Balance rehabilitation and Long Covid syndrome: effectiveness of thermal water treatment vs. home-based program.

IF 1.9 Q3 REHABILITATION
Frontiers in rehabilitation sciences Pub Date : 2025-06-27 eCollection Date: 2025-01-01 DOI:10.3389/fresc.2025.1588940
Maria Chiara Maccarone, Paola Contessa, Edoardo Passarotto, Gianluca Regazzo, Stefano Masiero
{"title":"Balance rehabilitation and Long Covid syndrome: effectiveness of thermal water treatment vs. home-based program.","authors":"Maria Chiara Maccarone, Paola Contessa, Edoardo Passarotto, Gianluca Regazzo, Stefano Masiero","doi":"10.3389/fresc.2025.1588940","DOIUrl":null,"url":null,"abstract":"<p><strong>Introduction: </strong>Balance concerns are increasingly recognized as a common presentation in patients with Long Covid. This study investigates the effects of two distinct rehabilitation programs on balance in a cohort of sixty participants experiencing medium-to-long-term symptoms following SARS-CoV-2 infection.</p><p><strong>Methods: </strong>Individuals were enrolled and randomly assigned to either a spa resort rehabilitation program or a supervised home-based rehabilitation program. The study assessed balance and proprioception by analyzing the center of pressure trajectory during a standing task performed with eyes open and closed before, after, and at a 3- and 6-month follow-up after the rehabilitation program.</p><p><strong>Results: </strong>Results indicated that, right after rehabilitation, participants who enrolled in the home-based program demonstrated more significant improvements in mean stay time and in the standard deviation of oscillations in the antero-posterior direction than those who enrolled in a spa-resort program. On the other hand, at the 3-month follow-up, individuals who enrolled in the spa-resort program exhibited improvements in the standard deviation of oscillations in the antero-posterior direction, indicating ongoing benefits over time.</p><p><strong>Discussion: </strong>These findings suggest that appropriate rehabilitation programs, whether at home or in spa resorts, can contribute to enhancing overall physical function in these patients.</p>","PeriodicalId":73102,"journal":{"name":"Frontiers in rehabilitation sciences","volume":"6 ","pages":"1588940"},"PeriodicalIF":1.9000,"publicationDate":"2025-06-27","publicationTypes":"Journal Article","fieldsOfStudy":null,"isOpenAccess":false,"openAccessPdf":"https://www.ncbi.nlm.nih.gov/pmc/articles/PMC12245871/pdf/","citationCount":"0","resultStr":null,"platform":"Semanticscholar","paperid":null,"PeriodicalName":"Frontiers in rehabilitation sciences","FirstCategoryId":"1085","ListUrlMain":"https://doi.org/10.3389/fresc.2025.1588940","RegionNum":0,"RegionCategory":null,"ArticlePicture":[],"TitleCN":null,"AbstractTextCN":null,"PMCID":null,"EPubDate":"2025/1/1 0:00:00","PubModel":"eCollection","JCR":"Q3","JCRName":"REHABILITATION","Score":null,"Total":0}
引用次数: 0

Abstract

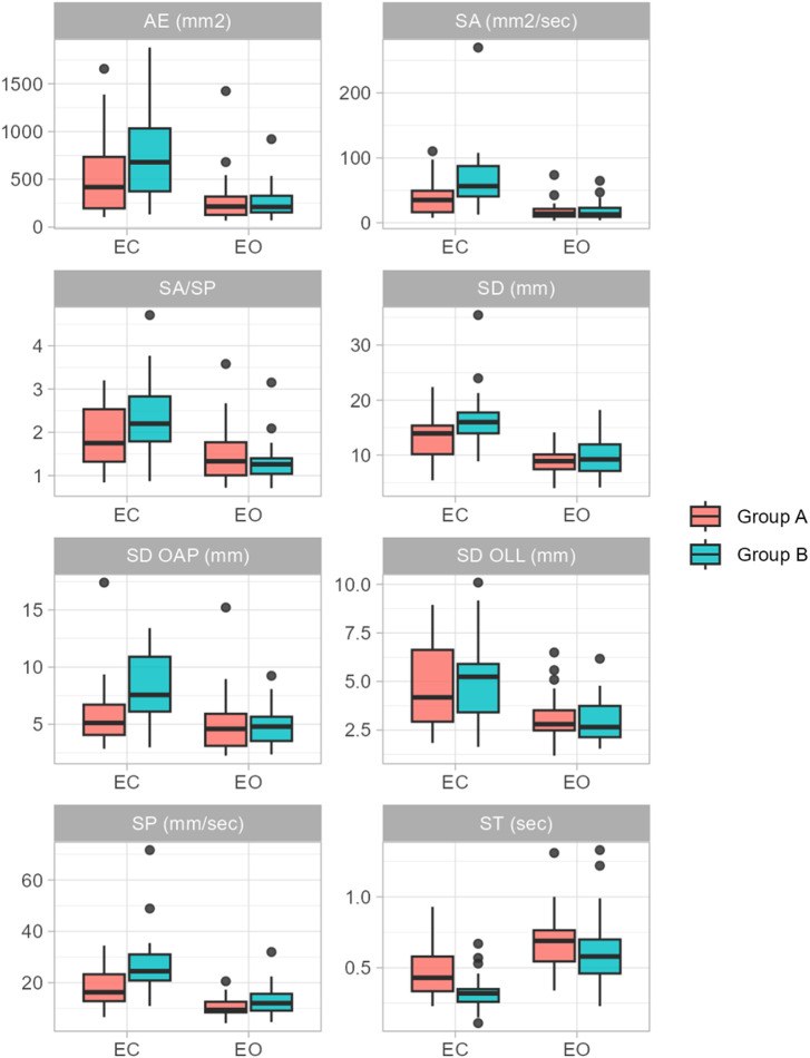
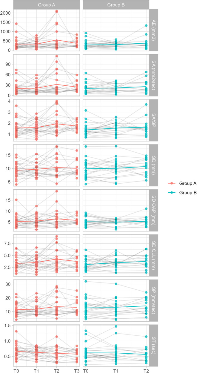
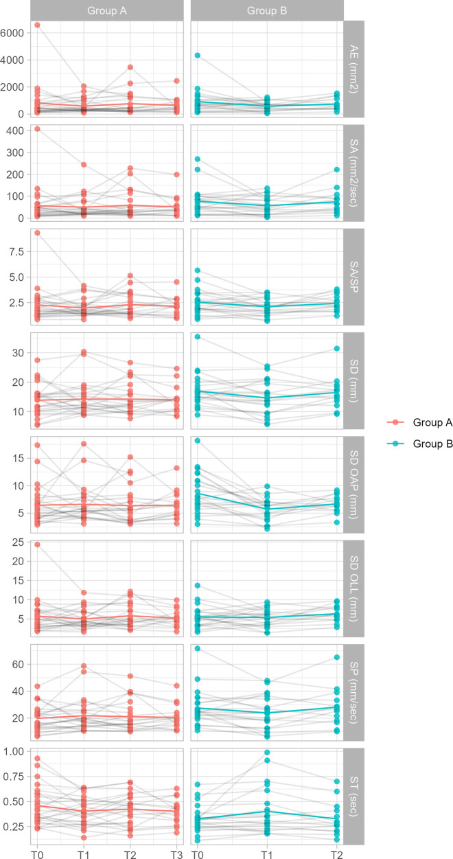
Introduction: Balance concerns are increasingly recognized as a common presentation in patients with Long Covid. This study investigates the effects of two distinct rehabilitation programs on balance in a cohort of sixty participants experiencing medium-to-long-term symptoms following SARS-CoV-2 infection.

Methods: Individuals were enrolled and randomly assigned to either a spa resort rehabilitation program or a supervised home-based rehabilitation program. The study assessed balance and proprioception by analyzing the center of pressure trajectory during a standing task performed with eyes open and closed before, after, and at a 3- and 6-month follow-up after the rehabilitation program.

Results: Results indicated that, right after rehabilitation, participants who enrolled in the home-based program demonstrated more significant improvements in mean stay time and in the standard deviation of oscillations in the antero-posterior direction than those who enrolled in a spa-resort program. On the other hand, at the 3-month follow-up, individuals who enrolled in the spa-resort program exhibited improvements in the standard deviation of oscillations in the antero-posterior direction, indicating ongoing benefits over time.

Discussion: These findings suggest that appropriate rehabilitation programs, whether at home or in spa resorts, can contribute to enhancing overall physical function in these patients.

Abstract Image

Abstract Image

Abstract Image

平衡康复和长冠综合征:热水治疗与家庭项目的有效性。
简介:平衡问题越来越被认为是长冠患者的常见表现。本研究调查了两种不同的康复方案对60名在SARS-CoV-2感染后出现中长期症状的参与者的平衡的影响。方法:个体被招募并随机分配到温泉度假村康复计划或有监督的家庭康复计划。该研究通过分析在康复计划之前、之后和3个月和6个月的随访期间睁眼和闭眼站立任务时的压力中心轨迹来评估平衡和本体感觉。结果:结果表明,在康复后,参加以家庭为基础的项目的参与者在平均停留时间和前后方向振荡的标准差方面比参加水疗项目的参与者表现出更显著的改善。另一方面,在3个月的随访中,参加水疗度假村项目的个体在前后方向振荡的标准差方面表现出改善,这表明随着时间的推移,这种改善正在持续。讨论:这些发现表明,适当的康复计划,无论是在家里还是在水疗胜地,都有助于提高这些患者的整体身体功能。
本文章由计算机程序翻译,如有差异,请以英文原文为准。
求助全文
约1分钟内获得全文 求助全文
来源期刊
CiteScore
1.10
自引率
0.00%
发文量
0
×
引用
GB/T 7714-2015
复制
MLA
复制
APA
复制
导出至
BibTeX EndNote RefMan NoteFirst NoteExpress
×
提示
您的信息不完整,为了账户安全,请先补充。
现在去补充
×
提示
您因"违规操作"
具体请查看互助需知
我知道了
×
提示
确定
请完成安全验证×
copy
已复制链接
快去分享给好友吧!
我知道了
右上角分享
点击右上角分享
0
联系我们:info@booksci.cn Book学术提供免费学术资源搜索服务,方便国内外学者检索中英文文献。致力于提供最便捷和优质的服务体验。 Copyright © 2023 布克学术 All rights reserved.
京ICP备2023020795号-1
ghs 京公网安备 11010802042870号
Book学术文献互助
Book学术文献互助群
群 号:604180095
Book学术官方微信