Low isavuconazole trough levels in critically ill patients with and without extracorporeal membrane oxygenation.

IF 4.5 2区 医学 Q2 MICROBIOLOGY
Antimicrobial Agents and Chemotherapy Pub Date : 2025-09-03 Epub Date: 2025-07-23 DOI:10.1128/aac.00577-25
Rolf Erlebach, Alix Buhlmann, Rea Andermatt, Mattia M Müller, Reto Schuepbach, Silvio D Brugger, Sascha David, Daniel A Hofmaenner
{"title":"Low isavuconazole trough levels in critically ill patients with and without extracorporeal membrane oxygenation.","authors":"Rolf Erlebach, Alix Buhlmann, Rea Andermatt, Mattia M Müller, Reto Schuepbach, Silvio D Brugger, Sascha David, Daniel A Hofmaenner","doi":"10.1128/aac.00577-25","DOIUrl":null,"url":null,"abstract":"<p><p>Data on isavuconazole exposure in critically ill patients and particularly during extracorporeal membrane oxygenation (ECMO) are scarce, and therapeutic drug monitoring is not routinely performed. Critically ill patients admitted to a tertiary ECMO referral center from October 2017 to August 2024 with documented isavuconazole trough levels were retrospectively analyzed. First, measured isavuconazole trough blood levels and the occurrence of dose adjustments were analyzed in patients with and without ECMO support. Fifty-three adult patients were included, of whom 11 (21%) patients were on ECMO support at the first isavuconazole trough level measurement. Median isavuconazole trough level was overall 1.4 (interquartile range [IQR] 0.9-2.5) mg/L and did not differ between ECMO (1.3 [IQR 0.9-1.5] mg/L) and non-ECMO patients (1.6 [IQR 0.9-2.8] mg/L, <i>P</i> = 0.423). During the entire intensive care unit stay, individual doses were increased in 12 (23%) patients, of whom 5 were on ECMO support, whereas dosage was reduced or interrupted in 2 (4%) patients (both without ECMO support). Dose adjustments occurred irregularly and inconsistently after therapeutic drug monitoring, i.e., only in 6 (11%) patients after the initial therapeutic drug monitoring despite 37 (70%) drug levels being outside the target range of 2-4 mg/L. In conclusion, below targeted isavuconazole trough levels were common in critically ill patients investigated, but ECMO did not seem to have an additional negative influence. Dose adjustments appeared more frequently than previously reported, albeit irregularly performed. Regular therapeutic drug monitoring and protocolized dose adjustments should be investigated in future studies.</p>","PeriodicalId":8152,"journal":{"name":"Antimicrobial Agents and Chemotherapy","volume":" ","pages":"e0057725"},"PeriodicalIF":4.5000,"publicationDate":"2025-09-03","publicationTypes":"Journal Article","fieldsOfStudy":null,"isOpenAccess":false,"openAccessPdf":"https://www.ncbi.nlm.nih.gov/pmc/articles/PMC12406667/pdf/","citationCount":"0","resultStr":null,"platform":"Semanticscholar","paperid":null,"PeriodicalName":"Antimicrobial Agents and Chemotherapy","FirstCategoryId":"3","ListUrlMain":"https://doi.org/10.1128/aac.00577-25","RegionNum":2,"RegionCategory":"医学","ArticlePicture":[],"TitleCN":null,"AbstractTextCN":null,"PMCID":null,"EPubDate":"2025/7/23 0:00:00","PubModel":"Epub","JCR":"Q2","JCRName":"MICROBIOLOGY","Score":null,"Total":0}
引用次数: 0

Abstract

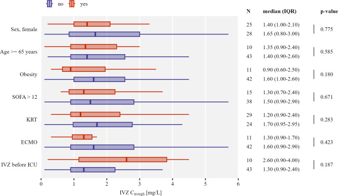
Data on isavuconazole exposure in critically ill patients and particularly during extracorporeal membrane oxygenation (ECMO) are scarce, and therapeutic drug monitoring is not routinely performed. Critically ill patients admitted to a tertiary ECMO referral center from October 2017 to August 2024 with documented isavuconazole trough levels were retrospectively analyzed. First, measured isavuconazole trough blood levels and the occurrence of dose adjustments were analyzed in patients with and without ECMO support. Fifty-three adult patients were included, of whom 11 (21%) patients were on ECMO support at the first isavuconazole trough level measurement. Median isavuconazole trough level was overall 1.4 (interquartile range [IQR] 0.9-2.5) mg/L and did not differ between ECMO (1.3 [IQR 0.9-1.5] mg/L) and non-ECMO patients (1.6 [IQR 0.9-2.8] mg/L, P = 0.423). During the entire intensive care unit stay, individual doses were increased in 12 (23%) patients, of whom 5 were on ECMO support, whereas dosage was reduced or interrupted in 2 (4%) patients (both without ECMO support). Dose adjustments occurred irregularly and inconsistently after therapeutic drug monitoring, i.e., only in 6 (11%) patients after the initial therapeutic drug monitoring despite 37 (70%) drug levels being outside the target range of 2-4 mg/L. In conclusion, below targeted isavuconazole trough levels were common in critically ill patients investigated, but ECMO did not seem to have an additional negative influence. Dose adjustments appeared more frequently than previously reported, albeit irregularly performed. Regular therapeutic drug monitoring and protocolized dose adjustments should be investigated in future studies.

Abstract Image

Abstract Image

有无体外膜氧合的危重患者低异戊康唑谷水平。
关于危重患者,特别是体外膜氧合(ECMO)期间异戊康唑暴露的数据很少,治疗药物监测也没有常规进行。回顾性分析2017年10月至2024年8月在三级ECMO转诊中心就诊的危重患者的依舒康唑谷水平。首先,对有ECMO支持和没有ECMO支持的患者测量的伊唑康唑血槽水平和剂量调整的发生情况进行分析。纳入53例成人患者,其中11例(21%)患者在第一次isavuconazole谷水平测量时采用ECMO支持。异唑康唑槽位中位水平总体为1.4(四分位数范围[IQR] 0.9 ~ 2.5) mg/L, ECMO组(1.3 [IQR 0.9 ~ 1.5] mg/L)与非ECMO组(1.6 [IQR 0.9 ~ 2.8] mg/L, P = 0.423)之间无差异。在整个重症监护病房期间,12例(23%)患者的个体剂量增加,其中5例使用ECMO支持,而2例(4%)患者的剂量减少或中断(均未使用ECMO支持)。在治疗药物监测后,剂量调整出现不规律和不一致的情况,即只有6例(11%)患者在初始治疗药物监测后,37例(70%)患者的药物水平在2-4 mg/L的目标范围之外。综上所述,在调查的危重患者中,低于靶向伊唑康唑谷水平的情况很常见,但ECMO似乎没有额外的负面影响。剂量调整出现的频率比以前报道的要高,尽管是不定期的。在未来的研究中,应研究定期的治疗药物监测和方案剂量调整。
本文章由计算机程序翻译,如有差异,请以英文原文为准。
求助全文
约1分钟内获得全文 求助全文
来源期刊
CiteScore
10.00
自引率
8.20%
发文量
762
审稿时长
3 months
期刊介绍: Antimicrobial Agents and Chemotherapy (AAC) features interdisciplinary studies that build our understanding of the underlying mechanisms and therapeutic applications of antimicrobial and antiparasitic agents and chemotherapy.
×
引用
GB/T 7714-2015
复制
MLA
复制
APA
复制
导出至
BibTeX EndNote RefMan NoteFirst NoteExpress
×
提示
您的信息不完整,为了账户安全,请先补充。
现在去补充
×
提示
您因"违规操作"
具体请查看互助需知
我知道了
×
提示
确定
请完成安全验证×
copy
已复制链接
快去分享给好友吧!
我知道了
右上角分享
点击右上角分享
0
联系我们:info@booksci.cn Book学术提供免费学术资源搜索服务,方便国内外学者检索中英文文献。致力于提供最便捷和优质的服务体验。 Copyright © 2023 布克学术 All rights reserved.
京ICP备2023020795号-1
ghs 京公网安备 11010802042870号
Book学术文献互助
Book学术文献互助群
群 号:604180095
Book学术官方微信