Imaging and Laboratory Results as Predictors of the Course of COVID-19.

IF 2.3 Q3 RESPIRATORY SYSTEM
Ewelina Tobiczyk, Hanna Maria Winiarska, Daria Springer, Aleksandra Ludziejewska, Ewa Wysocka, Szymon Skoczyński, Szczepan Cofta
{"title":"Imaging and Laboratory Results as Predictors of the Course of COVID-19.","authors":"Ewelina Tobiczyk, Hanna Maria Winiarska, Daria Springer, Aleksandra Ludziejewska, Ewa Wysocka, Szymon Skoczyński, Szczepan Cofta","doi":"10.3390/arm93040022","DOIUrl":null,"url":null,"abstract":"<p><strong>Background: </strong>COVID-19 most often affects the respiratory system and may manifest as acute respiratory failure requiring the use of non-invasive respiratory support (NIRS). The aim of this study was to find predictors based on laboratory results and chest computed tomography (CT) scans performed on admission to the hospital indicating the need for NIRS and predicting mortality after hospital discharge.</p><p><strong>Methods: </strong>We retrospectively analysed data from consecutive patients hospitalised in the Pulmonology Department of the Temporary COVID Hospital in Poznan from 1 February 2021 to 31 March 2022. Upon admission to the department, the patients underwent a series of laboratory blood tests and high-resolution chest CT scan.</p><p><strong>Results: </strong>The study group included 282 patients, with an average age of 60.0 ± 15.0 years. In total, 54 (53%) patients of 101 requiring NIRS died from various causes or required intubation. Patients who required NIRS were significantly older and had more severe changes in the lung parenchyma. They had higher white blood cell and neutrophil counts and lower lymphocyte counts, as well as higher concentrations of D-dimer, CRP, PCT, and IL-6 and greater activities of LDH and AST.</p><p><strong>Conclusions: </strong>Laboratory tests and chest CT performed on hospital admission may be useful to rapidly identify patients at higher risk for severe disease.</p>","PeriodicalId":7391,"journal":{"name":"Advances in respiratory medicine","volume":"93 4","pages":""},"PeriodicalIF":2.3000,"publicationDate":"2025-07-01","publicationTypes":"Journal Article","fieldsOfStudy":null,"isOpenAccess":false,"openAccessPdf":"https://www.ncbi.nlm.nih.gov/pmc/articles/PMC12285937/pdf/","citationCount":"0","resultStr":null,"platform":"Semanticscholar","paperid":null,"PeriodicalName":"Advances in respiratory medicine","FirstCategoryId":"1085","ListUrlMain":"https://doi.org/10.3390/arm93040022","RegionNum":0,"RegionCategory":null,"ArticlePicture":[],"TitleCN":null,"AbstractTextCN":null,"PMCID":null,"EPubDate":"","PubModel":"","JCR":"Q3","JCRName":"RESPIRATORY SYSTEM","Score":null,"Total":0}
引用次数: 0

Abstract

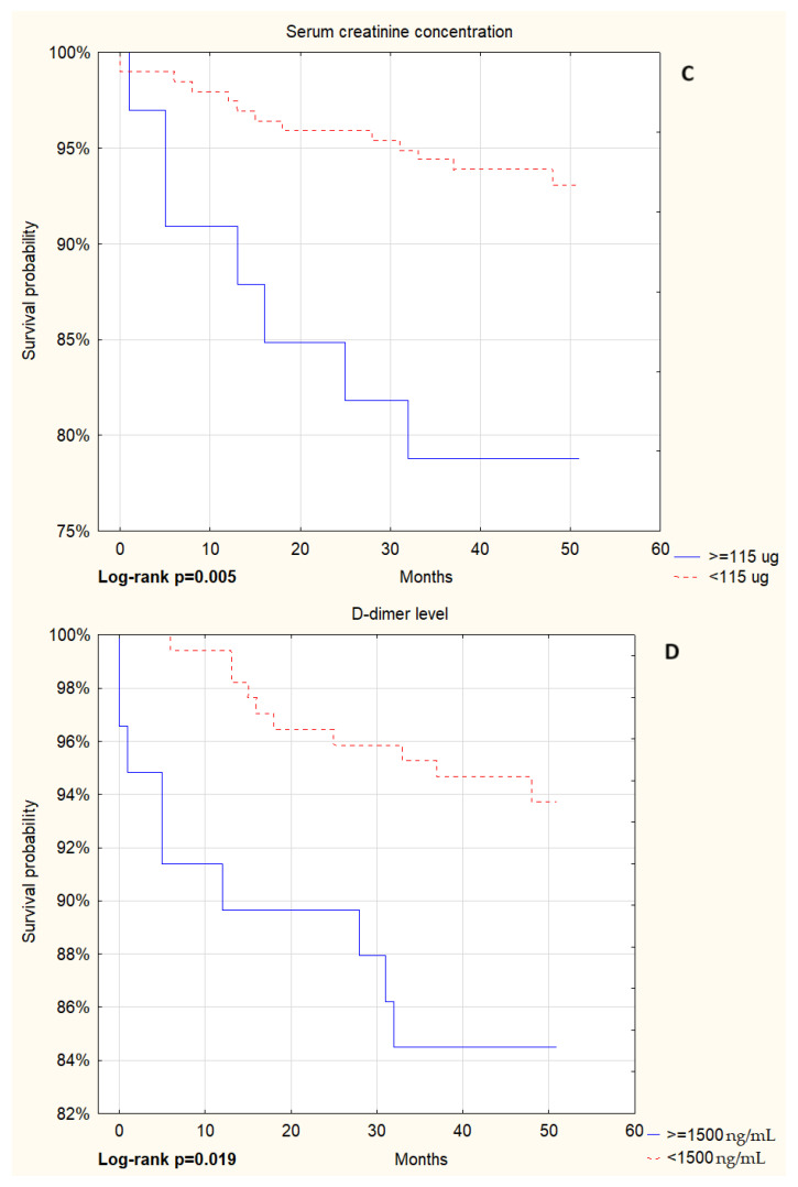
Background: COVID-19 most often affects the respiratory system and may manifest as acute respiratory failure requiring the use of non-invasive respiratory support (NIRS). The aim of this study was to find predictors based on laboratory results and chest computed tomography (CT) scans performed on admission to the hospital indicating the need for NIRS and predicting mortality after hospital discharge.

Methods: We retrospectively analysed data from consecutive patients hospitalised in the Pulmonology Department of the Temporary COVID Hospital in Poznan from 1 February 2021 to 31 March 2022. Upon admission to the department, the patients underwent a series of laboratory blood tests and high-resolution chest CT scan.

Results: The study group included 282 patients, with an average age of 60.0 ± 15.0 years. In total, 54 (53%) patients of 101 requiring NIRS died from various causes or required intubation. Patients who required NIRS were significantly older and had more severe changes in the lung parenchyma. They had higher white blood cell and neutrophil counts and lower lymphocyte counts, as well as higher concentrations of D-dimer, CRP, PCT, and IL-6 and greater activities of LDH and AST.

Conclusions: Laboratory tests and chest CT performed on hospital admission may be useful to rapidly identify patients at higher risk for severe disease.

Abstract Image

Abstract Image

Abstract Image

影像学和实验室结果作为COVID-19病程的预测指标。
背景:COVID-19最常影响呼吸系统,可能表现为急性呼吸衰竭,需要使用无创呼吸支持(NIRS)。本研究的目的是寻找基于实验室结果和入院时进行的胸部计算机断层扫描(CT)的预测因素,表明需要近红外光谱并预测出院后的死亡率。方法:回顾性分析2021年2月1日至2022年3月31日在波兹南临时COVID医院肺病科连续住院的患者数据。入院后,患者接受了一系列实验室血液检查和高分辨率胸部CT扫描。结果:研究组纳入282例患者,平均年龄60.0±15.0岁。101例患者中,54例(53%)因各种原因或需要插管而死亡。需要近红外光谱的患者明显年龄较大,肺实质改变更严重。他们白细胞和中性粒细胞计数较高,淋巴细胞计数较低,d -二聚体、CRP、PCT和IL-6浓度较高,LDH和ast活性较高。结论:入院时进行的实验室检查和胸部CT可能有助于快速识别严重疾病高风险患者。
本文章由计算机程序翻译,如有差异,请以英文原文为准。
求助全文
约1分钟内获得全文 求助全文
来源期刊
Advances in respiratory medicine
Advances in respiratory medicine RESPIRATORY SYSTEM-
CiteScore
2.60
自引率
0.00%
发文量
90
期刊介绍: "Advances in Respiratory Medicine" is a new international title for "Pneumonologia i Alergologia Polska", edited bimonthly and addressed to respiratory professionals. The Journal contains peer-reviewed original research papers, short communications, case-reports, recommendations of the Polish Respiratory Society concerning the diagnosis and treatment of lung diseases, editorials, postgraduate education articles, letters and book reviews in the field of pneumonology, allergology, oncology, immunology and infectious diseases. "Advances in Respiratory Medicine" is an open access, official journal of Polish Society of Lung Diseases, Polish Society of Allergology and National Research Institute of Tuberculosis and Lung Diseases.
×
引用
GB/T 7714-2015
复制
MLA
复制
APA
复制
导出至
BibTeX EndNote RefMan NoteFirst NoteExpress
×
提示
您的信息不完整,为了账户安全,请先补充。
现在去补充
×
提示
您因"违规操作"
具体请查看互助需知
我知道了
×
提示
确定
请完成安全验证×
copy
已复制链接
快去分享给好友吧!
我知道了
右上角分享
点击右上角分享
0
联系我们:info@booksci.cn Book学术提供免费学术资源搜索服务,方便国内外学者检索中英文文献。致力于提供最便捷和优质的服务体验。 Copyright © 2023 布克学术 All rights reserved.
京ICP备2023020795号-1
ghs 京公网安备 11010802042870号
Book学术文献互助
Book学术文献互助群
群 号:604180095
Book学术官方微信