Evaluation of the correlation between pre-anaesthetic P-POSSUM score, ultrasound muscle assessment and frailty index on perioperative outcome - An observational trial.

IF 1.9 Q1 ANESTHESIOLOGY
Indian Journal of Anaesthesia Pub Date : 2025-07-01 Epub Date: 2025-06-12 DOI:10.4103/ija.ija_1338_24
Sanchi Sunil Bhalerao, Vanita Ahuja, Deepak Thapa, Sukanya Mitra, Ashok K Attri, Sudesh K Arya, Sidharth Garg
{"title":"Evaluation of the correlation between pre-anaesthetic P-POSSUM score, ultrasound muscle assessment and frailty index on perioperative outcome - An observational trial.","authors":"Sanchi Sunil Bhalerao, Vanita Ahuja, Deepak Thapa, Sukanya Mitra, Ashok K Attri, Sudesh K Arya, Sidharth Garg","doi":"10.4103/ija.ija_1338_24","DOIUrl":null,"url":null,"abstract":"<p><strong>Background and aims: </strong>Bedside muscle ultrasonography has emerged as a clinical tool for sarcopenia and perioperative outcomes. We aimed to find a correlation between the pre-anaesthetic Portsmouth Physiological and Operative Severity score for the enumeration of mortality and morbidity (P-POSSUM), Fried Frailty Phenotype (FrFP) and ultrasound-guided (USG) muscle cross-sectional area (CSA) with morbidity and mortality outcomes in elective surgeries.</p><p><strong>Methods: </strong>This prospective observational trial included 150 patients aged 18-80 years undergoing low-risk (<i>n</i> = 50), intermediate-risk (<i>n</i> = 50), and high-risk (<i>n</i> = 50) surgeries. Preoperative P-POSSUM scores, USG CSA of psoas major and rectus femoris muscles and FrFP were recorded. Postoperative outcomes on days 1, 2 and 3 and then until patient discharge were observed. A <i>P</i> value < 0.05 was considered statistically significant.</p><p><strong>Results: </strong>Demographics of patients were similar in age, gender, weight, body mass index and pre-frail status. A strong correlation coefficient was observed for physiological score, operative severity score, CSA of psoas major and CSA of rectus femoris. A weak strength correlation coefficient was observed between FrFP and CSA of psoas major, regarding 30-day morbidity and mortality. The area under the curve (AUC) - 0.74 for psoas major had moderate predictive ability, and AUC-0.84 for rectus femoris showed a strong predictive ability against 30-day mortality in high-risk surgeries. The Hosmer-Lemeshow goodness-of-fit test analysis revealed a mortality ratio of 0.98.</p><p><strong>Conclusion: </strong>P-POSSUM and CSA of psoas major and rectus femoris had a statistically significant positive correlation to predict perioperative 30-day mortality in survivor versus non-survivor patients of high-risk surgeries.</p>","PeriodicalId":13339,"journal":{"name":"Indian Journal of Anaesthesia","volume":"69 7","pages":"700-709"},"PeriodicalIF":1.9000,"publicationDate":"2025-07-01","publicationTypes":"Journal Article","fieldsOfStudy":null,"isOpenAccess":false,"openAccessPdf":"https://www.ncbi.nlm.nih.gov/pmc/articles/PMC12244459/pdf/","citationCount":"0","resultStr":null,"platform":"Semanticscholar","paperid":null,"PeriodicalName":"Indian Journal of Anaesthesia","FirstCategoryId":"1085","ListUrlMain":"https://doi.org/10.4103/ija.ija_1338_24","RegionNum":0,"RegionCategory":null,"ArticlePicture":[],"TitleCN":null,"AbstractTextCN":null,"PMCID":null,"EPubDate":"2025/6/12 0:00:00","PubModel":"Epub","JCR":"Q1","JCRName":"ANESTHESIOLOGY","Score":null,"Total":0}
引用次数: 0

Abstract

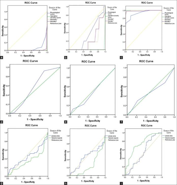
Background and aims: Bedside muscle ultrasonography has emerged as a clinical tool for sarcopenia and perioperative outcomes. We aimed to find a correlation between the pre-anaesthetic Portsmouth Physiological and Operative Severity score for the enumeration of mortality and morbidity (P-POSSUM), Fried Frailty Phenotype (FrFP) and ultrasound-guided (USG) muscle cross-sectional area (CSA) with morbidity and mortality outcomes in elective surgeries.

Methods: This prospective observational trial included 150 patients aged 18-80 years undergoing low-risk (n = 50), intermediate-risk (n = 50), and high-risk (n = 50) surgeries. Preoperative P-POSSUM scores, USG CSA of psoas major and rectus femoris muscles and FrFP were recorded. Postoperative outcomes on days 1, 2 and 3 and then until patient discharge were observed. A P value < 0.05 was considered statistically significant.

Results: Demographics of patients were similar in age, gender, weight, body mass index and pre-frail status. A strong correlation coefficient was observed for physiological score, operative severity score, CSA of psoas major and CSA of rectus femoris. A weak strength correlation coefficient was observed between FrFP and CSA of psoas major, regarding 30-day morbidity and mortality. The area under the curve (AUC) - 0.74 for psoas major had moderate predictive ability, and AUC-0.84 for rectus femoris showed a strong predictive ability against 30-day mortality in high-risk surgeries. The Hosmer-Lemeshow goodness-of-fit test analysis revealed a mortality ratio of 0.98.

Conclusion: P-POSSUM and CSA of psoas major and rectus femoris had a statistically significant positive correlation to predict perioperative 30-day mortality in survivor versus non-survivor patients of high-risk surgeries.

Abstract Image

Abstract Image

麻醉前P-POSSUM评分、超声肌肉评估和衰弱指数与围手术期预后的相关性评价——一项观察性试验。
背景和目的:床边肌肉超声检查已成为肌肉减少症和围手术期预后的临床工具。我们的目的是发现麻醉前朴茨茅斯生理和手术严重程度评分的死亡率和发病率(P-POSSUM), Fried脆性表型(FrFP)和超声引导(USG)肌肉横截面积(CSA)与选择性手术中发病率和死亡率结果的相关性。方法:本前瞻性观察性试验纳入150例年龄在18-80岁的患者,分别接受低危(n = 50)、中危(n = 50)和高危(n = 50)手术。记录术前P-POSSUM评分、腰大肌、股直肌USG CSA及FrFP。观察术后第1、2、3天直至患者出院的情况。P值< 0.05为差异有统计学意义。结果:两组患者年龄、性别、体重、体质指数和体弱前状态相似。生理评分、手术严重程度评分、腰大肌CSA、股直肌CSA均存在较强的相关系数。在30天发病率和死亡率方面,FrFP与腰大肌CSA之间存在弱强度相关系数。腰大肌曲线下面积(AUC) - 0.74对高危手术30天死亡率具有中等预测能力,股直肌AUC-0.84对高危手术30天死亡率具有较强预测能力。Hosmer-Lemeshow拟合优度检验分析显示死亡率为0.98。结论:腰大肌和股直肌P-POSSUM和CSA在预测高危手术幸存者和非幸存者围手术期30天死亡率方面具有统计学意义的正相关。
本文章由计算机程序翻译,如有差异,请以英文原文为准。
求助全文
约1分钟内获得全文 求助全文
来源期刊
CiteScore
4.20
自引率
44.80%
发文量
210
审稿时长
36 weeks
×
引用
GB/T 7714-2015
复制
MLA
复制
APA
复制
导出至
BibTeX EndNote RefMan NoteFirst NoteExpress
×
提示
您的信息不完整,为了账户安全,请先补充。
现在去补充
×
提示
您因"违规操作"
具体请查看互助需知
我知道了
×
提示
确定
请完成安全验证×
copy
已复制链接
快去分享给好友吧!
我知道了
右上角分享
点击右上角分享
0
联系我们:info@booksci.cn Book学术提供免费学术资源搜索服务,方便国内外学者检索中英文文献。致力于提供最便捷和优质的服务体验。 Copyright © 2023 布克学术 All rights reserved.
京ICP备2023020795号-1
ghs 京公网安备 11010802042870号
Book学术文献互助
Book学术文献互助群
群 号:604180095
Book学术官方微信