Clinical Pharmacokinetics and Pharmacodynamics of Remimazolam.

IF 4 2区 医学 Q1 PHARMACOLOGY & PHARMACY
Clinical Pharmacokinetics Pub Date : 2025-09-01 Epub Date: 2025-07-21 DOI:10.1007/s40262-025-01548-7
Bas T de Jong, Douglas J Eleveld, Keira P Mason, Michel M R F Struys
{"title":"Clinical Pharmacokinetics and Pharmacodynamics of Remimazolam.","authors":"Bas T de Jong, Douglas J Eleveld, Keira P Mason, Michel M R F Struys","doi":"10.1007/s40262-025-01548-7","DOIUrl":null,"url":null,"abstract":"<p><p>Remimazolam is a benzodiazepine with a high affinity for the γ-aminobutyric acid type A-receptor thereby inducing sedation and amnesia. It is a short-acting drug, has a fast onset, short duration of action, and a predictable recovery profile. Remimazolam is metabolized mainly into CNS7054. In recent years, numerous population pharmacokinetic and combined pharmacokinetic/pharmacodynamic studies have been published. This narrative review aims to give an overview of and insight into pharmacokinetic/pharmacodynamic models and related clinical effects. Body weight, age and American Society of Anesthesiologists classification, sex, hepatic function, and extracorporeal circulation have been shown to significantly impact remimazolam pharmacokinetics. Body mass index, race, concomitant opioid administration, and a CNS7054-induced tolerance effect may be covariates. The labeling of remimazolam is not consistent worldwide as it has been approved for general anesthesia and/or sedation in different countries. To date, remimazolam is only approved by the intravenous route. Remimazolam has been approved for general anesthesia and/or sedation. The incidence of postoperative nausea and vomiting seems higher compared with propofol, yet pain on injection is less common. One study has published population pharmacokinetics in children. Reports on alternative methods to intravenous administration have been sparse.</p>","PeriodicalId":10405,"journal":{"name":"Clinical Pharmacokinetics","volume":" ","pages":"1263-1282"},"PeriodicalIF":4.0000,"publicationDate":"2025-09-01","publicationTypes":"Journal Article","fieldsOfStudy":null,"isOpenAccess":false,"openAccessPdf":"https://www.ncbi.nlm.nih.gov/pmc/articles/PMC12414031/pdf/","citationCount":"0","resultStr":null,"platform":"Semanticscholar","paperid":null,"PeriodicalName":"Clinical Pharmacokinetics","FirstCategoryId":"3","ListUrlMain":"https://doi.org/10.1007/s40262-025-01548-7","RegionNum":2,"RegionCategory":"医学","ArticlePicture":[],"TitleCN":null,"AbstractTextCN":null,"PMCID":null,"EPubDate":"2025/7/21 0:00:00","PubModel":"Epub","JCR":"Q1","JCRName":"PHARMACOLOGY & PHARMACY","Score":null,"Total":0}
引用次数: 0

Abstract

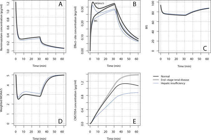
Remimazolam is a benzodiazepine with a high affinity for the γ-aminobutyric acid type A-receptor thereby inducing sedation and amnesia. It is a short-acting drug, has a fast onset, short duration of action, and a predictable recovery profile. Remimazolam is metabolized mainly into CNS7054. In recent years, numerous population pharmacokinetic and combined pharmacokinetic/pharmacodynamic studies have been published. This narrative review aims to give an overview of and insight into pharmacokinetic/pharmacodynamic models and related clinical effects. Body weight, age and American Society of Anesthesiologists classification, sex, hepatic function, and extracorporeal circulation have been shown to significantly impact remimazolam pharmacokinetics. Body mass index, race, concomitant opioid administration, and a CNS7054-induced tolerance effect may be covariates. The labeling of remimazolam is not consistent worldwide as it has been approved for general anesthesia and/or sedation in different countries. To date, remimazolam is only approved by the intravenous route. Remimazolam has been approved for general anesthesia and/or sedation. The incidence of postoperative nausea and vomiting seems higher compared with propofol, yet pain on injection is less common. One study has published population pharmacokinetics in children. Reports on alternative methods to intravenous administration have been sparse.

Abstract Image

Abstract Image

Abstract Image

雷马唑仑的临床药代动力学和药效学。
雷马唑仑是一种苯二氮卓类药物,对γ-氨基丁酸a型受体具有高亲和力,从而诱导镇静和健忘症。它是一种短效药物,起效快,作用时间短,恢复情况可预测。雷马唑仑主要代谢成CNS7054。近年来,发表了大量的群体药代动力学和联合药代动力学/药效学研究。本文旨在对药代动力学/药效学模型和相关临床效果进行综述和深入研究。体重、年龄和美国麻醉师学会分类、性别、肝功能和体外循环已被证明对雷马唑仑的药代动力学有显著影响。体重指数、种族、同时服用阿片类药物和cns7054诱导的耐受性效应可能是协变量。remimazolam的标签在世界范围内并不一致,因为它已在不同国家被批准用于全身麻醉和/或镇静。迄今为止,雷马唑仑只被批准通过静脉注射。雷马唑仑已被批准用于全身麻醉和/或镇静。与异丙酚相比,术后恶心和呕吐的发生率似乎更高,但注射后疼痛较少见。一项研究发表了儿童群体药代动力学。关于静脉给药替代方法的报道很少。
本文章由计算机程序翻译,如有差异,请以英文原文为准。
求助全文
约1分钟内获得全文 求助全文
来源期刊
CiteScore
8.80
自引率
4.40%
发文量
86
审稿时长
6-12 weeks
期刊介绍: Clinical Pharmacokinetics promotes the continuing development of clinical pharmacokinetics and pharmacodynamics for the improvement of drug therapy, and for furthering postgraduate education in clinical pharmacology and therapeutics. Pharmacokinetics, the study of drug disposition in the body, is an integral part of drug development and rational use. Knowledge and application of pharmacokinetic principles leads to accelerated drug development, cost effective drug use and a reduced frequency of adverse effects and drug interactions.
×
引用
GB/T 7714-2015
复制
MLA
复制
APA
复制
导出至
BibTeX EndNote RefMan NoteFirst NoteExpress
×
提示
您的信息不完整,为了账户安全,请先补充。
现在去补充
×
提示
您因"违规操作"
具体请查看互助需知
我知道了
×
提示
确定
请完成安全验证×
copy
已复制链接
快去分享给好友吧!
我知道了
右上角分享
点击右上角分享
0
联系我们:info@booksci.cn Book学术提供免费学术资源搜索服务,方便国内外学者检索中英文文献。致力于提供最便捷和优质的服务体验。 Copyright © 2023 布克学术 All rights reserved.
京ICP备2023020795号-1
ghs 京公网安备 11010802042870号
Book学术文献互助
Book学术文献互助群
群 号:604180095
Book学术官方微信