Synthesis and in vitro evaluation of novel pH-triggered biocompatible folate-chondroitin sulfate-dexamethasone copolymers for delivery of tofacitinib in rheumatoid arthritis.

IF 2.1 Q3 CHEMISTRY, MEDICINAL
Research in Pharmaceutical Sciences Pub Date : 2025-06-17 eCollection Date: 2025-06-01 DOI:10.4103/RPS.RPS_40_25
Zahra Ansarypour, Jaber Emami, Farshid Hassanzadeh, Mahmoud Aghaei, Mohsen Minaiyan, Neal M Davies, Mahboubeh Rezazadeh
{"title":"Synthesis and <i>in vitro</i> evaluation of novel pH-triggered biocompatible folate-chondroitin sulfate-dexamethasone copolymers for delivery of tofacitinib in rheumatoid arthritis.","authors":"Zahra Ansarypour, Jaber Emami, Farshid Hassanzadeh, Mahmoud Aghaei, Mohsen Minaiyan, Neal M Davies, Mahboubeh Rezazadeh","doi":"10.4103/RPS.RPS_40_25","DOIUrl":null,"url":null,"abstract":"<p><strong>Background and purpose: </strong>Rheumatoid arthritis (RA) is a chronic inflammatory disease associated with systemic complications and progressive disability. Systemic side effects and poor drug delivery to joints limit current treatments. This study aimed to enhance the efficacy of tofacitinib (Tofa) by synthesizing novel pH-triggered biocompatible polymers, both folate-targeted and non-folate-targeted.</p><p><strong>Experimental approach: </strong>First-generation polymers were synthesized and characterized using FT-IR and <sup>1</sup>HNMR spectroscopy. The critical micelle concentration of the copolymers was evaluated, and Tofa-loaded micelles were prepared using the dialysis method. The physical properties of the micelles were assessed using FE-SEM and dynamic light scattering. Cytotoxicity of Tofa/chondroitin sulfate-maleic-dexamethasone (Tofa/CHS-Mal-DEX) and Tofa/folic acid-polyethylene glycol-chondroitin sulfate-maleic-dexamethasone (Tofa/FA-PEG-CHS-Mal-DEX) micelles was evaluated on the fibroblastic L929 and RAW264.7. The cellular uptake and anti-inflammatory effects were investigated in the activated Raw 264.7 cell line.</p><p><strong>Findings/results: </strong>Tofa/CHS-Mal-DEX and Tofa/FA-PEG-CHS-Mal-DEX micelles exhibited particle sizes of 188 nm and 173.06 nm, respectively, with entrapment efficiencies of 51% and 72.76%. The release profiles exhibited that about 40% of Tofa was released from micelles over 62 h in physiological pH, whereas in acidic conditions, this significantly decreased to 2 h. Micelles demonstrated improved uptake efficiency, resulting in a significant reduction in IL-6 levels compared to free Tofa. None of the micelle formulations indicated cytotoxic effects on fibroblastic L929 and Raw 264.7 macrophage cell lines.</p><p><strong>Conclusion and implications: </strong>The developed folate and non-folate-targeted micelles were not toxic and biocompatible for enhancing the therapeutic potential of Tofa in RA and improving drug delivery.</p>","PeriodicalId":21075,"journal":{"name":"Research in Pharmaceutical Sciences","volume":"20 3","pages":"316-342"},"PeriodicalIF":2.1000,"publicationDate":"2025-06-17","publicationTypes":"Journal Article","fieldsOfStudy":null,"isOpenAccess":false,"openAccessPdf":"https://www.ncbi.nlm.nih.gov/pmc/articles/PMC12271849/pdf/","citationCount":"0","resultStr":null,"platform":"Semanticscholar","paperid":null,"PeriodicalName":"Research in Pharmaceutical Sciences","FirstCategoryId":"1085","ListUrlMain":"https://doi.org/10.4103/RPS.RPS_40_25","RegionNum":0,"RegionCategory":null,"ArticlePicture":[],"TitleCN":null,"AbstractTextCN":null,"PMCID":null,"EPubDate":"2025/6/1 0:00:00","PubModel":"eCollection","JCR":"Q3","JCRName":"CHEMISTRY, MEDICINAL","Score":null,"Total":0}
引用次数: 0

Abstract

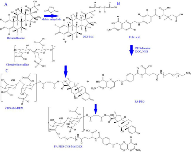
Background and purpose: Rheumatoid arthritis (RA) is a chronic inflammatory disease associated with systemic complications and progressive disability. Systemic side effects and poor drug delivery to joints limit current treatments. This study aimed to enhance the efficacy of tofacitinib (Tofa) by synthesizing novel pH-triggered biocompatible polymers, both folate-targeted and non-folate-targeted.

Experimental approach: First-generation polymers were synthesized and characterized using FT-IR and 1HNMR spectroscopy. The critical micelle concentration of the copolymers was evaluated, and Tofa-loaded micelles were prepared using the dialysis method. The physical properties of the micelles were assessed using FE-SEM and dynamic light scattering. Cytotoxicity of Tofa/chondroitin sulfate-maleic-dexamethasone (Tofa/CHS-Mal-DEX) and Tofa/folic acid-polyethylene glycol-chondroitin sulfate-maleic-dexamethasone (Tofa/FA-PEG-CHS-Mal-DEX) micelles was evaluated on the fibroblastic L929 and RAW264.7. The cellular uptake and anti-inflammatory effects were investigated in the activated Raw 264.7 cell line.

Findings/results: Tofa/CHS-Mal-DEX and Tofa/FA-PEG-CHS-Mal-DEX micelles exhibited particle sizes of 188 nm and 173.06 nm, respectively, with entrapment efficiencies of 51% and 72.76%. The release profiles exhibited that about 40% of Tofa was released from micelles over 62 h in physiological pH, whereas in acidic conditions, this significantly decreased to 2 h. Micelles demonstrated improved uptake efficiency, resulting in a significant reduction in IL-6 levels compared to free Tofa. None of the micelle formulations indicated cytotoxic effects on fibroblastic L929 and Raw 264.7 macrophage cell lines.

Conclusion and implications: The developed folate and non-folate-targeted micelles were not toxic and biocompatible for enhancing the therapeutic potential of Tofa in RA and improving drug delivery.

Abstract Image

Abstract Image

Abstract Image

新型ph触发生物相容性叶酸-硫酸软骨素-地塞米松共聚物的合成和体外评价用于递送托法替尼治疗类风湿关节炎。
背景和目的:类风湿性关节炎(RA)是一种慢性炎症性疾病,伴有全身并发症和进行性残疾。全身副作用和不良的关节药物输送限制了目前的治疗。本研究旨在通过合成新的ph触发的叶酸靶向和非叶酸靶向生物相容性聚合物来增强托法替尼(tofacitinib, Tofa)的疗效。实验方法:合成了第一代聚合物,并使用FT-IR和1HNMR光谱进行了表征。测定了共聚物的临界胶束浓度,并采用透析法制备了tofa负载胶束。利用FE-SEM和动态光散射技术对胶束的物理性质进行了表征。研究了Tofa/硫酸软骨素-马来地塞米松(Tofa/CHS-Mal-DEX)和Tofa/叶酸-聚乙二醇-硫酸软骨素-马来地塞米松(Tofa/FA-PEG-CHS-Mal-DEX)胶束对成纤维细胞L929和RAW264.7的细胞毒性。在活化的Raw 264.7细胞系中研究了其细胞摄取和抗炎作用。结果:Tofa/CHS-Mal-DEX和Tofa/FA-PEG-CHS-Mal-DEX胶束粒径分别为188 nm和173.06 nm,包封效率分别为51%和72.76%。释放谱显示,在生理pH条件下,约40%的Tofa在62小时内从胶束中释放出来,而在酸性条件下,这一比例显著降低至2小时。胶束的吸收效率提高,与游离Tofa相比,IL-6水平显著降低。胶束制剂对成纤维细胞L929和Raw 264.7巨噬细胞均无细胞毒性作用。结论和意义:开发的叶酸和非叶酸靶向胶束无毒且具有生物相容性,可增强Tofa在RA中的治疗潜力并改善药物传递。
本文章由计算机程序翻译,如有差异,请以英文原文为准。
求助全文
约1分钟内获得全文 求助全文
来源期刊
Research in Pharmaceutical Sciences
Research in Pharmaceutical Sciences CHEMISTRY, MEDICINAL-
CiteScore
3.60
自引率
19.00%
发文量
50
审稿时长
34 weeks
期刊介绍: Research in Pharmaceutical Sciences (RPS) is included in Thomson Reuters ESCI Web of Science (searchable at WoS master journal list), indexed with PubMed and PubMed Central and abstracted in the Elsevier Bibliographic Databases. Databases include Scopus, EMBASE, EMCare, EMBiology and Elsevier BIOBASE. It is also indexed in several specialized databases including Scientific Information Database (SID), Google Scholar, Iran Medex, Magiran, Index Copernicus (IC) and Islamic World Science Citation Center (ISC).
×
引用
GB/T 7714-2015
复制
MLA
复制
APA
复制
导出至
BibTeX EndNote RefMan NoteFirst NoteExpress
×
提示
您的信息不完整,为了账户安全,请先补充。
现在去补充
×
提示
您因"违规操作"
具体请查看互助需知
我知道了
×
提示
确定
请完成安全验证×
copy
已复制链接
快去分享给好友吧!
我知道了
右上角分享
点击右上角分享
0
联系我们:info@booksci.cn Book学术提供免费学术资源搜索服务,方便国内外学者检索中英文文献。致力于提供最便捷和优质的服务体验。 Copyright © 2023 布克学术 All rights reserved.
京ICP备2023020795号-1
ghs 京公网安备 11010802042870号
Book学术文献互助
Book学术文献互助群
群 号:604180095
Book学术官方微信