Genetic influences on the association between DNA methylation and obesity measures: insights from a twin study design.

IF 6.2 2区 生物学 Q1 BIOCHEMISTRY & MOLECULAR BIOLOGY
Xuanming Hong, Hui Cao, Weihua Cao, Jun Lv, Canqing Yu, Tao Huang, Dianjianyi Sun, Chunxiao Liao, Yuanjie Pang, Runhua Hu, Ruqin Gao, Min Yu, Jinyi Zhou, Xianping Wu, Yu Liu, Shengli Yin, Wenjing Gao, Liming Li
{"title":"Genetic influences on the association between DNA methylation and obesity measures: insights from a twin study design.","authors":"Xuanming Hong, Hui Cao, Weihua Cao, Jun Lv, Canqing Yu, Tao Huang, Dianjianyi Sun, Chunxiao Liao, Yuanjie Pang, Runhua Hu, Ruqin Gao, Min Yu, Jinyi Zhou, Xianping Wu, Yu Liu, Shengli Yin, Wenjing Gao, Liming Li","doi":"10.1186/s13578-025-01446-2","DOIUrl":null,"url":null,"abstract":"<p><strong>Background: </strong>Both obesity and DNA methylation (DNAm) are influenced by genetic factors. Despite more than a thousand of obesity-related DNAm sites (CpGs) being identified, studies that account for genetic influences in these associations are limited.</p><p><strong>Results: </strong>Using data from 1,074 twins in the Chinese National Twin Registry and bivariate structural equation models (SEMs), we investigated the phenotypic (Rph), genetic (Ra), and environmental (Re) correlations between genome-wide DNAm and three obesity indices: BMI, waist circumference (WC), and waist-to-hip ratio (WHR). Genome-wide, correlations between DNAm and obesity were small (Rph = 0.04, Ra = 0.08-0.09, Re = 0.02-0.03). For CpGs with high phenotypic correlation (Rph > 0.1), the mean genetic and environmental correlations were 0.23-0.24 and 0.03-0.05, respectively, indicating significant genetic influence on the DNAm-obesity associations. To further investigate the role of genetic influences, we then categorized the CpGs into different groups: high phenotypic correlation (Rph ≥ 0.2); high phenotypic and genetic correlations (Rph > 0.1 and Ra > 0.5); high phenotypic and low genetic correlations (Rph > 0.1 and Ra < 0.5). Association studies were conducted in the full population and in the monozygotic (MZ) twin-paired design, where genetic influences were controlled. For CpGs with Rph ≥ 0.2, 9, 8, and 22 were associated with BMI, WC, and WHR in the full population, but only 6, 1, and 1 CpGs remained significant after controlling for genetic effects in MZ twin-pair analyses. For CpGs with Rph > 0.1 and Ra > 0.5, genetic factors predominantly drove the association, and none of the 155/155/189 CpGs associated with BMI/WC/WHR in the full population were significant in MZ-paired analyses. For CpGs with Rph > 0.1 and Ra < 0.1, genetic effects were minimal or confounding, with 89, 4, and 17 significant in both full population and MZ-paired analyses.</p><p><strong>Conclusions: </strong>Our results highlight the significant genetic influences on the DNAm-obesity relationships, which may explain the low replicability of obesity-related DNAm markers. This indicates that genetic influences should be carefully considered in DNAm-related studies.</p>","PeriodicalId":49095,"journal":{"name":"Cell and Bioscience","volume":"15 1","pages":"108"},"PeriodicalIF":6.2000,"publicationDate":"2025-07-23","publicationTypes":"Journal Article","fieldsOfStudy":null,"isOpenAccess":false,"openAccessPdf":"https://www.ncbi.nlm.nih.gov/pmc/articles/PMC12288357/pdf/","citationCount":"0","resultStr":null,"platform":"Semanticscholar","paperid":null,"PeriodicalName":"Cell and Bioscience","FirstCategoryId":"99","ListUrlMain":"https://doi.org/10.1186/s13578-025-01446-2","RegionNum":2,"RegionCategory":"生物学","ArticlePicture":[],"TitleCN":null,"AbstractTextCN":null,"PMCID":null,"EPubDate":"","PubModel":"","JCR":"Q1","JCRName":"BIOCHEMISTRY & MOLECULAR BIOLOGY","Score":null,"Total":0}
引用次数: 0

Abstract

Background: Both obesity and DNA methylation (DNAm) are influenced by genetic factors. Despite more than a thousand of obesity-related DNAm sites (CpGs) being identified, studies that account for genetic influences in these associations are limited.

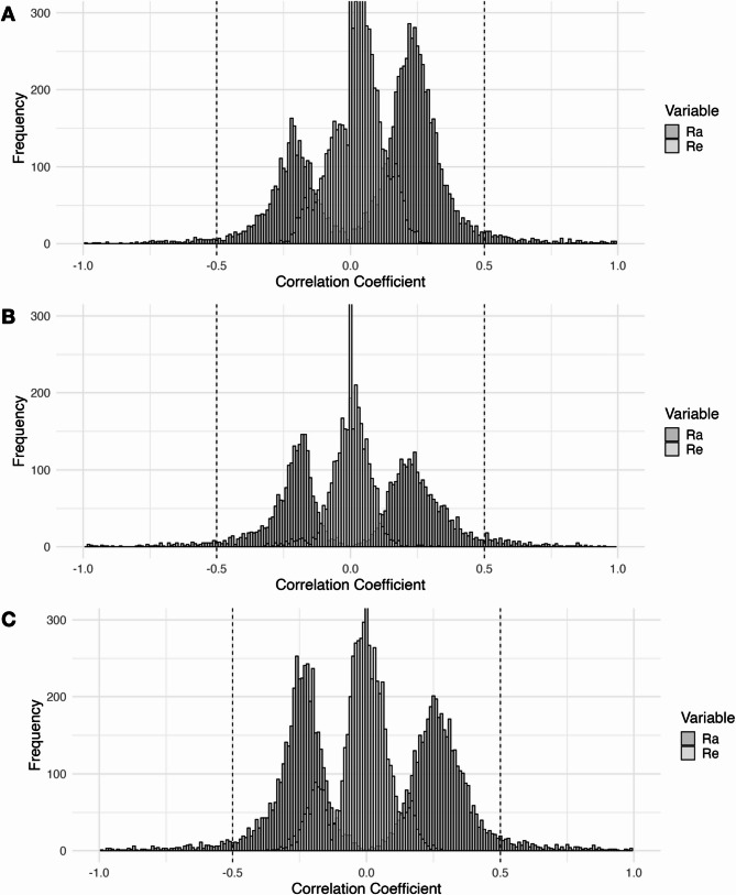
Results: Using data from 1,074 twins in the Chinese National Twin Registry and bivariate structural equation models (SEMs), we investigated the phenotypic (Rph), genetic (Ra), and environmental (Re) correlations between genome-wide DNAm and three obesity indices: BMI, waist circumference (WC), and waist-to-hip ratio (WHR). Genome-wide, correlations between DNAm and obesity were small (Rph = 0.04, Ra = 0.08-0.09, Re = 0.02-0.03). For CpGs with high phenotypic correlation (Rph > 0.1), the mean genetic and environmental correlations were 0.23-0.24 and 0.03-0.05, respectively, indicating significant genetic influence on the DNAm-obesity associations. To further investigate the role of genetic influences, we then categorized the CpGs into different groups: high phenotypic correlation (Rph ≥ 0.2); high phenotypic and genetic correlations (Rph > 0.1 and Ra > 0.5); high phenotypic and low genetic correlations (Rph > 0.1 and Ra < 0.5). Association studies were conducted in the full population and in the monozygotic (MZ) twin-paired design, where genetic influences were controlled. For CpGs with Rph ≥ 0.2, 9, 8, and 22 were associated with BMI, WC, and WHR in the full population, but only 6, 1, and 1 CpGs remained significant after controlling for genetic effects in MZ twin-pair analyses. For CpGs with Rph > 0.1 and Ra > 0.5, genetic factors predominantly drove the association, and none of the 155/155/189 CpGs associated with BMI/WC/WHR in the full population were significant in MZ-paired analyses. For CpGs with Rph > 0.1 and Ra < 0.1, genetic effects were minimal or confounding, with 89, 4, and 17 significant in both full population and MZ-paired analyses.

Conclusions: Our results highlight the significant genetic influences on the DNAm-obesity relationships, which may explain the low replicability of obesity-related DNAm markers. This indicates that genetic influences should be carefully considered in DNAm-related studies.

Abstract Image

Abstract Image

基因对DNA甲基化和肥胖测量之间关联的影响:来自双胞胎研究设计的见解。
背景:肥胖和DNA甲基化(DNAm)都受遗传因素的影响。尽管已经确定了超过1000个与肥胖相关的dna位点(CpGs),但在这些关联中解释遗传影响的研究是有限的。结果:利用中国国家双胞胎登记处1074对双胞胎的数据和双变量结构方程模型(SEMs),我们研究了全基因组DNAm与BMI、腰围(WC)和腰臀比(WHR)这三个肥胖指标之间的表型(Rph)、遗传(Ra)和环境(Re)相关性。在全基因组范围内,DNAm与肥胖的相关性较小(Rph = 0.04, Ra = 0.08-0.09, Re = 0.02-0.03)。对于高表型相关的CpGs (Rph为0.1),平均遗传相关性和环境相关性分别为0.23-0.24和0.03-0.05,表明遗传对dnam -肥胖关联有显著影响。为了进一步研究遗传影响的作用,我们将CpGs分为不同的组:高表型相关性(Rph≥0.2);表型和遗传相关性高(Rph >.1和Ra > 0.5);高表型和低遗传相关性(Rph > 0.1, Ra 0.1和Ra > 0.5),遗传因素主要驱动该关联,在mz配对分析中,与全群体BMI/WC/WHR相关的155/155/189个CpGs均不显著。结论:我们的研究结果突出了DNAm与肥胖关系的显著遗传影响,这可能解释了肥胖相关DNAm标记的低可复制性。这表明在dna相关研究中应仔细考虑遗传影响。
本文章由计算机程序翻译,如有差异,请以英文原文为准。
求助全文
约1分钟内获得全文 求助全文
来源期刊
Cell and Bioscience
Cell and Bioscience BIOCHEMISTRY & MOLECULAR BIOLOGY-
CiteScore
10.70
自引率
0.00%
发文量
187
审稿时长
>12 weeks
期刊介绍: Cell and Bioscience, the official journal of the Society of Chinese Bioscientists in America, is an open access, peer-reviewed journal that encompasses all areas of life science research.
×
引用
GB/T 7714-2015
复制
MLA
复制
APA
复制
导出至
BibTeX EndNote RefMan NoteFirst NoteExpress
×
提示
您的信息不完整,为了账户安全,请先补充。
现在去补充
×
提示
您因"违规操作"
具体请查看互助需知
我知道了
×
提示
确定
请完成安全验证×
copy
已复制链接
快去分享给好友吧!
我知道了
右上角分享
点击右上角分享
0
联系我们:info@booksci.cn Book学术提供免费学术资源搜索服务,方便国内外学者检索中英文文献。致力于提供最便捷和优质的服务体验。 Copyright © 2023 布克学术 All rights reserved.
京ICP备2023020795号-1
ghs 京公网安备 11010802042870号
Book学术文献互助
Book学术文献互助群
群 号:604180095
Book学术官方微信