Prediction of enzyme inhibition (IC50) using a combination of protein–ligand docking and semiempirical quantum mechanics

IF 2.5 4区 化学 Q4 BIOCHEMISTRY & MOLECULAR BIOLOGY
Robert C. Glen, Jason C. Cole, James J. P. Stewart
{"title":"Prediction of enzyme inhibition (IC50) using a combination of protein–ligand docking and semiempirical quantum mechanics","authors":"Robert C. Glen,&nbsp;Jason C. Cole,&nbsp;James J. P. Stewart","doi":"10.1007/s00894-025-06423-7","DOIUrl":null,"url":null,"abstract":"<div><h3>Context</h3><p>The ability to predict the relative binding energies of ligands to a biological receptor would be of great value in drug discovery. However, accurately calculating the predicted binding energies is limited by the high accuracy required, by the presence of multiple minima on the potential energy surface, and by issues specific to the intrinsic properties of the binding site, such as details of the geometry of the ligand–protein complex. To address these issues, a systematic analysis of potential sources of error was carried out which resulted in a few relatively small changes being made to the MOPAC program.</p><h3>Methods</h3><p>A set of 77 ligands was constructed for which experimentally determined IC<sub>50</sub> values were available. For each of the ligands, prediction of the protein–ligand interaction energy was carried out in two distinct stages. In the first stage, the Protein–Ligand docking program GOLD was used to generate several distinct conformations of the ligand bound to a protein. The geometries of these systems were then optimised using the MOPAC program. A comparison of the relative binding energies of the ligands with the reported IC<sub>50</sub> values showed a very poor predictive power. By partitioning the ligand set into two subsets, and eliminating six ligands that were inconsistent with the experimental results, a large increase in accuracy was obtained.</p></div>","PeriodicalId":651,"journal":{"name":"Journal of Molecular Modeling","volume":"31 8","pages":""},"PeriodicalIF":2.5000,"publicationDate":"2025-07-12","publicationTypes":"Journal Article","fieldsOfStudy":null,"isOpenAccess":false,"openAccessPdf":"https://www.ncbi.nlm.nih.gov/pmc/articles/PMC12255584/pdf/","citationCount":"0","resultStr":null,"platform":"Semanticscholar","paperid":null,"PeriodicalName":"Journal of Molecular Modeling","FirstCategoryId":"92","ListUrlMain":"https://link.springer.com/article/10.1007/s00894-025-06423-7","RegionNum":4,"RegionCategory":"化学","ArticlePicture":[],"TitleCN":null,"AbstractTextCN":null,"PMCID":null,"EPubDate":"","PubModel":"","JCR":"Q4","JCRName":"BIOCHEMISTRY & MOLECULAR BIOLOGY","Score":null,"Total":0}
引用次数: 0

Abstract

Context

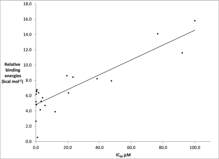
The ability to predict the relative binding energies of ligands to a biological receptor would be of great value in drug discovery. However, accurately calculating the predicted binding energies is limited by the high accuracy required, by the presence of multiple minima on the potential energy surface, and by issues specific to the intrinsic properties of the binding site, such as details of the geometry of the ligand–protein complex. To address these issues, a systematic analysis of potential sources of error was carried out which resulted in a few relatively small changes being made to the MOPAC program.

Methods

A set of 77 ligands was constructed for which experimentally determined IC50 values were available. For each of the ligands, prediction of the protein–ligand interaction energy was carried out in two distinct stages. In the first stage, the Protein–Ligand docking program GOLD was used to generate several distinct conformations of the ligand bound to a protein. The geometries of these systems were then optimised using the MOPAC program. A comparison of the relative binding energies of the ligands with the reported IC50 values showed a very poor predictive power. By partitioning the ligand set into two subsets, and eliminating six ligands that were inconsistent with the experimental results, a large increase in accuracy was obtained.

Abstract Image

Abstract Image

Abstract Image

结合蛋白质-配体对接和半经验量子力学预测酶抑制(IC50)。
背景:预测配体与生物受体的相对结合能的能力在药物发现中具有重要价值。然而,准确计算预测结合能受到精度要求高、势能表面存在多个极小值以及结合位点固有性质的特定问题(如配体-蛋白质复合物的几何细节)的限制。为了解决这些问题,对潜在的错误来源进行了系统的分析,导致对MOPAC程序进行了一些相对较小的更改。方法:构建一组77个配体,通过实验确定其IC50值。对于每种配体,蛋白质-配体相互作用能的预测分两个不同的阶段进行。在第一阶段,蛋白质-配体对接程序GOLD用于生成与蛋白质结合的配体的几种不同构象。然后使用MOPAC程序对这些系统的几何形状进行优化。配体的相对结合能与报道的IC50值的比较表明,预测能力很差。通过将配体集划分为两个子集,剔除与实验结果不一致的6个配体,大大提高了精度。
本文章由计算机程序翻译,如有差异,请以英文原文为准。
求助全文
约1分钟内获得全文 求助全文
来源期刊
Journal of Molecular Modeling
Journal of Molecular Modeling 化学-化学综合
CiteScore
3.50
自引率
4.50%
发文量
362
审稿时长
2.9 months
期刊介绍: The Journal of Molecular Modeling focuses on "hardcore" modeling, publishing high-quality research and reports. Founded in 1995 as a purely electronic journal, it has adapted its format to include a full-color print edition, and adjusted its aims and scope fit the fast-changing field of molecular modeling, with a particular focus on three-dimensional modeling. Today, the journal covers all aspects of molecular modeling including life science modeling; materials modeling; new methods; and computational chemistry. Topics include computer-aided molecular design; rational drug design, de novo ligand design, receptor modeling and docking; cheminformatics, data analysis, visualization and mining; computational medicinal chemistry; homology modeling; simulation of peptides, DNA and other biopolymers; quantitative structure-activity relationships (QSAR) and ADME-modeling; modeling of biological reaction mechanisms; and combined experimental and computational studies in which calculations play a major role.
×
引用
GB/T 7714-2015
复制
MLA
复制
APA
复制
导出至
BibTeX EndNote RefMan NoteFirst NoteExpress
×
提示
您的信息不完整,为了账户安全,请先补充。
现在去补充
×
提示
您因"违规操作"
具体请查看互助需知
我知道了
×
提示
确定
请完成安全验证×
copy
已复制链接
快去分享给好友吧!
我知道了
右上角分享
点击右上角分享
0
联系我们:info@booksci.cn Book学术提供免费学术资源搜索服务,方便国内外学者检索中英文文献。致力于提供最便捷和优质的服务体验。 Copyright © 2023 布克学术 All rights reserved.
京ICP备2023020795号-1
ghs 京公网安备 11010802042870号
Book学术文献互助
Book学术文献互助群
群 号:604180095
Book学术官方微信