Clinically actionable pharmacogenomic landscape of antidepressants and antipsychotics in Qatar: a population-based cohort study.

Cambridge prisms, Precision medicine Pub Date : 2025-04-28 eCollection Date: 2025-01-01 DOI:10.1017/pcm.2025.2
Dinesh Velayutham, Kholoud Bastaki, Areeba Irfan, Mohammed Abuhaliqa, Aisha AlMulla, Suhaila Ghuloum, Muhammad Waqar Azeem, Munir Pirmohamed, Puthen Veettil Jithesh
{"title":"Clinically actionable pharmacogenomic landscape of antidepressants and antipsychotics in Qatar: a population-based cohort study.","authors":"Dinesh Velayutham, Kholoud Bastaki, Areeba Irfan, Mohammed Abuhaliqa, Aisha AlMulla, Suhaila Ghuloum, Muhammad Waqar Azeem, Munir Pirmohamed, Puthen Veettil Jithesh","doi":"10.1017/pcm.2025.2","DOIUrl":null,"url":null,"abstract":"<p><p>Consortia like the Clinical Pharmacogenetic Implementation Consortium (CPIC) and the Dutch Pharmacogenetic Working Group (DPWG) provide clinical guidelines but pharmacogenomics implementation depends on population prevalence of actionable genetic variants and response phenotypes. We analyzed the distribution of actionable genetic variants and clinical recommendations in 14,354 adult Qataris, focusing only genes with guidelines (<i>CYP2C19</i>, <i>CYP2D6</i>, <i>CYP2B6</i> and <i>CYP3A4</i>). Haplotypes and diplotypes were generated from 490 alleles using whole genome data and metabolizer phenotypes were predicted based on current knowledge. Qatari population predicted to have actionable metabolizer phenotypes of CYP2C19, CYP2B6 and CYP2D6 impacting response to antidepressants were in the range of 1%-58% and for antipsychotics 0.1%-33% based on <i>CYP3A4</i> and <i>CYP2D6.</i> Fine-grained analysis based on clinical guidelines also revealed that while the Qataris may need prescription of an alternate antidepressant not metabolized by CYP2C19, patients from other populations may just need altering the dosage of tricyclic antidepressants like amitriptyline. Further studies incorporating other factors such as diet, environment and cultural habits alongwith population-specific variants will help in the pharmacogenomics implementation in the Qatari population.</p>","PeriodicalId":72491,"journal":{"name":"Cambridge prisms, Precision medicine","volume":"3 ","pages":"e4"},"PeriodicalIF":0.0000,"publicationDate":"2025-04-28","publicationTypes":"Journal Article","fieldsOfStudy":null,"isOpenAccess":false,"openAccessPdf":"https://www.ncbi.nlm.nih.gov/pmc/articles/PMC12277200/pdf/","citationCount":"0","resultStr":null,"platform":"Semanticscholar","paperid":null,"PeriodicalName":"Cambridge prisms, Precision medicine","FirstCategoryId":"1085","ListUrlMain":"https://doi.org/10.1017/pcm.2025.2","RegionNum":0,"RegionCategory":null,"ArticlePicture":[],"TitleCN":null,"AbstractTextCN":null,"PMCID":null,"EPubDate":"2025/1/1 0:00:00","PubModel":"eCollection","JCR":"","JCRName":"","Score":null,"Total":0}
引用次数: 0

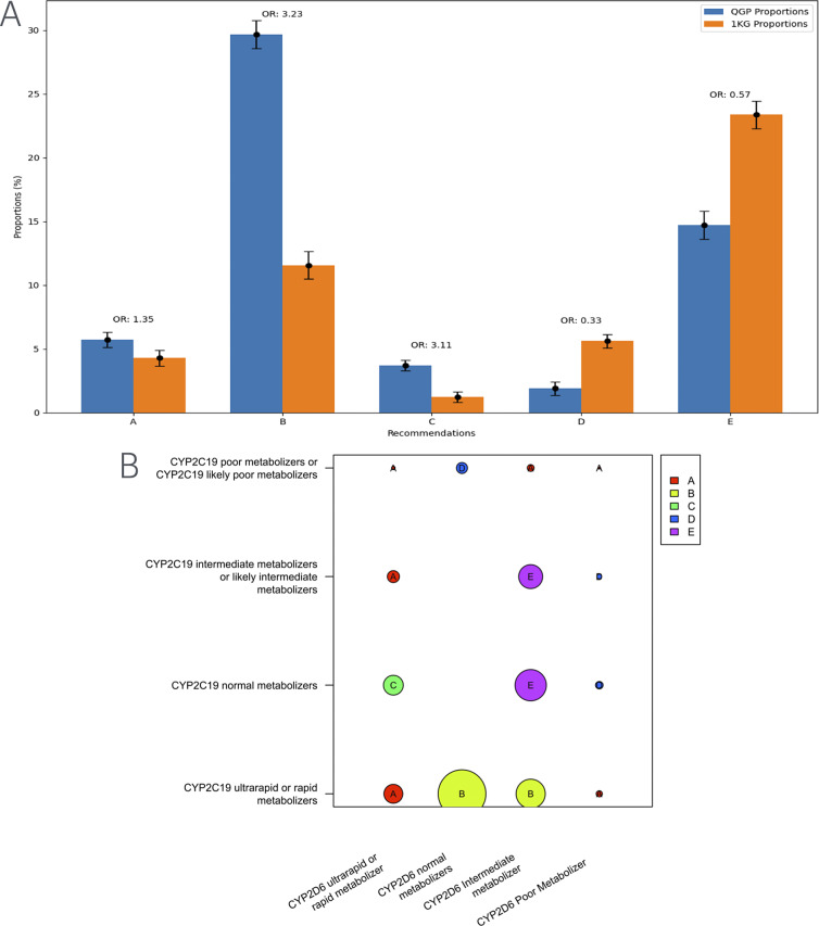
Abstract

Consortia like the Clinical Pharmacogenetic Implementation Consortium (CPIC) and the Dutch Pharmacogenetic Working Group (DPWG) provide clinical guidelines but pharmacogenomics implementation depends on population prevalence of actionable genetic variants and response phenotypes. We analyzed the distribution of actionable genetic variants and clinical recommendations in 14,354 adult Qataris, focusing only genes with guidelines (CYP2C19, CYP2D6, CYP2B6 and CYP3A4). Haplotypes and diplotypes were generated from 490 alleles using whole genome data and metabolizer phenotypes were predicted based on current knowledge. Qatari population predicted to have actionable metabolizer phenotypes of CYP2C19, CYP2B6 and CYP2D6 impacting response to antidepressants were in the range of 1%-58% and for antipsychotics 0.1%-33% based on CYP3A4 and CYP2D6. Fine-grained analysis based on clinical guidelines also revealed that while the Qataris may need prescription of an alternate antidepressant not metabolized by CYP2C19, patients from other populations may just need altering the dosage of tricyclic antidepressants like amitriptyline. Further studies incorporating other factors such as diet, environment and cultural habits alongwith population-specific variants will help in the pharmacogenomics implementation in the Qatari population.

Abstract Image

Abstract Image

Abstract Image

卡塔尔抗抑郁药和抗精神病药的临床可操作药物基因组学景观:一项基于人群的队列研究。
临床药物遗传实施联盟(CPIC)和荷兰药物遗传工作组(DPWG)等组织提供临床指南,但药物基因组学的实施取决于可操作的遗传变异和反应表型的人群患病率。我们分析了14354名成年卡塔尔人的可操作遗传变异的分布和临床建议,仅关注具有指南的基因(CYP2C19、CYP2D6、CYP2B6和CYP3A4)。利用全基因组数据从490个等位基因中生成单倍型和双倍型,并根据现有知识预测代谢表型。卡塔尔人群中CYP2C19、CYP2B6和CYP2D6代谢表型对抗抑郁药物反应的影响在1%-58%之间,基于CYP3A4和CYP2D6的抗精神病药物的影响在0.1%-33%之间。基于临床指南的细粒度分析还显示,虽然卡塔尔人可能需要处方一种不被CYP2C19代谢的替代抗抑郁药,但其他人群的患者可能只需要改变阿米替林等三环抗抑郁药的剂量。结合饮食、环境和文化习惯等其他因素以及人群特异性变异的进一步研究将有助于在卡塔尔人群中实施药物基因组学。
本文章由计算机程序翻译,如有差异,请以英文原文为准。
求助全文
约1分钟内获得全文 求助全文
来源期刊
自引率
0.00%
发文量
0
×
引用
GB/T 7714-2015
复制
MLA
复制
APA
复制
导出至
BibTeX EndNote RefMan NoteFirst NoteExpress
×
提示
您的信息不完整,为了账户安全,请先补充。
现在去补充
×
提示
您因"违规操作"
具体请查看互助需知
我知道了
×
提示
确定
请完成安全验证×
copy
已复制链接
快去分享给好友吧!
我知道了
右上角分享
点击右上角分享
0
联系我们:info@booksci.cn Book学术提供免费学术资源搜索服务,方便国内外学者检索中英文文献。致力于提供最便捷和优质的服务体验。 Copyright © 2023 布克学术 All rights reserved.
京ICP备2023020795号-1
ghs 京公网安备 11010802042870号
Book学术文献互助
Book学术文献互助群
群 号:604180095
Book学术官方微信