Azacitidine followed by R-GDP in transplant-ineligible relapsed/refractory diffuse large B-cell lymphoma: preliminary results from a multicenter, phase II study.

IF 3.1 3区 医学 Q2 HEMATOLOGY
Therapeutic Advances in Hematology Pub Date : 2025-07-11 eCollection Date: 2025-01-01 DOI:10.1177/20406207251349361
Dong Hyun Kim, Jee Hyun Kong, Junshik Hong, Ja Min Byun, Dong-Yeop Shin, Youngil Koh, Inho Kim, Jinny Park, Young Rok Do, Jeong-A Kim, Won Seog Kim, Ho-Jin Shin, Sung-Soo Yoon
{"title":"Azacitidine followed by R-GDP in transplant-ineligible relapsed/refractory diffuse large B-cell lymphoma: preliminary results from a multicenter, phase II study.","authors":"Dong Hyun Kim, Jee Hyun Kong, Junshik Hong, Ja Min Byun, Dong-Yeop Shin, Youngil Koh, Inho Kim, Jinny Park, Young Rok Do, Jeong-A Kim, Won Seog Kim, Ho-Jin Shin, Sung-Soo Yoon","doi":"10.1177/20406207251349361","DOIUrl":null,"url":null,"abstract":"<p><strong>Background: </strong>Epigenetic priming prior to chemotherapy represents a promising treatment strategy for refractory or relapsed diffuse large B-cell lymphoma (R/R DLBCL). We conducted a phase II trial to evaluate the efficacy and safety of azacitidine in combination with R-GDP (rituximab/gemcitabine/dexamethasone/cisplatin) in transplant-ineligible R/R DLBCL.</p><p><strong>Methods: </strong>Fifteen patients were enrolled and treated with azacitidine and R-GDP regimen (NCT03719989). Azacitidine was administered intravenously at a dose of 25 mg/m<sup>2</sup>/day for 5 days. Each cycle consisted of 21 days, with patients receiving up to a maximum of six cycles. The primary endpoint was the objective response rate, and the secondary objectives were toxicity, progression-free survival (PFS), and overall survival (OS).</p><p><strong>Results: </strong>Overall, 15 patients were enrolled in the study from March 2019 to August 2023, and the median age was 64 years (range: 41-75). The objective response rate was 66.7% with a complete response rate of 53.3%. The most common grade 3 or higher adverse events were hematologic toxicities, including neutropenia (66.7%) and thrombocytopenia (53.3%). Grade 3 or higher non-hematologic toxicities were rare, and most adverse events were transient and manageable. During a median follow-up of 15.8 months, five patients died, all from DLBCL. The median PFS was 12.6 months, while the median OS was not reached.</p><p><strong>Conclusion: </strong>Our study suggests that azacitidine followed by R-GDP is an effective and safe strategy for transplant-ineligible patients with R/R DLBCL. This represents the first phase II study to demonstrate the potential of epigenetic priming with azacitidine to enhance chemosensitivity in this patient population.<b>Trial registration:</b> ClinicalTrials.gov identifier: NCT03719989.</p>","PeriodicalId":23048,"journal":{"name":"Therapeutic Advances in Hematology","volume":"16 ","pages":"20406207251349361"},"PeriodicalIF":3.1000,"publicationDate":"2025-07-11","publicationTypes":"Journal Article","fieldsOfStudy":null,"isOpenAccess":false,"openAccessPdf":"https://www.ncbi.nlm.nih.gov/pmc/articles/PMC12254662/pdf/","citationCount":"0","resultStr":null,"platform":"Semanticscholar","paperid":null,"PeriodicalName":"Therapeutic Advances in Hematology","FirstCategoryId":"3","ListUrlMain":"https://doi.org/10.1177/20406207251349361","RegionNum":3,"RegionCategory":"医学","ArticlePicture":[],"TitleCN":null,"AbstractTextCN":null,"PMCID":null,"EPubDate":"2025/1/1 0:00:00","PubModel":"eCollection","JCR":"Q2","JCRName":"HEMATOLOGY","Score":null,"Total":0}
引用次数: 0

Abstract

Background: Epigenetic priming prior to chemotherapy represents a promising treatment strategy for refractory or relapsed diffuse large B-cell lymphoma (R/R DLBCL). We conducted a phase II trial to evaluate the efficacy and safety of azacitidine in combination with R-GDP (rituximab/gemcitabine/dexamethasone/cisplatin) in transplant-ineligible R/R DLBCL.

Methods: Fifteen patients were enrolled and treated with azacitidine and R-GDP regimen (NCT03719989). Azacitidine was administered intravenously at a dose of 25 mg/m2/day for 5 days. Each cycle consisted of 21 days, with patients receiving up to a maximum of six cycles. The primary endpoint was the objective response rate, and the secondary objectives were toxicity, progression-free survival (PFS), and overall survival (OS).

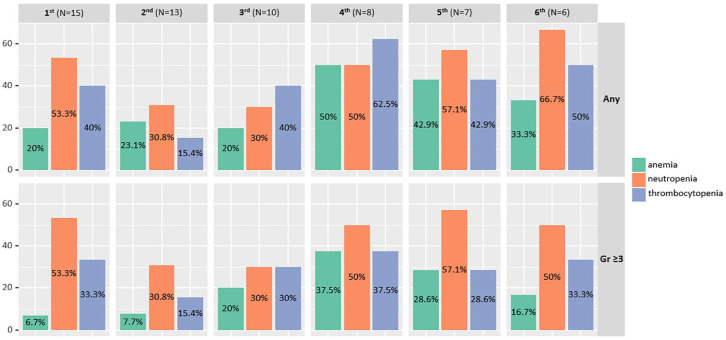
Results: Overall, 15 patients were enrolled in the study from March 2019 to August 2023, and the median age was 64 years (range: 41-75). The objective response rate was 66.7% with a complete response rate of 53.3%. The most common grade 3 or higher adverse events were hematologic toxicities, including neutropenia (66.7%) and thrombocytopenia (53.3%). Grade 3 or higher non-hematologic toxicities were rare, and most adverse events were transient and manageable. During a median follow-up of 15.8 months, five patients died, all from DLBCL. The median PFS was 12.6 months, while the median OS was not reached.

Conclusion: Our study suggests that azacitidine followed by R-GDP is an effective and safe strategy for transplant-ineligible patients with R/R DLBCL. This represents the first phase II study to demonstrate the potential of epigenetic priming with azacitidine to enhance chemosensitivity in this patient population.Trial registration: ClinicalTrials.gov identifier: NCT03719989.

Abstract Image

Abstract Image

Abstract Image

阿扎胞苷加R-GDP治疗移植不合格复发/难治性弥漫性大b细胞淋巴瘤:一项多中心II期研究的初步结果
背景:化疗前的表观遗传启动是治疗难治性或复发性弥漫性大b细胞淋巴瘤(R/R DLBCL)的一种有希望的治疗策略。我们进行了一项II期试验,以评估阿扎胞苷联合R- gdp(利妥昔单抗/吉西他滨/地塞米松/顺铂)治疗移植不符合条件的R/R DLBCL的疗效和安全性。方法:纳入15例患者,采用阿扎胞苷+ R-GDP方案(NCT03719989)治疗。静脉滴注阿扎胞苷,剂量为25mg /m2/天,连续5天。每个周期由21天组成,患者最多接受6个周期。主要终点是客观缓解率,次要目标是毒性、无进展生存期(PFS)和总生存期(OS)。结果:2019年3月至2023年8月,共有15例患者入组,中位年龄为64岁(范围:41-75岁)。客观有效率为66.7%,完全有效率为53.3%。最常见的3级或以上不良事件是血液学毒性,包括中性粒细胞减少(66.7%)和血小板减少(53.3%)。3级或更高的非血液学毒性是罕见的,大多数不良事件是短暂的和可控的。在15.8个月的中位随访期间,5名患者死亡,全部死于DLBCL。中位PFS为12.6个月,而中位OS未达到。结论:我们的研究表明,阿扎胞苷加R- gdp是一种有效且安全的策略,适用于不适合移植的R/R DLBCL患者。这代表了第一个II期研究,以证明阿扎胞苷表观遗传启动的潜力,以提高该患者群体的化疗敏感性。试验注册:ClinicalTrials.gov标识符:NCT03719989。
本文章由计算机程序翻译,如有差异,请以英文原文为准。
求助全文
约1分钟内获得全文 求助全文
来源期刊
CiteScore
4.30
自引率
0.00%
发文量
54
审稿时长
7 weeks
期刊介绍: Therapeutic Advances in Hematology delivers the highest quality peer-reviewed articles, reviews, and scholarly comment on pioneering efforts and innovative studies across all areas of hematology. The journal has a strong clinical and pharmacological focus and is aimed at clinicians and researchers in hematology, providing a forum in print and online for publishing the highest quality articles in this area.
×
引用
GB/T 7714-2015
复制
MLA
复制
APA
复制
导出至
BibTeX EndNote RefMan NoteFirst NoteExpress
×
提示
您的信息不完整,为了账户安全,请先补充。
现在去补充
×
提示
您因"违规操作"
具体请查看互助需知
我知道了
×
提示
确定
请完成安全验证×
copy
已复制链接
快去分享给好友吧!
我知道了
右上角分享
点击右上角分享
0
联系我们:info@booksci.cn Book学术提供免费学术资源搜索服务,方便国内外学者检索中英文文献。致力于提供最便捷和优质的服务体验。 Copyright © 2023 布克学术 All rights reserved.
京ICP备2023020795号-1
ghs 京公网安备 11010802042870号
Book学术文献互助
Book学术文献互助群
群 号:604180095
Book学术官方微信