The Validity and Reliability Study of the Turkish Version of the Health Behavior Scale for Cancer Patients.

IF 0.8 Q4 NURSING
Okan Vardar, Pınar Serçekuş, Elif Uludağ, Sinem Göral Türkcü, Sevgi Özkan
{"title":"The Validity and Reliability Study of the Turkish Version of the Health Behavior Scale for Cancer Patients.","authors":"Okan Vardar, Pınar Serçekuş, Elif Uludağ, Sinem Göral Türkcü, Sevgi Özkan","doi":"10.5152/FNJN.2025.24196","DOIUrl":null,"url":null,"abstract":"<p><p>AIM: The aim of the study was to conduct a validity and reliability study of the Health Behavior Scale for Cancer Patients and to adapt the scale to the Turkish language and culture. METHODS: The research is a methodological study. The sample consisted of a total of 440 cancer patients who came to the outpatient chemotherapy unit and oncology outpatient clinic of a university hospital and followed the social media accounts of a cancer-related association. Patients aged 18 and over and with at least a primary school education were included in the study. Data were collected between January and December 2022 with the Descriptive Characteristics Form and The Health Behavior Scale for Cancer Patients. For the validity analysis, language equivalence, content validity, exploratory and confirmatory factor analyses were performed. For the reliability, internal consistency, item-total score correlation, and test-retest were performed. RESULTS: According to the exploratory factor analysis, a two-factor structure was obtained and confirmed by confirmatory factor analysis. According to the factor loadings (0.60-0.87), total variance explained (61.575), and fit indices, the construct validity of the scale was found to be sufficient. In the reliability analyses, Cronbach's α internal consistency coefficient (0.85) was found to be highly reliable. It was determined that there was a very strong relationship between the pre-test and the post-test (r = 0.87, p < .001). CONCLUSION: The Health Behavior Scale for Cancer Patients has been revealed to be a valid and reliable measurement tool suitable for Turkish culture. Using this scale, cancer patients' adherence to medical health services and individual protective health behaviors can be determined.</p>","PeriodicalId":73033,"journal":{"name":"Florence Nightingale journal of nursing","volume":"33 1","pages":"1-8"},"PeriodicalIF":0.8000,"publicationDate":"2025-07-09","publicationTypes":"Journal Article","fieldsOfStudy":null,"isOpenAccess":false,"openAccessPdf":"https://www.ncbi.nlm.nih.gov/pmc/articles/PMC12334996/pdf/","citationCount":"0","resultStr":null,"platform":"Semanticscholar","paperid":null,"PeriodicalName":"Florence Nightingale journal of nursing","FirstCategoryId":"1085","ListUrlMain":"https://doi.org/10.5152/FNJN.2025.24196","RegionNum":0,"RegionCategory":null,"ArticlePicture":[],"TitleCN":null,"AbstractTextCN":null,"PMCID":null,"EPubDate":"","PubModel":"","JCR":"Q4","JCRName":"NURSING","Score":null,"Total":0}
引用次数: 0

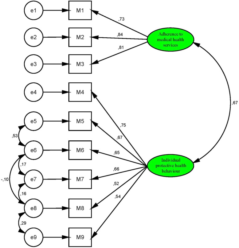
Abstract

AIM: The aim of the study was to conduct a validity and reliability study of the Health Behavior Scale for Cancer Patients and to adapt the scale to the Turkish language and culture. METHODS: The research is a methodological study. The sample consisted of a total of 440 cancer patients who came to the outpatient chemotherapy unit and oncology outpatient clinic of a university hospital and followed the social media accounts of a cancer-related association. Patients aged 18 and over and with at least a primary school education were included in the study. Data were collected between January and December 2022 with the Descriptive Characteristics Form and The Health Behavior Scale for Cancer Patients. For the validity analysis, language equivalence, content validity, exploratory and confirmatory factor analyses were performed. For the reliability, internal consistency, item-total score correlation, and test-retest were performed. RESULTS: According to the exploratory factor analysis, a two-factor structure was obtained and confirmed by confirmatory factor analysis. According to the factor loadings (0.60-0.87), total variance explained (61.575), and fit indices, the construct validity of the scale was found to be sufficient. In the reliability analyses, Cronbach's α internal consistency coefficient (0.85) was found to be highly reliable. It was determined that there was a very strong relationship between the pre-test and the post-test (r = 0.87, p < .001). CONCLUSION: The Health Behavior Scale for Cancer Patients has been revealed to be a valid and reliable measurement tool suitable for Turkish culture. Using this scale, cancer patients' adherence to medical health services and individual protective health behaviors can be determined.

Abstract Image

Abstract Image

土耳其语版癌症患者健康行为量表的效度与信度研究
目的:本研究的目的是对《癌症患者健康行为量表》进行效度和信度研究,并使该量表适应土耳其语言和文化。方法:本研究为方法学研究。样本由440名癌症患者组成,他们来到一所大学医院的门诊化疗部门和肿瘤门诊,并关注癌症相关协会的社交媒体账户。18岁及以上、至少受过小学教育的患者被纳入研究。数据收集于2022年1月至12月,采用描述性特征表和癌症患者健康行为量表。效度分析采用语言等效性、内容效度、探索性因子分析和验证性因子分析。信度采用内部一致性、项目总分相关性和重测。结果:经探索性因子分析,得到双因子结构,并经验证性因子分析证实。从因子负荷(0.60 ~ 0.87)、总方差解释(61.575)和拟合指标来看,量表的构建效度是足够的。在信度分析中,Cronbach's α内部一致性系数(0.85)为高信度。结果表明,前测和后测之间存在很强的相关性(r = 0.87, p < 0.001)。结论:《肿瘤患者健康行为量表》是一种适用于土耳其文化的有效、可靠的测量工具。利用该量表可以确定癌症患者对医疗卫生服务的依从性和个体保护性健康行为。
本文章由计算机程序翻译,如有差异,请以英文原文为准。
求助全文
约1分钟内获得全文 求助全文
来源期刊
CiteScore
0.60
自引率
0.00%
发文量
0
审稿时长
12 weeks
×
引用
GB/T 7714-2015
复制
MLA
复制
APA
复制
导出至
BibTeX EndNote RefMan NoteFirst NoteExpress
×
提示
您的信息不完整,为了账户安全,请先补充。
现在去补充
×
提示
您因"违规操作"
具体请查看互助需知
我知道了
×
提示
确定
请完成安全验证×
copy
已复制链接
快去分享给好友吧!
我知道了
右上角分享
点击右上角分享
0
联系我们:info@booksci.cn Book学术提供免费学术资源搜索服务,方便国内外学者检索中英文文献。致力于提供最便捷和优质的服务体验。 Copyright © 2023 布克学术 All rights reserved.
京ICP备2023020795号-1
ghs 京公网安备 11010802042870号
Book学术文献互助
Book学术文献互助群
群 号:604180095
Book学术官方微信