Efficacy and Safety of Biosimilar CT-P47 Versus Reference Tocilizumab: 1-Year Results of a Randomised, Active-Controlled, Double-Blind, Phase III Study in Patients with Rheumatoid Arthritis.

IF 2.7 3区 医学 Q2 PHARMACOLOGY & PHARMACY
Clinical Drug Investigation Pub Date : 2025-08-01 Epub Date: 2025-07-12 DOI:10.1007/s40261-025-01453-8
Gerd Burmester, Jakub Trefler, Artur Racewicz, Janusz Jaworski, Agnieszka Zielińska, Marek Krogulec, Sławomir Jeka, Rafał Wojciechowski, Katarzyna Kolossa, Anna Dudek, Magdalena Krajewska-Włodarczyk, Paweł Hrycaj, Piotr Adrian Klimiuk, SungHyun Kim, JeeHye Suh, GoEun Yang, YunAh Kim, YooBin Jung, GaHee Park, Josef S Smolen
{"title":"Efficacy and Safety of Biosimilar CT-P47 Versus Reference Tocilizumab: 1-Year Results of a Randomised, Active-Controlled, Double-Blind, Phase III Study in Patients with Rheumatoid Arthritis.","authors":"Gerd Burmester, Jakub Trefler, Artur Racewicz, Janusz Jaworski, Agnieszka Zielińska, Marek Krogulec, Sławomir Jeka, Rafał Wojciechowski, Katarzyna Kolossa, Anna Dudek, Magdalena Krajewska-Włodarczyk, Paweł Hrycaj, Piotr Adrian Klimiuk, SungHyun Kim, JeeHye Suh, GoEun Yang, YunAh Kim, YooBin Jung, GaHee Park, Josef S Smolen","doi":"10.1007/s40261-025-01453-8","DOIUrl":null,"url":null,"abstract":"<p><strong>Background and objective: </strong>This phase III study conducted in 22 centres in Poland assessed the efficacy equivalence of candidate tocilizumab biosimilar, CT-P47, and European Union-approved reference tocilizumab (r-TCZ) in rheumatoid arthritis. We report 1-year data, including switching from r-TCZ to CT-P47.</p><p><strong>Methods: </strong>This active-controlled, double-blind, multicentre trial randomised (1:1) adults (aged 18-75 years) with moderate-to-severe rheumatoid arthritis diagnosed for ≥ 24 weeks and treated with methotrextate for ≥ 12 weeks before the first study drug administration, to receive CT-P47 or r-TCZ every 4 weeks (8 mg/kg, intravenous) up to week 20. At week 24, those on CT-P47 continued maintenance treatment; those on r-TCZ were re-randomised (1:1) to continue r-TCZ (r-TCZ maintenance) or to switch to CT-P47 (CT-P47 switched) until week 48 (Treatment Period 2). After week 48, patients were followed up until week 52 (end of study). Efficacy, pharmacokinetics, safety and immunogenicity were evaluated.</p><p><strong>Results: </strong>In Treatment Period 2, 225 patients continued CT-P47 maintenance, 109 continued r‑TCZ maintenance and 110 switched to CT-P47. During Treatment Period 2, efficacy findings were comparable between groups. At week 52, the mean change from baseline in Disease Activity Score in 28 joints-erythrocyte sedimentation rate was - 4.279, - 4.231 and - 4.376 in the CT-P47 maintenance, r-TCZ maintenance and CT-P47 switched groups, respectively. Joint damage progression over 1 year was minimal in all groups. Drug serum concentrations were relatively consistent throughout Treatment Period 2. The safety profile and antidrug antibody-positive conversion rate (< 5% in each group) were similar between groups.</p><p><strong>Conclusions: </strong>Week 52 results show maintained efficacy after switching from r-TCZ to CT-P47, and comparable efficacy, pharmacokinetics, safety and immunogenicity of CT-P47 versus r-TCZ over 1 year of treatment.</p><p><strong>Clinical trial registration: </strong>NCT05489224, 24 July 2022.</p>","PeriodicalId":10402,"journal":{"name":"Clinical Drug Investigation","volume":" ","pages":"551-563"},"PeriodicalIF":2.7000,"publicationDate":"2025-08-01","publicationTypes":"Journal Article","fieldsOfStudy":null,"isOpenAccess":false,"openAccessPdf":"https://www.ncbi.nlm.nih.gov/pmc/articles/PMC12307557/pdf/","citationCount":"0","resultStr":null,"platform":"Semanticscholar","paperid":null,"PeriodicalName":"Clinical Drug Investigation","FirstCategoryId":"3","ListUrlMain":"https://doi.org/10.1007/s40261-025-01453-8","RegionNum":3,"RegionCategory":"医学","ArticlePicture":[],"TitleCN":null,"AbstractTextCN":null,"PMCID":null,"EPubDate":"2025/7/12 0:00:00","PubModel":"Epub","JCR":"Q2","JCRName":"PHARMACOLOGY & PHARMACY","Score":null,"Total":0}
引用次数: 0

Abstract

Background and objective: This phase III study conducted in 22 centres in Poland assessed the efficacy equivalence of candidate tocilizumab biosimilar, CT-P47, and European Union-approved reference tocilizumab (r-TCZ) in rheumatoid arthritis. We report 1-year data, including switching from r-TCZ to CT-P47.

Methods: This active-controlled, double-blind, multicentre trial randomised (1:1) adults (aged 18-75 years) with moderate-to-severe rheumatoid arthritis diagnosed for ≥ 24 weeks and treated with methotrextate for ≥ 12 weeks before the first study drug administration, to receive CT-P47 or r-TCZ every 4 weeks (8 mg/kg, intravenous) up to week 20. At week 24, those on CT-P47 continued maintenance treatment; those on r-TCZ were re-randomised (1:1) to continue r-TCZ (r-TCZ maintenance) or to switch to CT-P47 (CT-P47 switched) until week 48 (Treatment Period 2). After week 48, patients were followed up until week 52 (end of study). Efficacy, pharmacokinetics, safety and immunogenicity were evaluated.

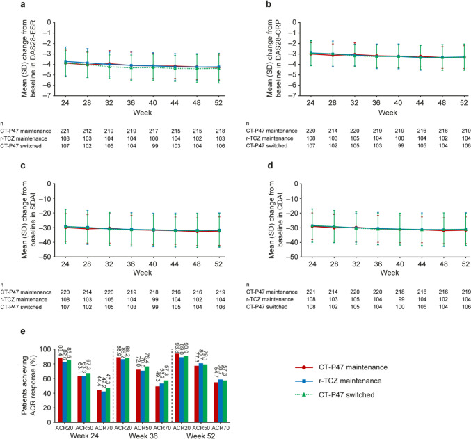
Results: In Treatment Period 2, 225 patients continued CT-P47 maintenance, 109 continued r‑TCZ maintenance and 110 switched to CT-P47. During Treatment Period 2, efficacy findings were comparable between groups. At week 52, the mean change from baseline in Disease Activity Score in 28 joints-erythrocyte sedimentation rate was - 4.279, - 4.231 and - 4.376 in the CT-P47 maintenance, r-TCZ maintenance and CT-P47 switched groups, respectively. Joint damage progression over 1 year was minimal in all groups. Drug serum concentrations were relatively consistent throughout Treatment Period 2. The safety profile and antidrug antibody-positive conversion rate (< 5% in each group) were similar between groups.

Conclusions: Week 52 results show maintained efficacy after switching from r-TCZ to CT-P47, and comparable efficacy, pharmacokinetics, safety and immunogenicity of CT-P47 versus r-TCZ over 1 year of treatment.

Clinical trial registration: NCT05489224, 24 July 2022.

Abstract Image

Abstract Image

Abstract Image

生物仿制药CT-P47与参比Tocilizumab的疗效和安全性:一项针对类风湿性关节炎患者的1年随机、主动对照、双盲III期研究结果
背景和目的:这项在波兰22个中心进行的III期研究评估了候选tocilizumab生物类似药CT-P47和欧盟批准的参考tocilizumab (r-TCZ)在类风湿关节炎中的疗效等效性。我们报告了1年的数据,包括从r-TCZ切换到CT-P47。方法:这项主动对照、双盲、多中心试验随机(1:1)将确诊≥24周、甲氨蝶呤治疗≥12周的中度至重度类风湿性关节炎患者(18-75岁)(在首次研究药物给药前)每4周接受一次CT-P47或r-TCZ (8 mg/kg,静脉注射),直至第20周。第24周,CT-P47组继续维持治疗;使用r-TCZ的患者被重新随机分配(1:1),继续使用r-TCZ (r-TCZ维持)或切换到CT-P47 (CT-P47切换),直到第48周(治疗期2)。48周后,随访至52周(研究结束)。疗效、药代动力学、安全性和免疫原性评价。结果:在治疗期2,225例患者继续CT-P47维持,109例继续r - TCZ维持,110例转为CT-P47。在第2治疗期,两组疗效结果具有可比性。在第52周,在CT-P47维持组、r-TCZ维持组和CT-P47开关组中,28个关节的疾病活动评分与基线相比的平均变化分别为- 4.279、- 4.231和- 4.376。所有组1年内关节损伤进展最小。药物血清浓度在整个治疗期相对一致。结论:第52周的结果显示,从r-TCZ切换到CT-P47后仍保持疗效,并且在1年的治疗期间,CT-P47与r-TCZ的疗效、药代动力学、安全性和免疫原性相当。临床试验注册:NCT05489224, 2022年7月24日。
本文章由计算机程序翻译,如有差异,请以英文原文为准。
求助全文
约1分钟内获得全文 求助全文
来源期刊
CiteScore
5.90
自引率
3.10%
发文量
108
审稿时长
6-12 weeks
期刊介绍: Clinical Drug Investigation provides rapid publication of original research covering all phases of clinical drug development and therapeutic use of drugs. The Journal includes: -Clinical trials, outcomes research, clinical pharmacoeconomic studies and pharmacoepidemiology studies with a strong link to optimum prescribing practice for a drug or group of drugs. -Clinical pharmacodynamic and clinical pharmacokinetic studies with a strong link to clinical practice. -Pharmacodynamic and pharmacokinetic studies in healthy volunteers in which significant implications for clinical prescribing are discussed. -Studies focusing on the application of drug delivery technology in healthcare. -Short communications and case study reports that meet the above criteria will also be considered. Additional digital features (including animated abstracts, video abstracts, slide decks, audio slides, instructional videos, infographics, podcasts and animations) can be published with articles; these are designed to increase the visibility, readership and educational value of the journal’s content. In addition, articles published in Clinical Drug Investigation may be accompanied by plain language summaries to assist readers who have some knowledge, but non in-depth expertise in, the area to understand important medical advances.
×
引用
GB/T 7714-2015
复制
MLA
复制
APA
复制
导出至
BibTeX EndNote RefMan NoteFirst NoteExpress
×
提示
您的信息不完整,为了账户安全,请先补充。
现在去补充
×
提示
您因"违规操作"
具体请查看互助需知
我知道了
×
提示
确定
请完成安全验证×
copy
已复制链接
快去分享给好友吧!
我知道了
右上角分享
点击右上角分享
0
联系我们:info@booksci.cn Book学术提供免费学术资源搜索服务,方便国内外学者检索中英文文献。致力于提供最便捷和优质的服务体验。 Copyright © 2023 布克学术 All rights reserved.
京ICP备2023020795号-1
ghs 京公网安备 11010802042870号
Book学术文献互助
Book学术文献互助群
群 号:604180095
Book学术官方微信