Quantitative Muscle Ultrasound: A Non-Invasive Biomarker for Monitoring Duchenne Muscular Dystrophy.

IF 3.1 3区 医学 Q2 CLINICAL NEUROLOGY
Muscle & Nerve Pub Date : 2025-10-01 Epub Date: 2025-07-16 DOI:10.1002/mus.28469
Yu Jin Im, Yumi Choe, Jiwon Lee, Jeehun Lee, Jong Geol Do, Jeong-Yi Kwon
{"title":"Quantitative Muscle Ultrasound: A Non-Invasive Biomarker for Monitoring Duchenne Muscular Dystrophy.","authors":"Yu Jin Im, Yumi Choe, Jiwon Lee, Jeehun Lee, Jong Geol Do, Jeong-Yi Kwon","doi":"10.1002/mus.28469","DOIUrl":null,"url":null,"abstract":"<p><strong>Introduction/aims: </strong>Quantitative muscle ultrasound (QMUS) shows promise as a non-invasive biomarker for monitoring functional status in Duchenne muscular dystrophy (DMD). We evaluated the correlation between QMUS in various muscles and functional capacity assessments. Additionally, we compared the utility of composite QMUS scores as a comprehensive measure of disease progression to that of single-muscle analyses.</p><p><strong>Methods: </strong>We analyzed baseline data from an ongoing prospective study involving 23 patients with DMD (aged 5-18 years; mean 10.7; SD 4.2). High-resolution ultrasound scans of muscle groups across the upper and lower limbs, head and neck, and diaphragm were assessed for muscle echogenicity using mean grayscale values (MGV). Functional capacity assessments included the 6-min walk test (6MWT), North Star Ambulatory Assessment (NSAA), Performance of Upper Limb (PUL) module, timed function tests, quantitative muscle strength tests, and respiratory muscle strength tests.</p><p><strong>Results: </strong>The composite MGV for upper and lower limbs demonstrated moderate to strong negative correlations with the 6MWT and NSAA scores (correlation coefficient [CC]: -0.44 to -0.74; p < 0.01) and strong to very strong positive correlations with rise-from-floor, 4-stair climb, and 10-m walk/run times (CC: 0.65 to 0.87; p < 0.01). For upper limb function, the MGV of the flexor carpi radialis muscle was negatively correlated with PUL scores (CC = -0.35, p = 0.02). However, no significant correlations were observed between QMUS parameters and muscle strength test (p > 0.05).</p><p><strong>Discussion: </strong>QMUS offers a non-invasive method for assessing muscle changes and tracking disease progression in DMD.</p><p><strong>Trial registration: </strong>ClinicalTrials.gov identifier: NCT05249361.</p>","PeriodicalId":18968,"journal":{"name":"Muscle & Nerve","volume":" ","pages":"606-615"},"PeriodicalIF":3.1000,"publicationDate":"2025-10-01","publicationTypes":"Journal Article","fieldsOfStudy":null,"isOpenAccess":false,"openAccessPdf":"https://www.ncbi.nlm.nih.gov/pmc/articles/PMC12435151/pdf/","citationCount":"0","resultStr":null,"platform":"Semanticscholar","paperid":null,"PeriodicalName":"Muscle & Nerve","FirstCategoryId":"3","ListUrlMain":"https://doi.org/10.1002/mus.28469","RegionNum":3,"RegionCategory":"医学","ArticlePicture":[],"TitleCN":null,"AbstractTextCN":null,"PMCID":null,"EPubDate":"2025/7/16 0:00:00","PubModel":"Epub","JCR":"Q2","JCRName":"CLINICAL NEUROLOGY","Score":null,"Total":0}
引用次数: 0

Abstract

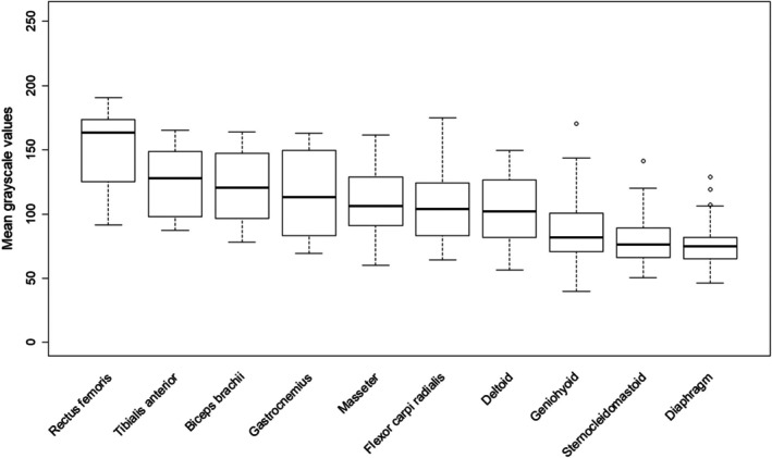
Introduction/aims: Quantitative muscle ultrasound (QMUS) shows promise as a non-invasive biomarker for monitoring functional status in Duchenne muscular dystrophy (DMD). We evaluated the correlation between QMUS in various muscles and functional capacity assessments. Additionally, we compared the utility of composite QMUS scores as a comprehensive measure of disease progression to that of single-muscle analyses.

Methods: We analyzed baseline data from an ongoing prospective study involving 23 patients with DMD (aged 5-18 years; mean 10.7; SD 4.2). High-resolution ultrasound scans of muscle groups across the upper and lower limbs, head and neck, and diaphragm were assessed for muscle echogenicity using mean grayscale values (MGV). Functional capacity assessments included the 6-min walk test (6MWT), North Star Ambulatory Assessment (NSAA), Performance of Upper Limb (PUL) module, timed function tests, quantitative muscle strength tests, and respiratory muscle strength tests.

Results: The composite MGV for upper and lower limbs demonstrated moderate to strong negative correlations with the 6MWT and NSAA scores (correlation coefficient [CC]: -0.44 to -0.74; p < 0.01) and strong to very strong positive correlations with rise-from-floor, 4-stair climb, and 10-m walk/run times (CC: 0.65 to 0.87; p < 0.01). For upper limb function, the MGV of the flexor carpi radialis muscle was negatively correlated with PUL scores (CC = -0.35, p = 0.02). However, no significant correlations were observed between QMUS parameters and muscle strength test (p > 0.05).

Discussion: QMUS offers a non-invasive method for assessing muscle changes and tracking disease progression in DMD.

Trial registration: ClinicalTrials.gov identifier: NCT05249361.

Abstract Image

Abstract Image

Abstract Image

定量肌肉超声:一种监测杜氏肌营养不良的非侵入性生物标志物。
简介/目的:定量肌肉超声(QMUS)有望成为监测杜氏肌营养不良(DMD)功能状态的非侵入性生物标志物。我们评估了各种肌肉的QMUS与功能能力评估之间的相关性。此外,我们比较了综合QMUS评分作为疾病进展的综合衡量指标与单一肌肉分析的效用。方法:我们分析了一项正在进行的前瞻性研究的基线数据,该研究涉及23例DMD患者(年龄5-18岁;意思是10.7;SD 4.2)。采用平均灰度值(MGV)对上肢、下肢、头颈部和膈肌群进行高分辨率超声扫描,评估肌肉回声性。功能能力评估包括6分钟步行测试(6MWT)、北极星动态评估(NSAA)、上肢功能测试(PUL)模块、定时功能测试、定量肌力测试和呼吸肌力测试。结果:上肢和下肢的复合MGV与6MWT和NSAA评分呈中至强负相关(相关系数[CC]: -0.44 ~ -0.74;p 0.05)。讨论:QMUS提供了一种评估肌肉变化和追踪DMD疾病进展的非侵入性方法。试验注册:ClinicalTrials.gov标识符:NCT05249361。
本文章由计算机程序翻译,如有差异,请以英文原文为准。
求助全文
约1分钟内获得全文 求助全文
来源期刊
Muscle & Nerve
Muscle & Nerve 医学-临床神经学
CiteScore
6.40
自引率
5.90%
发文量
287
审稿时长
3-6 weeks
期刊介绍: Muscle & Nerve is an international and interdisciplinary publication of original contributions, in both health and disease, concerning studies of the muscle, the neuromuscular junction, the peripheral motor, sensory and autonomic neurons, and the central nervous system where the behavior of the peripheral nervous system is clarified. Appearing monthly, Muscle & Nerve publishes clinical studies and clinically relevant research reports in the fields of anatomy, biochemistry, cell biology, electrophysiology and electrodiagnosis, epidemiology, genetics, immunology, pathology, pharmacology, physiology, toxicology, and virology. The Journal welcomes articles and reports on basic clinical electrophysiology and electrodiagnosis. We expedite some papers dealing with timely topics to keep up with the fast-moving pace of science, based on the referees'' recommendation.
×
引用
GB/T 7714-2015
复制
MLA
复制
APA
复制
导出至
BibTeX EndNote RefMan NoteFirst NoteExpress
×
提示
您的信息不完整,为了账户安全,请先补充。
现在去补充
×
提示
您因"违规操作"
具体请查看互助需知
我知道了
×
提示
确定
请完成安全验证×
copy
已复制链接
快去分享给好友吧!
我知道了
右上角分享
点击右上角分享
0
联系我们:info@booksci.cn Book学术提供免费学术资源搜索服务,方便国内外学者检索中英文文献。致力于提供最便捷和优质的服务体验。 Copyright © 2023 布克学术 All rights reserved.
京ICP备2023020795号-1
ghs 京公网安备 11010802042870号
Book学术文献互助
Book学术文献互助群
群 号:604180095
Book学术官方微信