Magnetic interactions between metal sites in complex enzymes

IF 2.7 3区 化学 Q3 BIOCHEMISTRY & MOLECULAR BIOLOGY
Biplab K. Maiti, Isabel Moura, José J. G. Moura
{"title":"Magnetic interactions between metal sites in complex enzymes","authors":"Biplab K. Maiti,&nbsp;Isabel Moura,&nbsp;José J. G. Moura","doi":"10.1007/s00775-025-02120-1","DOIUrl":null,"url":null,"abstract":"<div><p>Magnetic interactions between iron–sulfur (Fe/S) clusters and transition metal centers such as nickel, molybdenum, and copper play a central role in the function of key metalloenzymes. These interactions, which arise from electronic coupling, spin exchange, and spatial arrangement, directly influence redox behavior and catalytic efficiency. This review highlights three distinct complex enzymes—[NiFe] hydrogenases, mononuclear molybdenum-containing xanthine oxidase (XO) family, and [NiFe] and [MoCu] carbon monoxide dehydrogenases (CODHs)—as paradigms for understanding (Fe/S)-metal center interactions. In [NiFe] hydrogenases, (Fe/S) clusters serve as electron relays that magnetically interact with the catalytic [NiFe] active site. In XO-type enzymes, a mononuclear Mo center is functionally and magnetically coupled to nearby Fe/S clusters, modulating substrate reduction and electron transfer. Similarly, in CODHs, both [NiFe]—and [MoCu]-dependent variants exhibit strong magnetic communication between metal active sites and surrounding Fe/S clusters, crucial for CO<sub>2</sub>/CO interconversion. Advanced spectroscopic approaches, particularly electron paramagnetic resonance (EPR) and related techniques, combined with theoretical modelling, have provided deep insights into the electronic structures and dynamic interactions within these metalloenzymes. Understanding these magnetic interactions not only sheds light on fundamental electron-transfer and enzymatic mechanisms but also guides the design of bioinspired catalysts and energy-conversion technologies. </p><h3>Graphical abstract</h3>\n<div><figure><div><div><picture><source><img></source></picture></div></div></figure></div></div>","PeriodicalId":603,"journal":{"name":"Journal of Biological Inorganic Chemistry","volume":"30 4-5","pages":"329 - 344"},"PeriodicalIF":2.7000,"publicationDate":"2025-07-24","publicationTypes":"Journal Article","fieldsOfStudy":null,"isOpenAccess":false,"openAccessPdf":"https://www.ncbi.nlm.nih.gov/pmc/articles/PMC12316806/pdf/","citationCount":"0","resultStr":null,"platform":"Semanticscholar","paperid":null,"PeriodicalName":"Journal of Biological Inorganic Chemistry","FirstCategoryId":"1","ListUrlMain":"https://link.springer.com/article/10.1007/s00775-025-02120-1","RegionNum":3,"RegionCategory":"化学","ArticlePicture":[],"TitleCN":null,"AbstractTextCN":null,"PMCID":null,"EPubDate":"","PubModel":"","JCR":"Q3","JCRName":"BIOCHEMISTRY & MOLECULAR BIOLOGY","Score":null,"Total":0}
引用次数: 0

Abstract

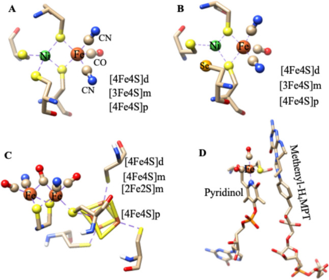
Magnetic interactions between iron–sulfur (Fe/S) clusters and transition metal centers such as nickel, molybdenum, and copper play a central role in the function of key metalloenzymes. These interactions, which arise from electronic coupling, spin exchange, and spatial arrangement, directly influence redox behavior and catalytic efficiency. This review highlights three distinct complex enzymes—[NiFe] hydrogenases, mononuclear molybdenum-containing xanthine oxidase (XO) family, and [NiFe] and [MoCu] carbon monoxide dehydrogenases (CODHs)—as paradigms for understanding (Fe/S)-metal center interactions. In [NiFe] hydrogenases, (Fe/S) clusters serve as electron relays that magnetically interact with the catalytic [NiFe] active site. In XO-type enzymes, a mononuclear Mo center is functionally and magnetically coupled to nearby Fe/S clusters, modulating substrate reduction and electron transfer. Similarly, in CODHs, both [NiFe]—and [MoCu]-dependent variants exhibit strong magnetic communication between metal active sites and surrounding Fe/S clusters, crucial for CO2/CO interconversion. Advanced spectroscopic approaches, particularly electron paramagnetic resonance (EPR) and related techniques, combined with theoretical modelling, have provided deep insights into the electronic structures and dynamic interactions within these metalloenzymes. Understanding these magnetic interactions not only sheds light on fundamental electron-transfer and enzymatic mechanisms but also guides the design of bioinspired catalysts and energy-conversion technologies.

Graphical abstract

Abstract Image

Abstract Image

Abstract Image

复合酶中金属位之间的磁相互作用。
铁硫(Fe/S)簇与过渡金属中心(如镍、钼和铜)之间的磁相互作用在关键金属酶的功能中起着核心作用。这些相互作用由电子耦合、自旋交换和空间排列引起,直接影响氧化还原行为和催化效率。本文综述了三种不同的复合酶-[NiFe]氢化酶,单核含钼黄嘌呤氧化酶(XO)家族,以及[NiFe]和[MoCu]一氧化碳脱氢酶(CODHs)-作为理解(Fe/S)-金属中心相互作用的范例。在[NiFe]氢化酶中,(Fe/S)簇作为电子继电器与催化[NiFe]活性位点发生磁相互作用。在xo型酶中,单核Mo中心在功能和磁性上与附近的Fe/S簇耦合,调节底物还原和电子转移。同样,在CODHs中,[NiFe]和[MoCu]依赖变体在金属活性位点和周围的Fe/S簇之间表现出强磁通信,这对CO2/CO相互转化至关重要。先进的光谱方法,特别是电子顺磁共振(EPR)和相关技术,结合理论建模,为这些金属酶的电子结构和动态相互作用提供了深入的见解。了解这些磁相互作用不仅能揭示基本的电子转移和酶的机制,而且还能指导生物催化剂和能量转换技术的设计。
本文章由计算机程序翻译,如有差异,请以英文原文为准。
求助全文
约1分钟内获得全文 求助全文
来源期刊
Journal of Biological Inorganic Chemistry
Journal of Biological Inorganic Chemistry 化学-生化与分子生物学
CiteScore
5.90
自引率
3.30%
发文量
49
审稿时长
3 months
期刊介绍: Biological inorganic chemistry is a growing field of science that embraces the principles of biology and inorganic chemistry and impacts other fields ranging from medicine to the environment. JBIC (Journal of Biological Inorganic Chemistry) seeks to promote this field internationally. The Journal is primarily concerned with advances in understanding the role of metal ions within a biological matrix—be it a protein, DNA/RNA, or a cell, as well as appropriate model studies. Manuscripts describing high-quality original research on the above topics in English are invited for submission to this Journal. The Journal publishes original articles, minireviews, and commentaries on debated issues.
×
引用
GB/T 7714-2015
复制
MLA
复制
APA
复制
导出至
BibTeX EndNote RefMan NoteFirst NoteExpress
×
提示
您的信息不完整,为了账户安全,请先补充。
现在去补充
×
提示
您因"违规操作"
具体请查看互助需知
我知道了
×
提示
确定
请完成安全验证×
copy
已复制链接
快去分享给好友吧!
我知道了
右上角分享
点击右上角分享
0
联系我们:info@booksci.cn Book学术提供免费学术资源搜索服务,方便国内外学者检索中英文文献。致力于提供最便捷和优质的服务体验。 Copyright © 2023 布克学术 All rights reserved.
京ICP备2023020795号-1
ghs 京公网安备 11010802042870号
Book学术文献互助
Book学术文献互助群
群 号:604180095
Book学术官方微信