A Buccal Mucosal Oximeter Accurately Measures Arterial Oxyhemoglobin Saturation.

IF 1.5 Q4 ENGINEERING, BIOMEDICAL
Medical Devices-Evidence and Research Pub Date : 2025-07-11 eCollection Date: 2025-01-01 DOI:10.2147/MDER.S527510
Connor Snow, Shane Magnison-Benoit, Matiram Pun, Thomas R Tripp, Aimee Clarke, Sophie Berghmans, Bradley Hansen, Leo Transfiguracion, Saleema Adatia, Jean M Rawling, Steven Roy, Giovanni Di Simone, Ming-Lai Lai, Erin V Mosca, John E Remmers, Marc J Poulin
{"title":"A Buccal Mucosal Oximeter Accurately Measures Arterial Oxyhemoglobin Saturation.","authors":"Connor Snow, Shane Magnison-Benoit, Matiram Pun, Thomas R Tripp, Aimee Clarke, Sophie Berghmans, Bradley Hansen, Leo Transfiguracion, Saleema Adatia, Jean M Rawling, Steven Roy, Giovanni Di Simone, Ming-Lai Lai, Erin V Mosca, John E Remmers, Marc J Poulin","doi":"10.2147/MDER.S527510","DOIUrl":null,"url":null,"abstract":"<p><strong>Purpose: </strong>While arterial oxyhemoglobin saturation (SaO<sub>2</sub>) decreases during sleep in many patients with sleep apnea and pulmonary diseases, personalized oximeters suitable for multi-night monitoring of SpO<sub>2</sub> are not readily available. The present report describes a custom buccal mucosal intraoral oximeter that might provide the opportunity for such long-term monitoring given its strong accuracy in measuring SpO<sub>2</sub> over a range of clinically relevant hypoxemia.</p><p><strong>Patients and methods: </strong>The intraoral buccal mucosal oximeter was constructed by encapsulating a reflectance pulse oximeter in an overlay of the maxillary dentition. Accuracy was assessed during non-motion conditions in normal participants (n = 12) made progressively hypoxic by decreasing the partial pressure of end-tidal oxygen (PETO<sub>2</sub>). CO-oximeter values of SaO<sub>2</sub> from arterial blood constituted the \"gold standard\" for comparison with the buccal mucosal oximeter's values. The oximeter's pulse rate and an electrocardiogram (ECG) determined heart rate were also compared.</p><p><strong>Results: </strong>Analysis of 325 paired SaO<sub>2</sub> values from the CO-oximeter and buccal mucosal oximeter yielded the following: r = 0.95; bias = 0.72; and accuracy root-mean-square (A<sub>RMS</sub>) = 2.94%. Results from the pulse rate/ECG analysis were: r = 0.99; bias = 0.30; and A<sub>RMS</sub> = 2.08 bpm.</p><p><strong>Conclusion: </strong>These results reveal robust accuracy of the buccal mucosal oximeter measurement of SaO<sub>2</sub> and pulse rate, as shown by good agreement with a \"gold standard\" over a wide range of arterial hypoxemia. Such clinically acceptable accuracy indicates that this novel reflectance oximeter may prove useful in management of patients with sleep-induced hypoxemia by allowing for long-term monitoring of SaO<sub>2</sub>.</p>","PeriodicalId":47140,"journal":{"name":"Medical Devices-Evidence and Research","volume":"18 ","pages":"387-395"},"PeriodicalIF":1.5000,"publicationDate":"2025-07-11","publicationTypes":"Journal Article","fieldsOfStudy":null,"isOpenAccess":false,"openAccessPdf":"https://www.ncbi.nlm.nih.gov/pmc/articles/PMC12266342/pdf/","citationCount":"0","resultStr":null,"platform":"Semanticscholar","paperid":null,"PeriodicalName":"Medical Devices-Evidence and Research","FirstCategoryId":"1085","ListUrlMain":"https://doi.org/10.2147/MDER.S527510","RegionNum":0,"RegionCategory":null,"ArticlePicture":[],"TitleCN":null,"AbstractTextCN":null,"PMCID":null,"EPubDate":"2025/1/1 0:00:00","PubModel":"eCollection","JCR":"Q4","JCRName":"ENGINEERING, BIOMEDICAL","Score":null,"Total":0}
引用次数: 0

Abstract

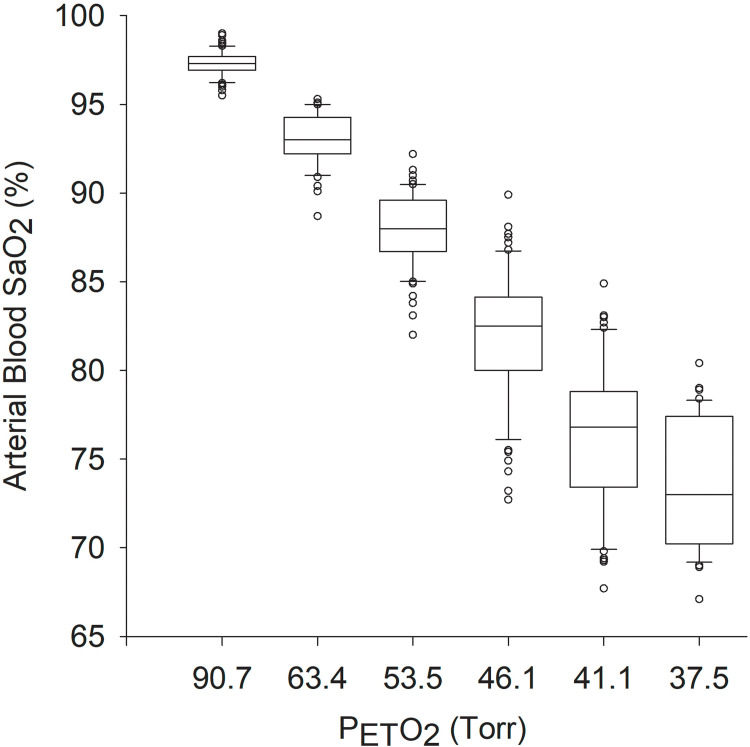
Purpose: While arterial oxyhemoglobin saturation (SaO2) decreases during sleep in many patients with sleep apnea and pulmonary diseases, personalized oximeters suitable for multi-night monitoring of SpO2 are not readily available. The present report describes a custom buccal mucosal intraoral oximeter that might provide the opportunity for such long-term monitoring given its strong accuracy in measuring SpO2 over a range of clinically relevant hypoxemia.

Patients and methods: The intraoral buccal mucosal oximeter was constructed by encapsulating a reflectance pulse oximeter in an overlay of the maxillary dentition. Accuracy was assessed during non-motion conditions in normal participants (n = 12) made progressively hypoxic by decreasing the partial pressure of end-tidal oxygen (PETO2). CO-oximeter values of SaO2 from arterial blood constituted the "gold standard" for comparison with the buccal mucosal oximeter's values. The oximeter's pulse rate and an electrocardiogram (ECG) determined heart rate were also compared.

Results: Analysis of 325 paired SaO2 values from the CO-oximeter and buccal mucosal oximeter yielded the following: r = 0.95; bias = 0.72; and accuracy root-mean-square (ARMS) = 2.94%. Results from the pulse rate/ECG analysis were: r = 0.99; bias = 0.30; and ARMS = 2.08 bpm.

Conclusion: These results reveal robust accuracy of the buccal mucosal oximeter measurement of SaO2 and pulse rate, as shown by good agreement with a "gold standard" over a wide range of arterial hypoxemia. Such clinically acceptable accuracy indicates that this novel reflectance oximeter may prove useful in management of patients with sleep-induced hypoxemia by allowing for long-term monitoring of SaO2.

Abstract Image

Abstract Image

Abstract Image

口腔黏膜血氧仪准确测量动脉血红蛋白氧饱和度。
目的:虽然许多睡眠呼吸暂停和肺部疾病患者在睡眠期间动脉氧合血红蛋白饱和度(SaO2)下降,但适合多夜监测SpO2的个性化血氧仪并不容易获得。本报告描述了一种定制的口腔黏膜口内血氧仪,由于其在临床相关低氧血症范围内测量SpO2的准确性很高,可能为这种长期监测提供了机会。患者和方法:口腔内颊粘膜血氧计是通过将反射脉搏血氧计封装在上颌牙列的覆盖层中构建的。在正常参与者(n = 12)的非运动条件下,通过降低潮末氧分压(PETO2)逐渐缺氧,评估准确性。动脉血中SaO2的co -血氧计值是与口腔黏膜血氧计值比较的“金标准”。血氧计的脉搏率和心电图(ECG)测定的心率也进行比较。结果:对co -血氧仪和口腔黏膜血氧仪测得的325对SaO2值进行分析,结果如下:r = 0.95;偏倚= 0.72;准确率均方根(ARMS) = 2.94%。脉搏率/心电图分析结果:r = 0.99;偏差= 0.30;和ARMS = 2.08 bpm。结论:这些结果显示口腔黏膜血氧仪测量SaO2和脉搏率具有很强的准确性,在大范围动脉低氧血症中与“金标准”有很好的一致性。这种临床可接受的准确性表明,这种新型反射血氧仪可以通过长期监测SaO2,在睡眠性低氧血症患者的管理中证明是有用的。
本文章由计算机程序翻译,如有差异,请以英文原文为准。
求助全文
约1分钟内获得全文 求助全文
来源期刊
Medical Devices-Evidence and Research
Medical Devices-Evidence and Research ENGINEERING, BIOMEDICAL-
CiteScore
2.80
自引率
0.00%
发文量
41
审稿时长
16 weeks
×
引用
GB/T 7714-2015
复制
MLA
复制
APA
复制
导出至
BibTeX EndNote RefMan NoteFirst NoteExpress
×
提示
您的信息不完整,为了账户安全,请先补充。
现在去补充
×
提示
您因"违规操作"
具体请查看互助需知
我知道了
×
提示
确定
请完成安全验证×
copy
已复制链接
快去分享给好友吧!
我知道了
右上角分享
点击右上角分享
0
联系我们:info@booksci.cn Book学术提供免费学术资源搜索服务,方便国内外学者检索中英文文献。致力于提供最便捷和优质的服务体验。 Copyright © 2023 布克学术 All rights reserved.
京ICP备2023020795号-1
ghs 京公网安备 11010802042870号
Book学术文献互助
Book学术文献互助群
群 号:604180095
Book学术官方微信