Venous Thromboembolism Therapy with Edoxaban in Daily Care Patients: Results from the DRESDEN NOAC REGISTRY.

IF 1.8
TH open : companion journal to thrombosis and haemostasis Pub Date : 2025-07-05 eCollection Date: 2025-01-01 DOI:10.1055/a-2635-4840
Luise Tittl, Christina Köhler, Sandra Marten, Christiane Naue, Jan Beyer-Westendorf
{"title":"Venous Thromboembolism Therapy with Edoxaban in Daily Care Patients: Results from the DRESDEN NOAC REGISTRY.","authors":"Luise Tittl, Christina Köhler, Sandra Marten, Christiane Naue, Jan Beyer-Westendorf","doi":"10.1055/a-2635-4840","DOIUrl":null,"url":null,"abstract":"<p><p>Direct oral anticoagulants such as edoxaban are standard of care in current treatment of venous thromboembolism (VTE). However, phase III trial data need confirmation in real-world settings. We extracted data from the prospective, noninterventional multiple-indication DRESDEN NOAC REGISTRY to evaluate outcome rates during VTE treatment with edoxaban. Patients were included in this analysis, if they had acute VTE and if patient enrolment and edoxaban initiation occurred within 30 days after VTE diagnosis. Patient characteristics, treatment persistence, and clinical outcomes were centrally adjudicated using standard definitions. Until December 31, 2023, 323 acute VTE patients (median age 67 years, 56.7% male) were enrolled and initiated edoxaban within 7.8 ± 4.9 days (mean) for isolated deep vein thrombosis (DVT) (57.6%) or pulmonary embolism (PE) ± DVT (42.4%). Mean duration of follow-up was 3.9 ± 1.9 years with a mean duration of edoxaban exposure of 1.5 ± 1.7 years. During ongoing edoxaban therapy, 3/323 patients (0.9%) experienced recurrent VTE (0.6/100 patient-years); 141/323 (43.7%) patients reported clinically relevant International Society on Thrombosis and Haemostasis (ISTH) nonmajor bleeding and 16 reported ISTH major bleeding (5.0%; 3.2/100 patient-years). Death was observed in 53 patients (4.1/100 patient-years). At 6 months, 78.2% were still taking edoxaban, 2% were electively switched to dose-reduced secondary prophylaxis with apixaban 2.5 mg twice a day or rivaroxaban 10 mg once daily. The remaining patients had a scheduled end of VTE treatment (11.4%) or were switched to nonedoxaban therapeutic anticoagulation (6.2%). Our results indicate effectiveness of edoxaban in acute VTE treatment with excellent persistence in the treatment and low rates of unplanned discontinuation. Bleeding was frequently observed, but rates of major bleeding were low and comparable to phase III data.</p>","PeriodicalId":94220,"journal":{"name":"TH open : companion journal to thrombosis and haemostasis","volume":"9 ","pages":"a26354840"},"PeriodicalIF":1.8000,"publicationDate":"2025-07-05","publicationTypes":"Journal Article","fieldsOfStudy":null,"isOpenAccess":false,"openAccessPdf":"https://www.ncbi.nlm.nih.gov/pmc/articles/PMC12265392/pdf/","citationCount":"0","resultStr":null,"platform":"Semanticscholar","paperid":null,"PeriodicalName":"TH open : companion journal to thrombosis and haemostasis","FirstCategoryId":"1085","ListUrlMain":"https://doi.org/10.1055/a-2635-4840","RegionNum":0,"RegionCategory":null,"ArticlePicture":[],"TitleCN":null,"AbstractTextCN":null,"PMCID":null,"EPubDate":"2025/1/1 0:00:00","PubModel":"eCollection","JCR":"","JCRName":"","Score":null,"Total":0}
引用次数: 0

Abstract

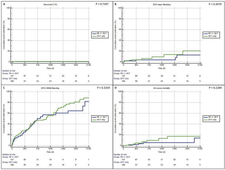
Direct oral anticoagulants such as edoxaban are standard of care in current treatment of venous thromboembolism (VTE). However, phase III trial data need confirmation in real-world settings. We extracted data from the prospective, noninterventional multiple-indication DRESDEN NOAC REGISTRY to evaluate outcome rates during VTE treatment with edoxaban. Patients were included in this analysis, if they had acute VTE and if patient enrolment and edoxaban initiation occurred within 30 days after VTE diagnosis. Patient characteristics, treatment persistence, and clinical outcomes were centrally adjudicated using standard definitions. Until December 31, 2023, 323 acute VTE patients (median age 67 years, 56.7% male) were enrolled and initiated edoxaban within 7.8 ± 4.9 days (mean) for isolated deep vein thrombosis (DVT) (57.6%) or pulmonary embolism (PE) ± DVT (42.4%). Mean duration of follow-up was 3.9 ± 1.9 years with a mean duration of edoxaban exposure of 1.5 ± 1.7 years. During ongoing edoxaban therapy, 3/323 patients (0.9%) experienced recurrent VTE (0.6/100 patient-years); 141/323 (43.7%) patients reported clinically relevant International Society on Thrombosis and Haemostasis (ISTH) nonmajor bleeding and 16 reported ISTH major bleeding (5.0%; 3.2/100 patient-years). Death was observed in 53 patients (4.1/100 patient-years). At 6 months, 78.2% were still taking edoxaban, 2% were electively switched to dose-reduced secondary prophylaxis with apixaban 2.5 mg twice a day or rivaroxaban 10 mg once daily. The remaining patients had a scheduled end of VTE treatment (11.4%) or were switched to nonedoxaban therapeutic anticoagulation (6.2%). Our results indicate effectiveness of edoxaban in acute VTE treatment with excellent persistence in the treatment and low rates of unplanned discontinuation. Bleeding was frequently observed, but rates of major bleeding were low and comparable to phase III data.

Abstract Image

Abstract Image

依多沙班在日常护理患者中的静脉血栓栓塞治疗:来自DRESDEN NOAC REGISTRY的结果。
直接口服抗凝剂,如依多沙班,是目前治疗静脉血栓栓塞(VTE)的标准护理。然而,III期试验数据需要在现实环境中得到确认。我们从前瞻性、非干预性、多指征的DRESDEN NOAC REGISTRY中提取数据,以评估依多沙班治疗静脉血栓栓塞的转归率。如果患者患有急性静脉血栓栓塞,并且在静脉血栓栓塞诊断后30天内患者入组并开始使用依多沙班,则纳入本分析。使用标准定义对患者特征、治疗持续性和临床结果进行集中判定。截至2023年12月31日,323例急性静脉血栓形成患者(中位年龄67岁,56.7%为男性)在7.8±4.9天(平均)内开始使用依多沙班治疗孤立性深静脉血栓形成(57.6%)或肺栓塞(PE)±DVT(42.4%)。平均随访时间为3.9±1.9年,平均依多沙班暴露时间为1.5±1.7年。在持续的依多沙班治疗期间,3/323例患者(0.9%)出现复发性静脉血栓栓塞(0.6/100患者-年);141/323(43.7%)患者报告了临床相关的国际血栓与止血学会(ISTH)非大出血,16例报告了ISTH大出血(5.0%;(3.2/100)。死亡53例(4.1/100患者-年)。在6个月时,78.2%的患者仍在服用依多沙班,2%的患者选择性地切换到剂量降低的二级预防,阿哌沙班2.5 mg每天2次或利伐沙班10 mg每天1次。其余患者按计划结束静脉血栓栓塞治疗(11.4%)或改用诺多沙班抗凝治疗(6.2%)。我们的研究结果表明,依多沙班在急性静脉血栓栓塞治疗中的有效性,具有良好的治疗持久性和低的意外停药率。经常观察到出血,但大出血率较低,与III期数据相当。
本文章由计算机程序翻译,如有差异,请以英文原文为准。
求助全文
约1分钟内获得全文 求助全文
来源期刊
自引率
0.00%
发文量
0
审稿时长
12 weeks
×
引用
GB/T 7714-2015
复制
MLA
复制
APA
复制
导出至
BibTeX EndNote RefMan NoteFirst NoteExpress
×
提示
您的信息不完整,为了账户安全,请先补充。
现在去补充
×
提示
您因"违规操作"
具体请查看互助需知
我知道了
×
提示
确定
请完成安全验证×
copy
已复制链接
快去分享给好友吧!
我知道了
右上角分享
点击右上角分享
0
联系我们:info@booksci.cn Book学术提供免费学术资源搜索服务,方便国内外学者检索中英文文献。致力于提供最便捷和优质的服务体验。 Copyright © 2023 布克学术 All rights reserved.
京ICP备2023020795号-1
ghs 京公网安备 11010802042870号
Book学术文献互助
Book学术文献互助群
群 号:604180095
Book学术官方微信