Risk of peritoneal metastasis following minimally invasive colectomy for locally advanced colon cancer: a systematic review and meta-analysis.

IF 4.2 2区 医学 Q1 ONCOLOGY
Oncologist Pub Date : 2025-09-01 DOI:10.1093/oncolo/oyaf218
Robert Connor Chick, Samantha M Ruff, Ryan Heslin, Matthew R Porembka, Patricio M Polanco, Alex C Kim
{"title":"Risk of peritoneal metastasis following minimally invasive colectomy for locally advanced colon cancer: a systematic review and meta-analysis.","authors":"Robert Connor Chick, Samantha M Ruff, Ryan Heslin, Matthew R Porembka, Patricio M Polanco, Alex C Kim","doi":"10.1093/oncolo/oyaf218","DOIUrl":null,"url":null,"abstract":"<p><strong>Background: </strong>Locally advanced (T4) colon cancer is a significant risk factor for peritoneal metastasis (PM). Although laparoscopic colectomy (LC) is considered oncologically safe, the risk of PM in patients with T4 disease undergoing LC remains unclear. Prior systematic reviews demonstrated equivalent overall survival between LC and open colectomy (OC). However, comparison of LC and OC for peritoneal recurrence is lacking.</p><p><strong>Methods: </strong>A systematic review, conducted according to PRISMA guidelines, identified 247 abstracts, of which 46 full texts were reviewed. Studies including both LC and OC that reported peritoneal recurrence were included. Case reports and conference abstracts were excluded. Pooled effect size for proportion of, and hazard ratio (HR) for, peritoneal recurrence were calculated using a random-effects model with inverse variance weighting.</p><p><strong>Results: </strong>Nine studies met inclusion criteria. All were retrospective cohort studies; most considered \"conversion to open\" as laparoscopic procedures. Pooled odds ratio was 1.61 (P = .011, I2 = 0.62), and HR was 1.24 (P < .001, I2 = 0.10) for developing peritoneal metastases. Risk of bias was assessed as low or moderate for all studies. Quality of evidence was low.</p><p><strong>Conclusions: </strong>Laparoscopic colectomy is associated with an increased risk of peritoneal recurrence compared with open colectomy for T4 colon cancer. Although selection bias in these nonrandomized studies should favor laparoscopic surgery, LC was associated with an increased risk of peritoneal recurrence. LC should be approached with caution for cT4 colon cancer. Strategies to mitigate the risk of peritoneal recurrence in T4 colon cancer, such as neoadjuvant chemotherapy or adjuvant intraperitoneal chemotherapy, should be further explored in prospective studies.</p>","PeriodicalId":54686,"journal":{"name":"Oncologist","volume":" ","pages":""},"PeriodicalIF":4.2000,"publicationDate":"2025-09-01","publicationTypes":"Journal Article","fieldsOfStudy":null,"isOpenAccess":false,"openAccessPdf":"https://www.ncbi.nlm.nih.gov/pmc/articles/PMC12445660/pdf/","citationCount":"0","resultStr":null,"platform":"Semanticscholar","paperid":null,"PeriodicalName":"Oncologist","FirstCategoryId":"3","ListUrlMain":"https://doi.org/10.1093/oncolo/oyaf218","RegionNum":2,"RegionCategory":"医学","ArticlePicture":[],"TitleCN":null,"AbstractTextCN":null,"PMCID":null,"EPubDate":"","PubModel":"","JCR":"Q1","JCRName":"ONCOLOGY","Score":null,"Total":0}
引用次数: 0

Abstract

Background: Locally advanced (T4) colon cancer is a significant risk factor for peritoneal metastasis (PM). Although laparoscopic colectomy (LC) is considered oncologically safe, the risk of PM in patients with T4 disease undergoing LC remains unclear. Prior systematic reviews demonstrated equivalent overall survival between LC and open colectomy (OC). However, comparison of LC and OC for peritoneal recurrence is lacking.

Methods: A systematic review, conducted according to PRISMA guidelines, identified 247 abstracts, of which 46 full texts were reviewed. Studies including both LC and OC that reported peritoneal recurrence were included. Case reports and conference abstracts were excluded. Pooled effect size for proportion of, and hazard ratio (HR) for, peritoneal recurrence were calculated using a random-effects model with inverse variance weighting.

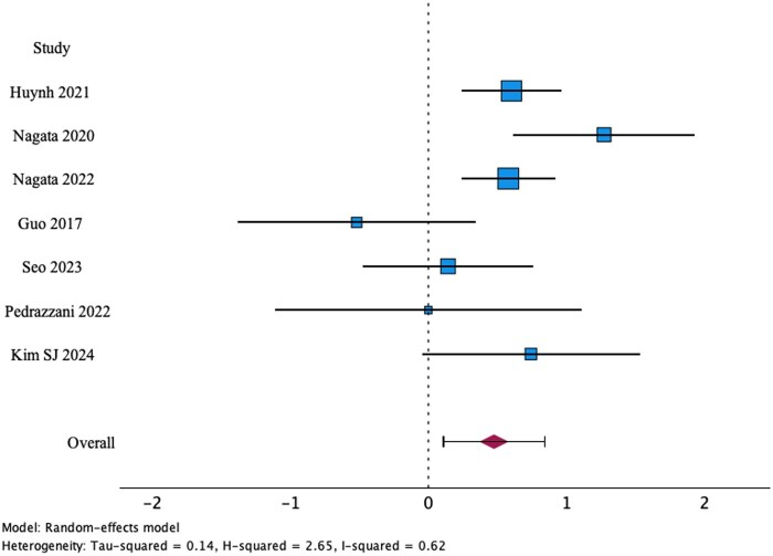
Results: Nine studies met inclusion criteria. All were retrospective cohort studies; most considered "conversion to open" as laparoscopic procedures. Pooled odds ratio was 1.61 (P = .011, I2 = 0.62), and HR was 1.24 (P < .001, I2 = 0.10) for developing peritoneal metastases. Risk of bias was assessed as low or moderate for all studies. Quality of evidence was low.

Conclusions: Laparoscopic colectomy is associated with an increased risk of peritoneal recurrence compared with open colectomy for T4 colon cancer. Although selection bias in these nonrandomized studies should favor laparoscopic surgery, LC was associated with an increased risk of peritoneal recurrence. LC should be approached with caution for cT4 colon cancer. Strategies to mitigate the risk of peritoneal recurrence in T4 colon cancer, such as neoadjuvant chemotherapy or adjuvant intraperitoneal chemotherapy, should be further explored in prospective studies.

Abstract Image

Abstract Image

Abstract Image

局部晚期结肠癌微创结肠切除术后腹膜转移的风险:系统回顾和荟萃分析。
背景:局部晚期(T4)结肠癌是腹膜转移的重要危险因素。尽管腹腔镜结肠切除术(LC)被认为是肿瘤学上安全的,但T4疾病患者接受LC时腹膜转移的风险尚不清楚。先前的系统评价表明LC和开放式结肠切除术(OC)的总生存率相当。然而,LC和OC对腹膜复发的比较缺乏。方法:根据PRISMA指南进行系统综述,选取247篇摘要,其中46篇全文进行综述。研究包括报告腹膜复发的LC和OC。排除病例报告和会议摘要。腹膜复发比例的合并效应大小和风险比采用方差反加权随机效应模型计算。结果:9项研究符合纳入标准。所有研究均为回顾性队列研究;大多数人认为“转开”是腹腔镜手术。合并优势比为1.61 (p = 0.011, i2 =0.62),风险比为1.24 (p)。结论:与开放式结肠切除术相比,腹腔镜结肠切除术与T4结肠癌腹膜复发风险增加相关。尽管这些非随机研究中的选择偏倚倾向于腹腔镜手术,但LC与腹膜复发风险增加有关。cT4结肠癌应谨慎行LC。降低T4结肠癌腹膜复发风险的策略,如新辅助化疗或辅助腹腔内化疗,应在前瞻性研究中进一步探讨。
本文章由计算机程序翻译,如有差异,请以英文原文为准。
求助全文
约1分钟内获得全文 求助全文
来源期刊
Oncologist
Oncologist 医学-肿瘤学
CiteScore
10.40
自引率
3.40%
发文量
309
审稿时长
3-8 weeks
期刊介绍: The Oncologist® is dedicated to translating the latest research developments into the best multidimensional care for cancer patients. Thus, The Oncologist is committed to helping physicians excel in this ever-expanding environment through the publication of timely reviews, original studies, and commentaries on important developments. We believe that the practice of oncology requires both an understanding of a range of disciplines encompassing basic science related to cancer, translational research, and clinical practice, but also the socioeconomic and psychosocial factors that determine access to care and quality of life and function following cancer treatment.
×
引用
GB/T 7714-2015
复制
MLA
复制
APA
复制
导出至
BibTeX EndNote RefMan NoteFirst NoteExpress
×
提示
您的信息不完整,为了账户安全,请先补充。
现在去补充
×
提示
您因"违规操作"
具体请查看互助需知
我知道了
×
提示
确定
请完成安全验证×
copy
已复制链接
快去分享给好友吧!
我知道了
右上角分享
点击右上角分享
0
联系我们:info@booksci.cn Book学术提供免费学术资源搜索服务,方便国内外学者检索中英文文献。致力于提供最便捷和优质的服务体验。 Copyright © 2023 布克学术 All rights reserved.
京ICP备2023020795号-1
ghs 京公网安备 11010802042870号
Book学术文献互助
Book学术文献互助群
群 号:604180095
Book学术官方微信