Sodium-glucose co-transporter 2 inhibitors improve insulin resistance and β-cell function in type 2 diabetes: A meta-analysis.

IF 4.6 3区 医学 Q1 ENDOCRINOLOGY & METABOLISM
Shang-Yu Chai, Ru-Ya Zhang, Zhi-Yuan Ning, Yi-Man Zheng, Rajpathak Swapnil, Li-Nong Ji
{"title":"Sodium-glucose co-transporter 2 inhibitors improve insulin resistance and β-cell function in type 2 diabetes: A meta-analysis.","authors":"Shang-Yu Chai, Ru-Ya Zhang, Zhi-Yuan Ning, Yi-Man Zheng, Rajpathak Swapnil, Li-Nong Ji","doi":"10.4239/wjd.v16.i7.107335","DOIUrl":null,"url":null,"abstract":"<p><strong>Background: </strong>Sodium-glucose cotransporter 2 (SGLT2) inhibitors are widely used for the treatment of type 2 diabetes (T2D).</p><p><strong>Aim: </strong>To evaluate the influence of SGLT2 inhibitors on homeostasis model assessment of insulin resistance (HOMA-IR) and β-cell function (HOMA-β) in patients with T2D in a meta-analysis.</p><p><strong>Methods: </strong>Randomized controlled trials (RCTs) comparing SGLT2 inhibitors to placebo in T2D patients, with a minimum treatment duration of 12 weeks, were searched using the PubMed, EMBASE, and Cochrane Library databases. Risk of bias was assessed using the Cochrane Risk of Bias Tool, and the certainty of evidence was evaluated using the Grading of Recommendations, Assessment, Development and Evaluation (GRADE) system. Changes in HOMA-IR and HOMA-β were the outcomes analyzed. Meta-analyses were performed using a random-effects model by incorporating the potential influences of heterogeneity.</p><p><strong>Results: </strong>Of 1388 articles identified, 24 RCTs met the inclusion criteria. 23 of the included studies were double-blind RCTs with low risk of bias. Pooled results including 2272 patients showed that SGLT2 inhibitors significantly reduced HOMA-IR compared to placebo [mean difference (MD) = -0.81, 95% confidence interval (CI): -1.11 to -0.52, <i>P</i> < 0.001; <i>I</i> <sup>2</sup> = 82%], indicating reduced insulin resistance. Additionally, meta-analysis with 2845 patients suggested that SGLT2 inhibitors significantly increased HOMA-β (MD = 7.90, 95%CI: 5.44-10.37, <i>P</i> < 0.001; <i>I</i> <sup>2</sup> = 74%) compared to placebo in patients with T2D, indicating improved β-cell function. Based on GRADE assessment, the certainty of evidence was rated moderate for both outcomes due to heterogeneity. Subgroup analyses showed that HOMA-β increased more substantially in non-Asian studies than in Asian studies (<i>P</i> for subgroup difference < 0.01). Subgroup analyses according to the individual medications of SGLT2 inhibitors all showed significant improvement of HOMA-IR and HOMA-β (<i>P</i> all < 0.05). No significant publication bias was detected (<i>P</i> for Egger's test all > 0.05).</p><p><strong>Conclusion: </strong>SGLT2 inhibitors are associated with improvements in insulin resistance and β-cell function in patients with T2D, although the certainty of evidence is moderate due to heterogeneity.</p>","PeriodicalId":48607,"journal":{"name":"World Journal of Diabetes","volume":"16 7","pages":"107335"},"PeriodicalIF":4.6000,"publicationDate":"2025-07-15","publicationTypes":"Journal Article","fieldsOfStudy":null,"isOpenAccess":false,"openAccessPdf":"https://www.ncbi.nlm.nih.gov/pmc/articles/PMC12278081/pdf/","citationCount":"0","resultStr":null,"platform":"Semanticscholar","paperid":null,"PeriodicalName":"World Journal of Diabetes","FirstCategoryId":"3","ListUrlMain":"https://doi.org/10.4239/wjd.v16.i7.107335","RegionNum":3,"RegionCategory":"医学","ArticlePicture":[],"TitleCN":null,"AbstractTextCN":null,"PMCID":null,"EPubDate":"","PubModel":"","JCR":"Q1","JCRName":"ENDOCRINOLOGY & METABOLISM","Score":null,"Total":0}
引用次数: 0

Abstract

Background: Sodium-glucose cotransporter 2 (SGLT2) inhibitors are widely used for the treatment of type 2 diabetes (T2D).

Aim: To evaluate the influence of SGLT2 inhibitors on homeostasis model assessment of insulin resistance (HOMA-IR) and β-cell function (HOMA-β) in patients with T2D in a meta-analysis.

Methods: Randomized controlled trials (RCTs) comparing SGLT2 inhibitors to placebo in T2D patients, with a minimum treatment duration of 12 weeks, were searched using the PubMed, EMBASE, and Cochrane Library databases. Risk of bias was assessed using the Cochrane Risk of Bias Tool, and the certainty of evidence was evaluated using the Grading of Recommendations, Assessment, Development and Evaluation (GRADE) system. Changes in HOMA-IR and HOMA-β were the outcomes analyzed. Meta-analyses were performed using a random-effects model by incorporating the potential influences of heterogeneity.

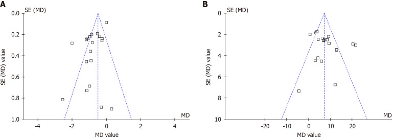
Results: Of 1388 articles identified, 24 RCTs met the inclusion criteria. 23 of the included studies were double-blind RCTs with low risk of bias. Pooled results including 2272 patients showed that SGLT2 inhibitors significantly reduced HOMA-IR compared to placebo [mean difference (MD) = -0.81, 95% confidence interval (CI): -1.11 to -0.52, P < 0.001; I 2 = 82%], indicating reduced insulin resistance. Additionally, meta-analysis with 2845 patients suggested that SGLT2 inhibitors significantly increased HOMA-β (MD = 7.90, 95%CI: 5.44-10.37, P < 0.001; I 2 = 74%) compared to placebo in patients with T2D, indicating improved β-cell function. Based on GRADE assessment, the certainty of evidence was rated moderate for both outcomes due to heterogeneity. Subgroup analyses showed that HOMA-β increased more substantially in non-Asian studies than in Asian studies (P for subgroup difference < 0.01). Subgroup analyses according to the individual medications of SGLT2 inhibitors all showed significant improvement of HOMA-IR and HOMA-β (P all < 0.05). No significant publication bias was detected (P for Egger's test all > 0.05).

Conclusion: SGLT2 inhibitors are associated with improvements in insulin resistance and β-cell function in patients with T2D, although the certainty of evidence is moderate due to heterogeneity.

Abstract Image

Abstract Image

Abstract Image

钠-葡萄糖共转运蛋白2抑制剂改善2型糖尿病胰岛素抵抗和β细胞功能:一项荟萃分析
背景:钠-葡萄糖共转运蛋白2 (SGLT2)抑制剂广泛用于2型糖尿病(T2D)的治疗。目的:通过荟萃分析评估SGLT2抑制剂对t2dm患者胰岛素抵抗(HOMA- ir)和β细胞功能(HOMA-β)稳态模型评估的影响。方法:通过PubMed、EMBASE和Cochrane图书馆数据库检索比较SGLT2抑制剂和安慰剂在T2D患者中最小治疗时间为12周的随机对照试验(RCTs)。使用Cochrane偏倚风险工具评估偏倚风险,使用推荐、评估、发展和评价分级(GRADE)系统评估证据的确定性。结果分析HOMA- ir和HOMA-β的变化。采用随机效应模型进行meta分析,纳入异质性的潜在影响。结果:在1388篇纳入的文献中,24篇rct符合纳入标准。纳入的研究中有23项为低偏倚风险的双盲随机对照试验。纳入2272例患者的汇总结果显示,与安慰剂相比,SGLT2抑制剂显著降低HOMA-IR[平均差异(MD) = -0.81, 95%可信区间(CI): -1.11至-0.52,P < 0.001;I 2 = 82%],表明胰岛素抵抗降低。此外,对2845例患者的荟萃分析表明,SGLT2抑制剂显著增加了HOMA-β (MD = 7.90, 95%CI: 5.44-10.37, P < 0.001;2 = 74%),表明β细胞功能得到改善。基于GRADE评估,由于异质性,两个结果的证据确定性被评为中等。亚组分析显示,与亚洲研究相比,非亚洲研究中HOMA-β显著增加(亚组差异P < 0.01)。根据SGLT2抑制剂用药情况进行亚组分析,HOMA- ir和HOMA-β均有显著改善(P均< 0.05)。未发现显著发表偏倚(Egger’s检验P均为0.05)。结论:SGLT2抑制剂与T2D患者胰岛素抵抗和β细胞功能的改善有关,尽管由于异质性,证据的确定性是中等的。
本文章由计算机程序翻译,如有差异,请以英文原文为准。
求助全文
约1分钟内获得全文 求助全文
来源期刊
World Journal of Diabetes
World Journal of Diabetes ENDOCRINOLOGY & METABOLISM-
自引率
2.40%
发文量
909
期刊介绍: The WJD is a high-quality, peer reviewed, open-access journal. The primary task of WJD is to rapidly publish high-quality original articles, reviews, editorials, and case reports in the field of diabetes. In order to promote productive academic communication, the peer review process for the WJD is transparent; to this end, all published manuscripts are accompanied by the anonymized reviewers’ comments as well as the authors’ responses. The primary aims of the WJD are to improve diagnostic, therapeutic and preventive modalities and the skills of clinicians and to guide clinical practice in diabetes. Scope: Diabetes Complications, Experimental Diabetes Mellitus, Type 1 Diabetes Mellitus, Type 2 Diabetes Mellitus, Diabetes, Gestational, Diabetic Angiopathies, Diabetic Cardiomyopathies, Diabetic Coma, Diabetic Ketoacidosis, Diabetic Nephropathies, Diabetic Neuropathies, Donohue Syndrome, Fetal Macrosomia, and Prediabetic State.
×
引用
GB/T 7714-2015
复制
MLA
复制
APA
复制
导出至
BibTeX EndNote RefMan NoteFirst NoteExpress
×
提示
您的信息不完整,为了账户安全,请先补充。
现在去补充
×
提示
您因"违规操作"
具体请查看互助需知
我知道了
×
提示
确定
请完成安全验证×
copy
已复制链接
快去分享给好友吧!
我知道了
右上角分享
点击右上角分享
0
联系我们:info@booksci.cn Book学术提供免费学术资源搜索服务,方便国内外学者检索中英文文献。致力于提供最便捷和优质的服务体验。 Copyright © 2023 布克学术 All rights reserved.
京ICP备2023020795号-1
ghs 京公网安备 11010802042870号
Book学术文献互助
Book学术文献互助群
群 号:604180095
Book学术官方微信