Multi-transcriptomics predicts clinical outcome in systemically untreated breast cancer patients with extensive follow-up.

IF 5.6 1区 医学 Q1 Medicine
Thi T N Do, Ines Block, Mark Burton, Kristina P Sørensen, Martin J Larsen, Anne Marie Bak Jylling, Bent Ejlertsen, Anne-Vibeke Lænkholm, Qihua Tan, Torben A Kruse, Mads Thomassen
{"title":"Multi-transcriptomics predicts clinical outcome in systemically untreated breast cancer patients with extensive follow-up.","authors":"Thi T N Do, Ines Block, Mark Burton, Kristina P Sørensen, Martin J Larsen, Anne Marie Bak Jylling, Bent Ejlertsen, Anne-Vibeke Lænkholm, Qihua Tan, Torben A Kruse, Mads Thomassen","doi":"10.1186/s13058-025-02061-2","DOIUrl":null,"url":null,"abstract":"<p><strong>Background: </strong>Prognostic tools for determining patients with indolent breast cancers (BCs) are far from optimal, leading to extensive overtreatment. Several studies have demonstrated mRNAs, lncRNAs and miRNAs to have prognostic potential in BC. Because mRNAs, lncRNAs, and miRNAs capture distinct transcriptomic information, we hypothesized that combining them would improve classification performance.</p><p><strong>Methods: </strong>Our pair-matched design study included fresh frozen primary tumor samples from 160 lymph node negative and systemically untreated BC patients of which 80 developed recurrence while 80 remained recurrence-free (mean follow-up of 20.9 years). We integrated three classes of RNA and subsequently performed classification using seven machine learning methods followed by a voting scheme.</p><p><strong>Results: </strong>Under the criteria of ≥ 90% sensitivity, individual classifications resulted in specificities ranging from 74-91% for the integrated dataset and 56-66%, 58-71% and 69-86% for mRNAs, lncRNAs and miRNAs individually. The specificity level for the multi-transcriptomic dataset was 85% after voting while it was 38%, 48% and 82% for mRNAs, lncRNAs and miRNAs, respectively. In the clinical setting, very high sensitivity may be requested. In the most stringent clinical setting with a sensitivity of 99%, the integrated dataset also outperformed the others with a specificity of 41% compared to 0%, 9% and 28% for mRNAs, lncRNAs and miRNAs, respectively.</p><p><strong>Conclusion: </strong>Our results strongly suggest an improvement of prognostic power for classification using an integrated dataset compared to individual classes of RNA and thus encourage researches to opt for an integration of datasets rather than analyzing them separately.</p>","PeriodicalId":49227,"journal":{"name":"Breast Cancer Research","volume":"27 1","pages":"133"},"PeriodicalIF":5.6000,"publicationDate":"2025-07-15","publicationTypes":"Journal Article","fieldsOfStudy":null,"isOpenAccess":false,"openAccessPdf":"https://www.ncbi.nlm.nih.gov/pmc/articles/PMC12261547/pdf/","citationCount":"0","resultStr":null,"platform":"Semanticscholar","paperid":null,"PeriodicalName":"Breast Cancer Research","FirstCategoryId":"3","ListUrlMain":"https://doi.org/10.1186/s13058-025-02061-2","RegionNum":1,"RegionCategory":"医学","ArticlePicture":[],"TitleCN":null,"AbstractTextCN":null,"PMCID":null,"EPubDate":"","PubModel":"","JCR":"Q1","JCRName":"Medicine","Score":null,"Total":0}
引用次数: 0

Abstract

Background: Prognostic tools for determining patients with indolent breast cancers (BCs) are far from optimal, leading to extensive overtreatment. Several studies have demonstrated mRNAs, lncRNAs and miRNAs to have prognostic potential in BC. Because mRNAs, lncRNAs, and miRNAs capture distinct transcriptomic information, we hypothesized that combining them would improve classification performance.

Methods: Our pair-matched design study included fresh frozen primary tumor samples from 160 lymph node negative and systemically untreated BC patients of which 80 developed recurrence while 80 remained recurrence-free (mean follow-up of 20.9 years). We integrated three classes of RNA and subsequently performed classification using seven machine learning methods followed by a voting scheme.

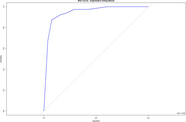
Results: Under the criteria of ≥ 90% sensitivity, individual classifications resulted in specificities ranging from 74-91% for the integrated dataset and 56-66%, 58-71% and 69-86% for mRNAs, lncRNAs and miRNAs individually. The specificity level for the multi-transcriptomic dataset was 85% after voting while it was 38%, 48% and 82% for mRNAs, lncRNAs and miRNAs, respectively. In the clinical setting, very high sensitivity may be requested. In the most stringent clinical setting with a sensitivity of 99%, the integrated dataset also outperformed the others with a specificity of 41% compared to 0%, 9% and 28% for mRNAs, lncRNAs and miRNAs, respectively.

Conclusion: Our results strongly suggest an improvement of prognostic power for classification using an integrated dataset compared to individual classes of RNA and thus encourage researches to opt for an integration of datasets rather than analyzing them separately.

Abstract Image

Abstract Image

Abstract Image

多转录组学预测未经系统治疗的乳腺癌患者广泛随访的临床结果。
背景:用于确定惰性乳腺癌(BCs)患者的预后工具远不是最佳的,导致广泛的过度治疗。一些研究已经证明mrna、lncrna和mirna在BC中具有预后潜力。由于mrna、lncrna和mirna捕获不同的转录组信息,我们假设将它们结合起来可以提高分类性能。方法:我们的配对设计研究包括来自160例淋巴结阴性和全身未经治疗的BC患者的新鲜冷冻原发肿瘤样本,其中80例复发,80例无复发(平均随访20.9年)。我们整合了三类RNA,随后使用7种机器学习方法和投票方案进行分类。结果:在灵敏度≥90%的标准下,单个分类的结果表明,综合数据集的特异性为74-91%,mrna、lncRNAs和miRNAs的特异性分别为56-66%、58-71%和69-86%。投票后,多转录组数据集的特异性水平为85%,而mrna、lncrna和mirna的特异性水平分别为38%、48%和82%。在临床环境中,可能需要非常高的敏感性。在最严格的临床环境中,该集成数据集的灵敏度为99%,其特异性为41%,而mrna、lncRNAs和miRNAs的特异性分别为0%、9%和28%。结论:我们的研究结果强烈表明,与单个类别的RNA相比,使用集成数据集进行分类的预后能力有所提高,因此鼓励研究人员选择集成数据集,而不是单独分析它们。
本文章由计算机程序翻译,如有差异,请以英文原文为准。
求助全文
约1分钟内获得全文 求助全文
来源期刊
CiteScore
12.00
自引率
0.00%
发文量
76
审稿时长
12 weeks
期刊介绍: Breast Cancer Research, an international, peer-reviewed online journal, publishes original research, reviews, editorials, and reports. It features open-access research articles of exceptional interest across all areas of biology and medicine relevant to breast cancer. This includes normal mammary gland biology, with a special emphasis on the genetic, biochemical, and cellular basis of breast cancer. In addition to basic research, the journal covers preclinical, translational, and clinical studies with a biological basis, including Phase I and Phase II trials.
×
引用
GB/T 7714-2015
复制
MLA
复制
APA
复制
导出至
BibTeX EndNote RefMan NoteFirst NoteExpress
×
提示
您的信息不完整,为了账户安全,请先补充。
现在去补充
×
提示
您因"违规操作"
具体请查看互助需知
我知道了
×
提示
确定
请完成安全验证×
copy
已复制链接
快去分享给好友吧!
我知道了
右上角分享
点击右上角分享
0
联系我们:info@booksci.cn Book学术提供免费学术资源搜索服务,方便国内外学者检索中英文文献。致力于提供最便捷和优质的服务体验。 Copyright © 2023 布克学术 All rights reserved.
京ICP备2023020795号-1
ghs 京公网安备 11010802042870号
Book学术文献互助
Book学术文献互助群
群 号:604180095
Book学术官方微信