Risk Assessment Models and Event-Free Survival in Pulmonary Arterial Hypertension.

IF 2.5 4区 医学 Q2 CARDIAC & CARDIOVASCULAR SYSTEMS
Pulmonary Circulation Pub Date : 2025-07-18 eCollection Date: 2025-07-01 DOI:10.1002/pul2.70132
Clara Hjalmarsson, Tanvee Thakur, Göran Rådegran, Erik Björklund, Håkan Wåhlander, Magnus Nisell, Joanna-Maria Papageorgiou, Stefan Söderberg, Dominik Lautsch, Barbro Kjellström
{"title":"Risk Assessment Models and Event-Free Survival in Pulmonary Arterial Hypertension.","authors":"Clara Hjalmarsson, Tanvee Thakur, Göran Rådegran, Erik Björklund, Håkan Wåhlander, Magnus Nisell, Joanna-Maria Papageorgiou, Stefan Söderberg, Dominik Lautsch, Barbro Kjellström","doi":"10.1002/pul2.70132","DOIUrl":null,"url":null,"abstract":"<p><p>Evidence on the predictive ability of risk assessment models for event-free survival (EFS) in patients with pulmonary arterial hypertension is scarce. We aimed to investigate the relationship between risk status at 6 months after diagnosis (6 M) and EFS, by three risk models: Multicomponent Improvement (MCI), ESC/ERS 4-Strata Risk (4SR), and noninvasive French PH Registry Score (FRS). Data collected in the Swedish PAH Registry 2008-2021 were used. The study population was risk-stratified at 6 M according to each model. Information on PAH-related hospitalization (HOSP) was collected from the National Patient Register. EFS was defined as survival without occurrence of: (1) HOSP; (2) initiation of parenteral prostacyclin therapy or dose increase ≥ 10%; (3) lung transplantation. The association between risk and EFS was evaluated by Kaplan-Meier estimates and Cox proportional models. The analysis included 411 incident patients, median age 66 y [50, 73]. Median survival time was 3.5 y [1.7; 5.4], and cumulative EFS was 55%. In a Cox proportional regression adjusted for age, eGFR, obesity, atrial fibrillation, and systemic hypertension, EFS was higher in patients who: (1) achieved two or three MCI criteria compared to one or no MCI criterion (HR 0.58; CI 0.39-0.84, <i>p</i> = 0.005); (2) were assessed as low, intermediate-low, or intermediate-high compared to high risk (HR 0.16; CI 0.09-0.28, <i>p</i> < 0.001); or (3) fulfilled one, two, or three low-risk FRS criteria, compared to no low-risk criterion (HR 0.29; CI 0.19-0.43, <i>p</i> < 0.001). Performing a risk assessment 6 months after diagnosis effectively predicts the likelihood of EFS in the studied population, highlighting its prognostic value.</p>","PeriodicalId":20927,"journal":{"name":"Pulmonary Circulation","volume":"15 3","pages":"e70132"},"PeriodicalIF":2.5000,"publicationDate":"2025-07-18","publicationTypes":"Journal Article","fieldsOfStudy":null,"isOpenAccess":false,"openAccessPdf":"https://www.ncbi.nlm.nih.gov/pmc/articles/PMC12272513/pdf/","citationCount":"0","resultStr":null,"platform":"Semanticscholar","paperid":null,"PeriodicalName":"Pulmonary Circulation","FirstCategoryId":"3","ListUrlMain":"https://doi.org/10.1002/pul2.70132","RegionNum":4,"RegionCategory":"医学","ArticlePicture":[],"TitleCN":null,"AbstractTextCN":null,"PMCID":null,"EPubDate":"2025/7/1 0:00:00","PubModel":"eCollection","JCR":"Q2","JCRName":"CARDIAC & CARDIOVASCULAR SYSTEMS","Score":null,"Total":0}
引用次数: 0

Abstract

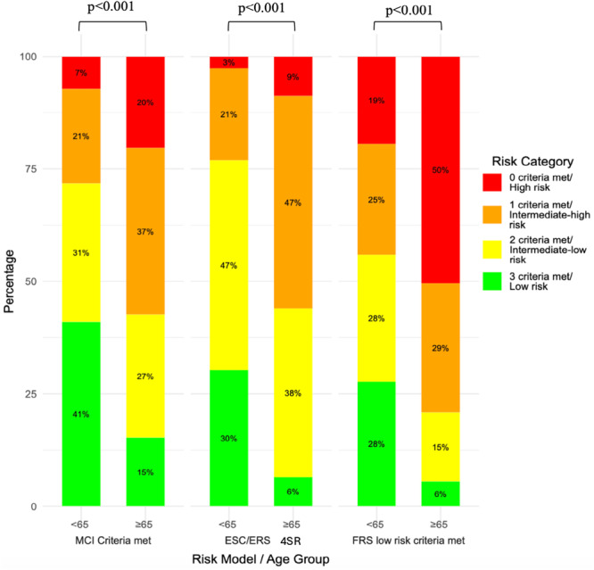
Evidence on the predictive ability of risk assessment models for event-free survival (EFS) in patients with pulmonary arterial hypertension is scarce. We aimed to investigate the relationship between risk status at 6 months after diagnosis (6 M) and EFS, by three risk models: Multicomponent Improvement (MCI), ESC/ERS 4-Strata Risk (4SR), and noninvasive French PH Registry Score (FRS). Data collected in the Swedish PAH Registry 2008-2021 were used. The study population was risk-stratified at 6 M according to each model. Information on PAH-related hospitalization (HOSP) was collected from the National Patient Register. EFS was defined as survival without occurrence of: (1) HOSP; (2) initiation of parenteral prostacyclin therapy or dose increase ≥ 10%; (3) lung transplantation. The association between risk and EFS was evaluated by Kaplan-Meier estimates and Cox proportional models. The analysis included 411 incident patients, median age 66 y [50, 73]. Median survival time was 3.5 y [1.7; 5.4], and cumulative EFS was 55%. In a Cox proportional regression adjusted for age, eGFR, obesity, atrial fibrillation, and systemic hypertension, EFS was higher in patients who: (1) achieved two or three MCI criteria compared to one or no MCI criterion (HR 0.58; CI 0.39-0.84, p = 0.005); (2) were assessed as low, intermediate-low, or intermediate-high compared to high risk (HR 0.16; CI 0.09-0.28, p < 0.001); or (3) fulfilled one, two, or three low-risk FRS criteria, compared to no low-risk criterion (HR 0.29; CI 0.19-0.43, p < 0.001). Performing a risk assessment 6 months after diagnosis effectively predicts the likelihood of EFS in the studied population, highlighting its prognostic value.

Abstract Image

Abstract Image

Abstract Image

肺动脉高压的风险评估模型和无事件生存率。
关于肺动脉高压患者无事件生存(EFS)的风险评估模型预测能力的证据很少。我们旨在通过三种风险模型研究诊断后6个月(6 M)的风险状态与EFS之间的关系:多组分改善(MCI), ESC/ERS 4-Strata risk (4SR)和无创法国PH注册评分(FRS)。使用2008-2021年瑞典多环芳烃登记处收集的数据。根据每个模型对研究人群进行600万风险分层。有关多环芳烃相关住院(HOSP)的信息收集自国家患者登记册。EFS定义为没有发生以下情况的生存期:(1)HOSP;(2)开始肠外前列环素治疗或剂量增加≥10%;(3)肺移植。通过Kaplan-Meier估计和Cox比例模型评估风险与EFS之间的关系。分析纳入411例事件患者,中位年龄66岁[50,73]。中位生存时间为3.5 y [1.7;5.4],累积EFS为55%。在年龄、eGFR、肥胖、心房纤颤和全身性高血压校正的Cox比例回归中,:(1)达到两个或三个MCI标准的患者EFS高于达到一个或没有MCI标准的患者(HR 0.58;CI 0.39-0.84, p = 0.005);(2)与高风险相比,被评估为低、中低或中高(HR 0.16;CI 0.09-0.28, p
本文章由计算机程序翻译,如有差异,请以英文原文为准。
求助全文
约1分钟内获得全文 求助全文
来源期刊
Pulmonary Circulation
Pulmonary Circulation Medicine-Pulmonary and Respiratory Medicine
CiteScore
4.20
自引率
11.50%
发文量
153
审稿时长
15 weeks
期刊介绍: Pulmonary Circulation''s main goal is to encourage basic, translational, and clinical research by investigators, physician-scientists, and clinicans, in the hope of increasing survival rates for pulmonary hypertension and other pulmonary vascular diseases worldwide, and developing new therapeutic approaches for the diseases. Freely available online, Pulmonary Circulation allows diverse knowledge of research, techniques, and case studies to reach a wide readership of specialists in order to improve patient care and treatment outcomes.
×
引用
GB/T 7714-2015
复制
MLA
复制
APA
复制
导出至
BibTeX EndNote RefMan NoteFirst NoteExpress
×
提示
您的信息不完整,为了账户安全,请先补充。
现在去补充
×
提示
您因"违规操作"
具体请查看互助需知
我知道了
×
提示
确定
请完成安全验证×
copy
已复制链接
快去分享给好友吧!
我知道了
右上角分享
点击右上角分享
0
联系我们:info@booksci.cn Book学术提供免费学术资源搜索服务,方便国内外学者检索中英文文献。致力于提供最便捷和优质的服务体验。 Copyright © 2023 布克学术 All rights reserved.
京ICP备2023020795号-1
ghs 京公网安备 11010802042870号
Book学术文献互助
Book学术文献互助群
群 号:604180095
Book学术官方微信