Radiomics analysis for the early diagnosis of common sexually transmitted infections and skin lesions.

IF 7.7
PLOS digital health Pub Date : 2025-07-23 eCollection Date: 2025-07-01 DOI:10.1371/journal.pdig.0000926
Jiajun Sun, Zhen Yu, Yingping Li, Janet M Towns, Lin Zhang, Jason J Ong, Zongyuan Ge, Christopher K Fairley, Lei Zhang
{"title":"Radiomics analysis for the early diagnosis of common sexually transmitted infections and skin lesions.","authors":"Jiajun Sun, Zhen Yu, Yingping Li, Janet M Towns, Lin Zhang, Jason J Ong, Zongyuan Ge, Christopher K Fairley, Lei Zhang","doi":"10.1371/journal.pdig.0000926","DOIUrl":null,"url":null,"abstract":"<p><p>Early identification of sexually transmitted infection (STI) symptoms can prevent subsequent complications and improve STI control. We analysed 597 images from STIAtlas and categorised the images into four typical STIs and two skin lesions by the anatomical sites of infections. We first applied nine image filters and 11 machine-learning image classifiers to the images. We then extracted radiomics features from the filtered images and trained them with 99 models that combined image filters and classifiers. Model performance was evaluated by area under curve (AUC) and permutation importance. When the information of infection sites was unspecified, a combined Gradient-Boosted Decision Trees (GBDT) classifier and Laplacian of Gaussian (LoG) filter model achieved the best overall performance with an average AUC of 0.681 (95% CI 0.628-0.734). This model predicted best for lichen sclerosus (AUC = 0.768, 0.740-0.796). The incorporation of infection site information led to a substantial improvement in the model's performance, with 22.3% improvement for anal infections (AUC = 0.833, 0.687-0.979) and 3.8% for skin infections (AUC = 0.707, 0.608-0.806). Lesion texture and statistical radiomics features were the most predictive for STIs. Combining machine learning and radiomics techniques is an effective method to categorise skin lesions associated with STIs clinically.</p>","PeriodicalId":74465,"journal":{"name":"PLOS digital health","volume":"4 7","pages":"e0000926"},"PeriodicalIF":7.7000,"publicationDate":"2025-07-23","publicationTypes":"Journal Article","fieldsOfStudy":null,"isOpenAccess":false,"openAccessPdf":"https://www.ncbi.nlm.nih.gov/pmc/articles/PMC12286352/pdf/","citationCount":"0","resultStr":null,"platform":"Semanticscholar","paperid":null,"PeriodicalName":"PLOS digital health","FirstCategoryId":"1085","ListUrlMain":"https://doi.org/10.1371/journal.pdig.0000926","RegionNum":0,"RegionCategory":null,"ArticlePicture":[],"TitleCN":null,"AbstractTextCN":null,"PMCID":null,"EPubDate":"2025/7/1 0:00:00","PubModel":"eCollection","JCR":"","JCRName":"","Score":null,"Total":0}
引用次数: 0

Abstract

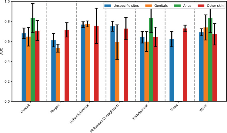
Early identification of sexually transmitted infection (STI) symptoms can prevent subsequent complications and improve STI control. We analysed 597 images from STIAtlas and categorised the images into four typical STIs and two skin lesions by the anatomical sites of infections. We first applied nine image filters and 11 machine-learning image classifiers to the images. We then extracted radiomics features from the filtered images and trained them with 99 models that combined image filters and classifiers. Model performance was evaluated by area under curve (AUC) and permutation importance. When the information of infection sites was unspecified, a combined Gradient-Boosted Decision Trees (GBDT) classifier and Laplacian of Gaussian (LoG) filter model achieved the best overall performance with an average AUC of 0.681 (95% CI 0.628-0.734). This model predicted best for lichen sclerosus (AUC = 0.768, 0.740-0.796). The incorporation of infection site information led to a substantial improvement in the model's performance, with 22.3% improvement for anal infections (AUC = 0.833, 0.687-0.979) and 3.8% for skin infections (AUC = 0.707, 0.608-0.806). Lesion texture and statistical radiomics features were the most predictive for STIs. Combining machine learning and radiomics techniques is an effective method to categorise skin lesions associated with STIs clinically.

Abstract Image

Abstract Image

Abstract Image

放射组学分析用于常见性传播感染和皮肤病变的早期诊断。
早期识别性传播感染(STI)症状可以预防随后的并发症并改善STI控制。我们分析了来自STIAtlas的597张图像,并根据感染的解剖部位将图像分为四种典型的性传播感染和两种皮肤病变。我们首先对图像应用了9个图像过滤器和11个机器学习图像分类器。然后,我们从过滤后的图像中提取放射组学特征,并使用99个结合图像过滤器和分类器的模型对其进行训练。通过曲线下面积(AUC)和排列重要性评价模型的性能。在感染位点信息不明确的情况下,采用梯度增强决策树(GBDT)分类器和拉普拉斯高斯(LoG)滤波模型的综合性能最佳,平均AUC为0.681 (95% CI为0.628-0.734)。该模型对硬化地衣的预测效果最佳(AUC = 0.768, 0.740 ~ 0.796)。感染部位信息的加入使模型的性能有了很大的提高,肛门感染的性能提高了22.3% (AUC = 0.833, 0.687-0.979),皮肤感染的性能提高了3.8% (AUC = 0.707, 0.608-0.806)。病变质地和统计学放射组学特征最能预测性传播感染。结合机器学习和放射组学技术是临床对性传播感染相关皮肤病变进行分类的有效方法。
本文章由计算机程序翻译,如有差异,请以英文原文为准。
求助全文
约1分钟内获得全文 求助全文
来源期刊
自引率
0.00%
发文量
0
×
引用
GB/T 7714-2015
复制
MLA
复制
APA
复制
导出至
BibTeX EndNote RefMan NoteFirst NoteExpress
×
提示
您的信息不完整,为了账户安全,请先补充。
现在去补充
×
提示
您因"违规操作"
具体请查看互助需知
我知道了
×
提示
确定
请完成安全验证×
copy
已复制链接
快去分享给好友吧!
我知道了
右上角分享
点击右上角分享
0
联系我们:info@booksci.cn Book学术提供免费学术资源搜索服务,方便国内外学者检索中英文文献。致力于提供最便捷和优质的服务体验。 Copyright © 2023 布克学术 All rights reserved.
京ICP备2023020795号-1
ghs 京公网安备 11010802042870号
Book学术文献互助
Book学术文献互助群
群 号:604180095
Book学术官方微信