The effects of augmentation choices for locking plate fixation in proximal humerus fracture osteosynthesis: a systematic review and meta-analysis.

IF 3.7 2区 医学 Q1 ORTHOPEDICS
Hsiao-Yi Cheng, Chun-Wei Liang, Jou-Hua Wang, Yuh-Ruey Kuo, Po-Yen Ko, Chang-Han Chuang, Po-Ting Wu
{"title":"The effects of augmentation choices for locking plate fixation in proximal humerus fracture osteosynthesis: a systematic review and meta-analysis.","authors":"Hsiao-Yi Cheng, Chun-Wei Liang, Jou-Hua Wang, Yuh-Ruey Kuo, Po-Yen Ko, Chang-Han Chuang, Po-Ting Wu","doi":"10.1186/s10195-025-00852-z","DOIUrl":null,"url":null,"abstract":"<p><strong>Background: </strong>Various augmentation choices have been reported to improve outcomes following locking plate fixation for proximal humerus fracture, but their effectiveness and safety are still under investigation. This study aims to investigate the effects of augmentation choices, including bone grafts, cement, and intramedullary plates, in locking plate fixation for proximal humerus fractures.</p><p><strong>Methods: </strong>PubMed, Embase, and Cochrane Library were searched for studies up to April 2024. A random-effects meta-analysis was performed within a frequentist framework.</p><p><strong>Results: </strong>A total of 35 studies, comprising 6 randomized controlled trials and 29 nonrandomized studies of intervention with a total of 37,494 patients, were included in this review. After adjusting for small-study bias, locking plate fixation with bone grafts or cement did not affect overall complication risk (risk ratio [RR]: 1.03, 95% confidence interval [CI] 0.74-1.45), the screw protrusion risk (RR: 0.74, 95% CI 0.45-1.13), and the avascular necrosis risk (RR: 0.98, 95% CI 0.73-1.32) compared with locking plates alone. Augmentation showed small-to-moderate effects on pain reduction and functional improvement and reduced changes in humeral head height and neck-shaft angle. In subgroup analyses, cement augmentation, while possibly inferior to bone grafts in pain relief and function, showed comparable effects on radiographic outcomes. No significant difference between strut fibular and non-fibular grafts was observed.</p><p><strong>Conclusions: </strong>Augmentation with bone grafts or cement does not convincingly reduce complication risks or screw protrusion compared with locking plate fixation alone. However, it improves pain, function, and radiographic outcomes in osteosynthesis of proximal humerus fractures.</p><p><strong>Level of evidence: </strong>II.</p><p><strong>Registration: </strong>CRD42024500403.</p>","PeriodicalId":48603,"journal":{"name":"Journal of Orthopaedics and Traumatology","volume":"26 1","pages":"47"},"PeriodicalIF":3.7000,"publicationDate":"2025-07-17","publicationTypes":"Journal Article","fieldsOfStudy":null,"isOpenAccess":false,"openAccessPdf":"https://www.ncbi.nlm.nih.gov/pmc/articles/PMC12271005/pdf/","citationCount":"0","resultStr":null,"platform":"Semanticscholar","paperid":null,"PeriodicalName":"Journal of Orthopaedics and Traumatology","FirstCategoryId":"3","ListUrlMain":"https://doi.org/10.1186/s10195-025-00852-z","RegionNum":2,"RegionCategory":"医学","ArticlePicture":[],"TitleCN":null,"AbstractTextCN":null,"PMCID":null,"EPubDate":"","PubModel":"","JCR":"Q1","JCRName":"ORTHOPEDICS","Score":null,"Total":0}
引用次数: 0

Abstract

Background: Various augmentation choices have been reported to improve outcomes following locking plate fixation for proximal humerus fracture, but their effectiveness and safety are still under investigation. This study aims to investigate the effects of augmentation choices, including bone grafts, cement, and intramedullary plates, in locking plate fixation for proximal humerus fractures.

Methods: PubMed, Embase, and Cochrane Library were searched for studies up to April 2024. A random-effects meta-analysis was performed within a frequentist framework.

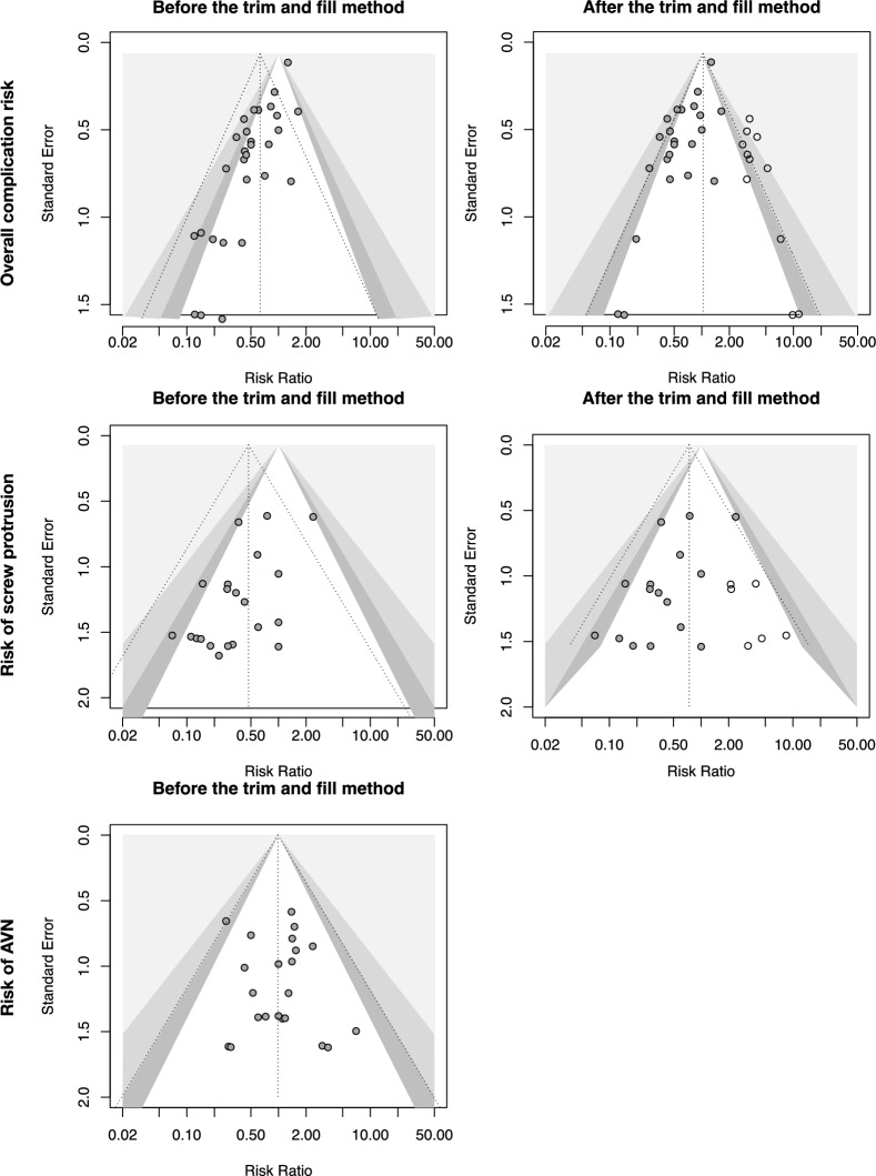
Results: A total of 35 studies, comprising 6 randomized controlled trials and 29 nonrandomized studies of intervention with a total of 37,494 patients, were included in this review. After adjusting for small-study bias, locking plate fixation with bone grafts or cement did not affect overall complication risk (risk ratio [RR]: 1.03, 95% confidence interval [CI] 0.74-1.45), the screw protrusion risk (RR: 0.74, 95% CI 0.45-1.13), and the avascular necrosis risk (RR: 0.98, 95% CI 0.73-1.32) compared with locking plates alone. Augmentation showed small-to-moderate effects on pain reduction and functional improvement and reduced changes in humeral head height and neck-shaft angle. In subgroup analyses, cement augmentation, while possibly inferior to bone grafts in pain relief and function, showed comparable effects on radiographic outcomes. No significant difference between strut fibular and non-fibular grafts was observed.

Conclusions: Augmentation with bone grafts or cement does not convincingly reduce complication risks or screw protrusion compared with locking plate fixation alone. However, it improves pain, function, and radiographic outcomes in osteosynthesis of proximal humerus fractures.

Level of evidence: II.

Registration: CRD42024500403.

Abstract Image

Abstract Image

Abstract Image

肱骨近端骨折接骨术中锁定钢板固定选择的效果:系统回顾和荟萃分析。
背景:据报道,各种增强选择可改善肱骨近端骨折锁定钢板固定后的预后,但其有效性和安全性仍在研究中。本研究旨在探讨包括骨移植物、骨水泥和髓内钢板在内的增强选择在肱骨近端骨折锁定钢板固定中的作用。方法:检索PubMed、Embase和Cochrane图书馆截至2024年4月的研究。随机效应荟萃分析在频率学框架内进行。结果:本综述共纳入35项研究,包括6项随机对照试验和29项非随机干预研究,共计37,494例患者。调整小研究偏倚后,与单独使用锁定钢板相比,骨移植或骨水泥固定锁定钢板不影响总并发症风险(风险比[RR]: 1.03, 95%可信区间[CI] 0.74-1.45)、螺钉突出风险(RR: 0.74, 95% CI 0.45-1.13)和无血管坏死风险(RR: 0.98, 95% CI 0.73-1.32)。隆胸在减轻疼痛和功能改善方面显示出小到中等的效果,并减少了肱骨头高度和颈轴角的变化。在亚组分析中,骨水泥增强虽然在疼痛缓解和功能方面可能不如骨移植物,但在影像学结果上显示出相当的效果。支撑式腓骨与非腓骨移植无显著差异。结论:与单纯锁定钢板固定相比,骨移植或骨水泥增强不能令人信服地减少并发症风险或螺钉突出。然而,它可以改善肱骨近端骨折的疼痛、功能和影像学结果。证据水平:II。注册:CRD42024500403。
本文章由计算机程序翻译,如有差异,请以英文原文为准。
求助全文
约1分钟内获得全文 求助全文
来源期刊
Journal of Orthopaedics and Traumatology
Journal of Orthopaedics and Traumatology Medicine-Orthopedics and Sports Medicine
CiteScore
4.30
自引率
0.00%
发文量
56
审稿时长
13 weeks
期刊介绍: The Journal of Orthopaedics and Traumatology, the official open access peer-reviewed journal of the Italian Society of Orthopaedics and Traumatology, publishes original papers reporting basic or clinical research in the field of orthopaedic and traumatologic surgery, as well as systematic reviews, brief communications, case reports and letters to the Editor. Narrative instructional reviews and commentaries to original articles may be commissioned by Editors from eminent colleagues. The Journal of Orthopaedics and Traumatology aims to be an international forum for the communication and exchange of ideas concerning the various aspects of orthopaedics and musculoskeletal trauma.
×
引用
GB/T 7714-2015
复制
MLA
复制
APA
复制
导出至
BibTeX EndNote RefMan NoteFirst NoteExpress
×
提示
您的信息不完整,为了账户安全,请先补充。
现在去补充
×
提示
您因"违规操作"
具体请查看互助需知
我知道了
×
提示
确定
请完成安全验证×
copy
已复制链接
快去分享给好友吧!
我知道了
右上角分享
点击右上角分享
0
联系我们:info@booksci.cn Book学术提供免费学术资源搜索服务,方便国内外学者检索中英文文献。致力于提供最便捷和优质的服务体验。 Copyright © 2023 布克学术 All rights reserved.
京ICP备2023020795号-1
ghs 京公网安备 11010802042870号
Book学术文献互助
Book学术文献互助群
群 号:604180095
Book学术官方微信