发现队列)、81名TBM患者(验证队列)和43名非感染对照。我们测量了脑脊液(CSF)中94种炎症相关蛋白,并进行了全基因组数量性状位点(QTL)定位。发现67种蛋白在TBM患者和对照组之间表达差异,其中64种蛋白在患者中升高。包括血管内皮生长因子(VEGF)和基质金属蛋白酶-10 (MMP-10)在内的5种蛋白被确定为TBM患者180天死亡率的预测因子。验证队列证实MMP-10可预测死亡率,而非VEGF。全基因组QTL定位确定了两个与CSF MMP-10相关的全基因组显著和四个提示性遗传位点,这也预测了另外218例患者的生存。脑脊液中高浓度的MMP-10,以及特定的基因位点,可能与TBM患者的生存有关,这表明MMP-10在疾病发病机制中的潜在作用,并需要进一步研究其在宿主导向治疗中的效用。
本文章由计算机程序翻译,如有差异,请以英文原文为准。
求助全文
约1分钟内获得全文 求助全文
来源期刊
CiteScore
7.00
自引率
0.00%
发文量
0
审稿时长
6 weeks
×
引用
GB/T 7714-2015
复制
MLA
复制
APA
复制
导出至
BibTeX EndNote RefMan NoteFirst NoteExpress
×
提示
您的信息不完整,为了账户安全,请先补充。
现在去补充
×
提示
您因"违规操作"
具体请查看互助需知
我知道了
×
提示
确定
请完成安全验证×
copy
已复制链接
快去分享给好友吧!
我知道了
右上角分享
点击右上角分享
0
联系我们:info@booksci.cn Book学术提供免费学术资源搜索服务,方便国内外学者检索中英文文献。致力于提供最便捷和优质的服务体验。 Copyright © 2023 布克学术 All rights reserved.
京ICP备2023020795号-1
ghs 京公网安备 11010802042870号
Book学术文献互助
Book学术文献互助群
群 号:604180095
Book学术官方微信